img

Wechat

Adv search

Journal of Desert Research ›› 2025, Vol. 45 ›› Issue (6): 300-311.DOI: 10.7522/j.issn.1000-694X.2025.00071

Previous Articles    

Numerical simulation of wind-sand movement around typical sand-fixing plants in the middle reaches of the Heihe River desert-oasis transition zone

Nana He1(), Guanglu Hu1,2(), Kun Chen1, Taoyang Jin1, Kaifu Tian1   

  1. 1.School of Environmental and Municipal Engineering /, Lanzhou Jiaotong University,Lanzhou 730070,China
    2.Key Laboratory of Yellow River Water Environment in Gansu Province, Lanzhou Jiaotong University,Lanzhou 730070,China
  • Received:2025-01-06 Revised:2025-03-27 Online:2025-11-20 Published:2025-11-26
  • Contact: Guanglu Hu

Abstract:

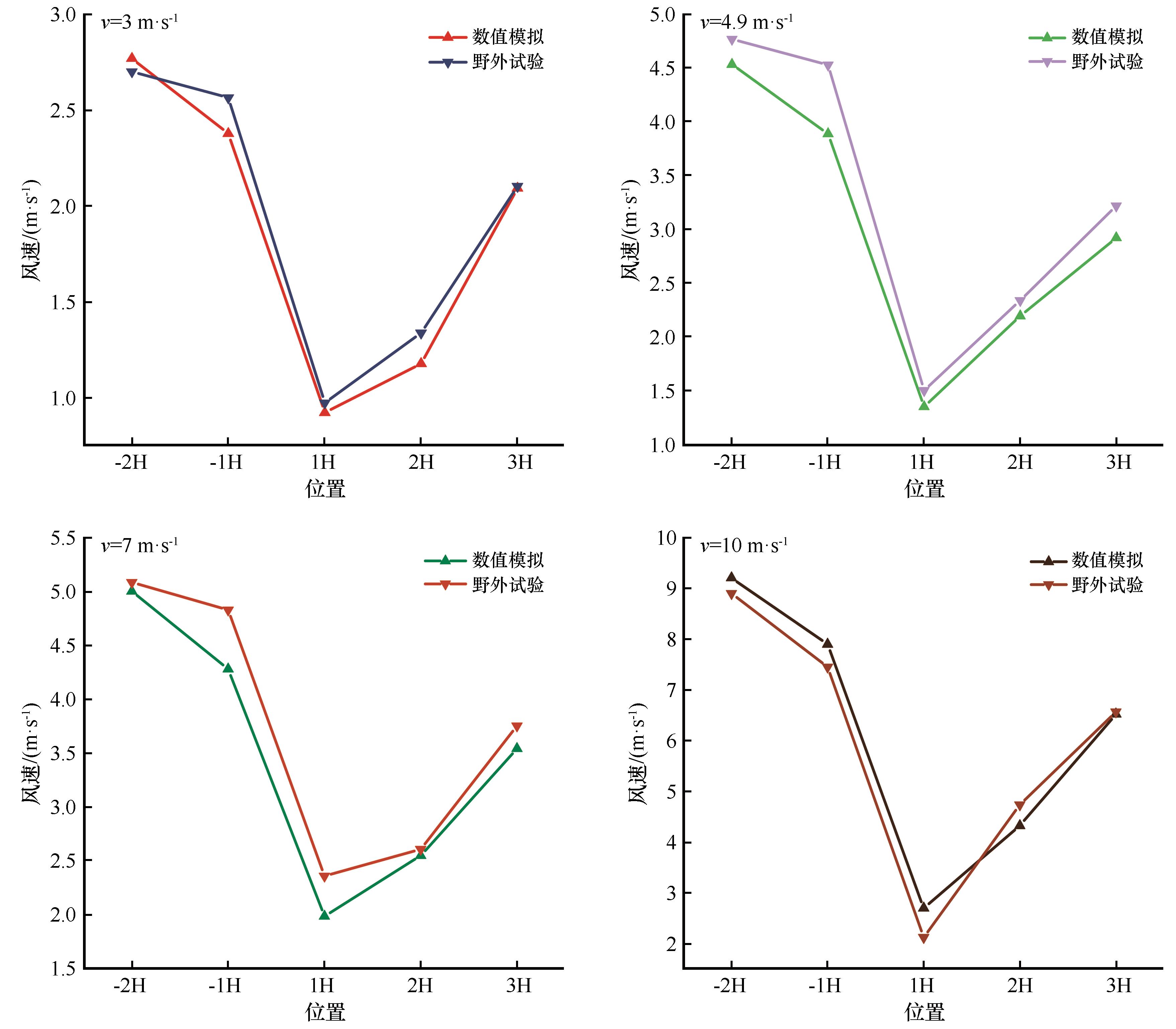
The typical sand-fixing plants in the desert-oasis transition zone in the middle reaches of the Heihe River, such as Haloxylon ammodendronCalligonum mongolicum, and Nitraria sphaerocarpa, are able to effectively reduce the intensity of wind-sand activities and mitigate the threat of desertification to the oasis, and play an important role in the maintenance of the security and stabilization of the ecological system of the oasis. They play an important role in maintaining the security and stability of oasis ecosystems. In this paper, we use Fluent software to numerically simulate the wind speed characteristics and sand accumulation characteristics around H. ammodendronC. mongolicum, and N. sphaerocarpa, and validate them by using field test observation data. The results show that: (1)The flow field around a single plant can be categorized into a blocked deceleration zone, an acceleration zone, a static wind zone, and a recovery zone, and there are two vortex zones near the ground on the leeward side of the plant, with vortex Ⅰ being the main sand accumulation zone. (2) The optimal protection heights of H. ammodendronC. mongolicum, and N. sphaerocarpa at 1H on the leeward side are 1.2-1.5 m, 1.2-1.4 m and 0.1-1.0 m, respectively. (3)There are differences in the wind protection effect of the three plants in different altitude layers, with the wind protection effect in the near-surface layer in the order of N. sphaerocarpa>C. mongolicum>H. ammodendron; and in the middle and high altitude layers, it is H. ammodendron >C. mongolicum>N. sphaerocarpa. (4)The sand-blocking ability of the three plant species is shown as N. sphaerocarpa > H. ammodendron > C. mongolicum. Comprehensive three kinds of plants windproof sand effect performance, in the practical application of wind erosion control, it is recommended to use shuttle, sand date and bubble thorn mixed configuration, in order to play bubble thorn sand fixation, while using shuttle and sand date in the middle and high altitude layer of the windproof advantages.

Key words: desert-oasis transition zone, desert plants, wind and sand breakup effect, numerical simulation, vortex

CLC Number: