高矿化度水灌溉条件下梭梭(Haloxylon ammodendron ) 的光合生理特征 
					 
										张涛涛 , 1 , 2 , 范敬龙 1 , 2 , 王世明 1 , 2 , 徐新文 , 1 , 柴朝晖 3 
													
										
													1.中国科学院新疆生态与地理研究所,莫索湾沙漠研究站/塔克拉玛干沙漠研究站/荒漠与绿洲生态国家重点实验室,新疆 乌鲁木齐 830011  
													2.中国科学院大学,北京 100049  
													3.亿利阿拉尔生态科技有限公司,新疆 阿拉尔 843300 
											 
									 
				
																
							Photosynthetic characteristics of Haloxylon ammodendron  under high salinity water irrigation 
						 
																Zhang Taotao , 1 , 2 , Fan Jinglong 1 , 2 , Wang Shiming 1 , 2 , Xu Xinwen , 1 , Chai Zhaohui 3 
															
													1.Mosuowan Desert Research Station / Taklimakan Desert Research Station / State Key Laboratory of Desert and Oasis Ecology,Xinjiang Institute of Ecology and Geography,Chinese Academy of Sciences,Urumqi 830011,China  
													2.University of Chinese Academy of Sciences,Beijing 100049,China  
													3.Yili Alar Ecological Technology Co. ,LTD. Alar 843300,Xinjiang,China  
											 
									 
																																																																																				
					
													
								通讯作者:  徐新文(E-mail: sms@ms.xjb.ac.cn ) 
																																																																																																																																																																																																																																																																				
																	收稿日期:  2019-12-14   
																									修回日期:  2020-04-09   
																																											网络出版日期:  2020-09-28 
																								
																																																																																																																																																																																																																																																																																																																																																																																																																																																																																																																																																																																																																														
								
									 
										基金资助: 
									 
									
										新疆维吾尔自治区重大科技专项子课题 .  2016A03008-3-2 .  2016A03008-2-3 中国科学院科技服务网络计划(STS)区域重点项目 .  KFJ-STS-QYZD-062 中国铁路总公司科技研究开发计划子课题 .  2017G004-E-02 中国科学院关键技术人才项目 	
									 
								 
							
											 
					
					    
						
																														
															Received:  2019-12-14   
																						Revised:  2020-04-09   
																																						Online:  2020-09-28 
																					
											 
																																																																																																																																																																											
									 
				
				
									
																			
								摘要 
							
												
															
									为了探究荒漠优势植物梭梭(Haloxylon ammodendron )对咸水(10、20、30、40、50 g·L-1 )灌溉的适应性,测定分析了植株地上部分生长量、叶绿素含量、渗透调节物质含量、抗氧化酶活性、呼吸作用以及叶绿素荧光指标。结果表明:(1)随着灌溉水矿化度的提高(超过20 g·L-1 ),对地径与新枝有显著抑制作用,50 g·L-1 时植株仍能继续生长,表现出很强的耐盐性。(2)渗透调节物质含量与抗氧化酶活性在低浓度处理时升高,但灌水矿化度超过20 g·L-1 时表现出下降趋势。(3)限制同化枝净光合速率(P n )的主要因素随着灌溉时间的增加由非气孔限制逐渐变成气孔限制,同时各组间的差异性减小。(4)同化枝光化学量子效率(Φ PSⅡ)随着灌溉水矿化度提高有明显下降趋势,40、50 g·L-1 组与对照组存在显著差异,灌溉60 d后各处理降幅减小。 
																															
										关键词: 
																																	 
																											梭梭(Haloxylon ammodendron ) 咸水灌溉 气体交换 叶绿素荧光 适应  
																																																			
																																																																																																																																 
					 
													
						
														Abstract 
						
						
							
								To explore the adaptability of the dominant desert plant Haloxylon ammodendron  to salt water irrigation at different high salinity (10, 20, 30, 40, 50 g·L-1 ) The response and adaptation of growth, chlorophyll content, osmotic regulatory substance content, antioxidant enzyme activity, respiration and chlorophyll fluorescence index of the aboveground part of the plant were systematically analyzed. The results show that: at first, with the increase of the salinity of irrigation water (up to 20 g·L-1 ), the soil diameter and new shoots were significantly inhibited, and the plants continued to grow at 50 g·L-1 ,showing strong salt tolerance. Next, the content of osmotic regulating substances and antioxidant enzyme activity increased at low concentration, but decreased when the salinity of irrigation water exceeded 20 g·L-1 . At the same time, the main factors limiting the net photosynthetic rate of assimilative shoot gradually changed from nonstomatal limitation to stomatal limitation with the increase of irrigation time, and the differences among groups decreased. In the end, the quantum efficiency of assimilation branch photochemistry decreased significantly with the increase of irrigation water salinity, and there were significant differences between groups 40 g·L-1  and 50 g·L-1  and the control group, and the decrease of each treatment decreased after 60 d of irrigation. 
							
																																												Keywords: 
																				
																							Haloxylon ammodendron salt water irrigation gas exchange chlorophyll fluorescence  
																								
						 
					 
								
						
				
					
					
						本文引用格式 
						
							张涛涛, 范敬龙, 王世明, 徐新文, 柴朝晖. 高矿化度水灌溉条件下梭梭(Haloxylon ammodendron ) 的光合生理特征 . 中国沙漠 [J], 2020, 40(5):  112-119 doi:10.7522/j.issn.1000-694X.2020.00023
						
													
								Zhang Taotao, Fan Jinglong, Wang Shiming, Xu Xinwen, Chai Zhaohui. Photosynthetic characteristics of Haloxylon ammodendron  under high salinity water irrigation . Journal of Desert Research 
											 
				 
				
								
					
						
							
																															
			
			
			0 引言
		 
					
	
		中国盐渍土总面积约0.36亿hm2 ,新疆盐渍土面积占全国的22.1%。新疆还面临着淡水资源匮乏、地下水水质差等问题。在干旱区生态防护林建设中,盐渍化土壤与地下咸水已成为可有效利用和改良的资源[1 -3 ] 。植物受到高盐胁迫时,主要的生理过程都会受到影响,表现为渗透胁迫与膜系统氧化损伤,引起一定程度的水分亏缺、光合电子传递系统失活、光抑制等,从而加速叶绿素分解,光合能力降低,最终抑制生长。同时植物会通过自身的渗透调节、转录调控、信号转导等方式来降低水势,提高保水力和调节抗氧化系统清除ROS积累等方式限制盐分的过量吸收以减轻对细胞的伤害[4 -7 ] 。
	 
 					
	
		梭梭(Haloxylon ammodendron )是中国西北地区优势建群种,具有较高的耐盐性、抗旱性与经济价值,被广泛种植于西北荒漠区,用于风沙防治[8 ] 。前人的相关研究主要在种子萌发、抗旱及肉苁蓉接种等方面,在耐盐特性方面,李红忠等[9 ] 研究了灌水矿化度不超过30 g·L-1 时梭梭的生长状况,但在超过30 g·L-1 的盐水灌溉环境下梭梭的生理生态特性和耐盐机理尚未见报道。本文以梭梭一年生实生苗为实验材料,研究不同高矿化度灌水条件下,植株的生长、叶绿素含量、渗透调节、活性氧代谢、呼吸作用及叶绿素荧光参数的生理生态响应特征,旨在进一步探讨其对高盐环境的适应机制,为高盐碱地区梭梭的种植栽培及种群恢复提供理论依据,同时对于优良耐盐植物的培育及其耐盐机理研究具有科学意义。
	 
 																																	
			
			
			1 材料与方法
		 
				
			
			
			1.1 试验材料与试验设计
		 
					
	
		试验于2019年4—8月在中国科学院新疆生态与地理研究所实验楼室外试验区(43.87°N,87.56°E)进行,采用盆栽滴灌方式进行控制。灌溉周期为10 d,每株每次灌水5 L,待试植株全部成活后,由5月开始设置6组盐分梯度:去离子水(对照)、10、20、30、40、50 g·L-1 ,每组3个重复。种植器采用内径25 cm、高80 cm的PVC管,先将PVC管底部用漏斗封紧,然后在下端铺一层160目尼龙网,再铺3 cm厚的石英砂,保证底部透水性,接着在管内壁上均匀涂抹一层凡士林,将其固定于支架上,最后将土样进行逐层装柱压实,填装完毕后加淡水饱和土壤,将1年生梭梭实生苗木栽植于PVC圆管正中,并进行防晒及防雨处理。供试土壤采自莫索湾沙漠研究站的原生沙漠风积沙土,颗粒组成砂粒99.57%,粉粒0.43%,黏粒0,有机质含量1.69 mg·g-1 ,全氮0.077 mg·g-1 ,全钾29.37 mg·g-1 ,全磷0.42 mg·g-1 ,速效氮11.46 mg·g-1 ,速效磷13.43 mg·g-1 ,速效钾229.57 mg·g-1 。灌溉水源采用塔里木河下游地下水中析出的结晶盐与去离子水混合配置而成(表1 )。供试梭梭均为一年生实生苗。
	 
 																																																	
			
							
			
			
			1.2 测定指标与方法
		 
				
			
			
			1.2.1 生长指标的测定
		 
					
	
		选取长势相对一致的梭梭植株,并标定被测的新枝和主干,第1次灌溉咸水后每10 d使用钢卷尺测定株高和新枝长,利用电子游标卡尺在贴近地面处测定地径。生长量为最后一次测量与第一次测量的差值。
	 
 					
			
			
			1.2.2 生理指标的测定
		 
					
	
		叶绿素含量采用分光光度计法测量[10 ] 。叶片超氧化物歧化酶(SOD)、过氧化物酶(POD)活性、可溶性蛋白质(SP)含量、可溶性糖(SS)含量、脯氨酸(Pro)含量分别采用氮蓝四唑染色法、愈创木酚染色法、考马斯亮蓝法、蒽酮比色法、水合茚三酮法测定[11 -13 ] 。
	 
 					
			
			
			1.2.3 气体交换与叶绿素荧光参数测定
		 
					
	
		利用LI-6800便携式光合仪在植物充分光适应和暗适应后分别测定净光合速率(P n )、胞间二氧化碳浓度(C i )、气孔导度(G s )、蒸腾速率(Tr ),并计算气孔限制值L s =1-C i /C a (CO2 浓度设为400 µmol·mol-1 ,光强为1 600 µmol·m-2 ·s-1 );最小初始荧光(F o )、暗适应下最大荧光(F m )、光下最大荧光(F m ' F s )、作用光存在时PSII实际的光化学量子效率(Φ PSⅡ),并计算PSⅡ最大光化学量子产量(F v /F m )、光淬灭系数(qN =(F m -F m ' F m -F o ))、非光淬灭系数(qP= (F m ' -F s )/(F m ' -F o ))。测量时选取长势均一的同化枝,每个处理选3株,每株读数3次,同时将叶片置于规格为1 cm×1 cm的方格纸上拍照,并使用Adobe Photoshop计算叶面积。分别于灌溉咸水后30、45、60 d时进行测量,共3次。
	 
 						
			
			
			1.3 数据处理
		 
					
	
		实验中所获得的数据均采用SPSS统计软件进行方差分析和LSD组间比较,分析不同处理间的差异性,显著性水平设定为α =0.05,绘图在Origin中完成。
	 
 																																		
			
			
			2 结果与分析
		 
				
			
			
			2.1 咸水灌溉对梭梭生长的影响
		 
					
	
		随着灌溉水矿化度的增加,梭梭幼苗地径、新枝、株高的生长量均呈逐渐降低趋势(表2 ),各处理与对照相比,地径、株高、新枝的生长量分别降低了4.76%~66.15%、13.93%~34.72%、27.54%~63.71%。地径与新枝在20~50 g·L-1 处理组与对照相比差异均达到显著性水平(P <0.05),10 g·L-1 处理时虽有降低但未见明显差异;株高虽有逐渐下降趋势但是不同处理间并未发现明显差异。地径10~50 g·L-1 处理组之间未见明显差异;新枝在10~40 g·L-1 处理组之间未见明显差异,50 g·L-1 与10 g·L-1 相比差异达到显著水平,与20~40 g·L-1 处理组相比未见明显差异。
	 
 																																																						
			
							
	
		由图1 可知,对照地径增量除灌水40 d与50 d时低于10 g·L-1 处理组9.14%与13.39%,50 d时与20 g·L-1 处理组增量相同外,其他时期均高于各处理,增幅分别为23.78%~59.45%、30.77%~71.79%、38.18%~84.55%、23.43%~88.00%、47.32%~51.79%、26.12%~61.79%,其中10 d与20 d时30、50 g·L-1 处理组与对照均有显著差异,30 d时10 g·L-1 处理组与40、50 g·L-1 处理均有显著差异;对照新枝增量在40、50 d时均高于各处理,增幅7.30%~67.98%、35.24%~90.16%,30 d时20 g·L-1 处理比对照高51.58%,其余处理均低于对照,降幅35.79%~74.14%。
	 
 																																																																																																																				图1 
		
							
						
									图1  
											灌溉水矿化度对不同时间梭梭生长增量的影响  
																			不同字母表示相同时间不同处理间差异显著, P <0.05
																		Fig.1  
											Effect of salinity on growth increment at different time  
															 
		 
		
					
			
			
			2.2 咸水灌溉对梭梭叶绿素含量的影响
		 
					
	
		梭梭叶绿素a、叶绿素b、胡萝卜素、叶绿素a+b含量均受到灌水矿化度的影响(表3 )。叶绿素a、叶绿素a+b、胡萝卜素随着灌溉水矿化度的升高呈下降趋势,各处理与对照相比分别降低了8.35%~32.33%、2.45%~21.06%、8.24%~29.40%,其中40 g·L-1 处理与对照相比均有显著差异,其他处理间并无明显差异。叶绿素b含量随着灌水矿化度的升高呈上升趋势,各处理与对照相比各处理增加了25.81%~254.84%。
	 
 																																																						
			
							
			
			
			2.3 咸水灌溉对梭梭渗透调节物质与抗氧化酶的影响
		 
					
	
		咸水灌溉对梭梭SS、SP、Pro、SOD、POD均有明显影响(图2 )。SS含量各处理均高于对照,且变化幅度较大,为1.50%~35.45%;SP含量在10、30、40、50 g·L-1 分别比对照高28.63%、68.43%、27.92%、41.83%;Pro含量在10~40 g·L-1 处理组均比对照高13.27%~72.12%;POD活性在20、30 g·L-1 处理组分别比对照高26.94%、32.19%;SOD活性在10~30 g·L-1 处理组分别比对照高0.52%、2.32%、0.85%,但均未有显著差异。SOD与POD分别在20 g·L-1 与30 g·L-1 处理时出现下降趋势,SS、SP分别在20 g·L-1 和30 g·L-1 时出现下降趋势,Pro表现出双峰,顶点分别出现在10 g·L-1 与40 g·L-1 处理。
	 
 																																																																																										图2 
		
							
						
									图2  
											灌溉水矿化度对梭梭抗氧化酶与渗透调节物质的影响  
																	Fig. 2  
											Effects of different salt concentrations on oxidase and osmotic regulatory substances  
															 
		 
		
					
			
			
			2.4 咸水灌溉对梭梭气体交换的影响
		 
					
	
		高矿化度水灌溉在30 d对Tr、P n 、G s 、L s 有明显影响(图3 )。Tr、P n 、G s 各处理分别比对照降低13.58%~76.13%、14.44%~55.66%、15.95%~81.54%,且随着矿化度的升高呈下降趋势。Tr、P n 在20~50 g·L-1 处理与对照均有显著差异,10 g·L-1 处理未见明显差异,Tr 在30~50 g·L-1 处理与10、20 g·L-1 有显著差异,P n 在10 g·L-1 处理高出对照16.17%且与20~50 g·L-1 处理有显著差异。G s 在30、40、50 g·L-1 处理与对照以及10、20 g·L-1 处理有显著差异,10、20 g·L-1 处理与对照未见明显差异。L s 在10、20、50 g·L-1 处理比对照高1.84%~31.44%,其中50 g·L-1 处理与对照、30 g·L-1 处理有显著差异。
	 
 																																																																																																																				图3 
		
							
						
									图3  
											灌溉水矿化度对梭梭气体交换的影响  
																			不同字母表示处理间差异显著,P <0.05
																		Fig.3  
											Effects of different salt concentrations on gas exchange  
															 
		 
		
					
	
		灌溉60 d时Tr、P n 、G s 、L s 均有明显变化。Tr、G s 各处理比对照分别降低2.28%~64.88%、15.60%~70.72%;其中Tr 在20~50 g·L-1 处理组与对照以及10 g·L-1 处理组有显著差异,40 g·L-1 处理组与其他各处理均有显著差异;G s 在10~50 g·L-1 处理与对照有显著差异,10 g·L-1 处理与20~50 g·L-1 处理有显著差异;与30 d相比,Tr、G s 各处理组提高73.85%~308.67%、33.07%~380.57%,且除G s 在30 g·L-1 处理外,其余各处理变化均有显著差异。P n 在10 g·L-1 与40 g·L-1 处理分别比对照降低1.19%、17.37%,20、30、50 g·L-1 处理分别比对照高2.21%、7.12%、18.03%,与30 d相比,20~50 g·L-1 处理提高43.22%~143.07%,且均达到显著差异性水平。L s 各处理比对照高15.99%~104.79%,其中20~50 g·L-1 处理与对照及10 g·L-1 处理有显著差异,同时与30 d相比30~50 g·L-1 处理组提高1.52%~21.15%,对照、10、20 g·L-1 处理分别下降14.54%、47.89%、37.17%,其中10、20、40 g·L-1 处理变幅均有显著差异。
	 
 					
	
		30 d时,P n 与Tr 、G s 呈极显著正相关(P <0.01);Tr 与G s 呈极显著正相关(P <0.05),P n 与Tr 、G s 与L s 相关性均不显著;60 d时,P n 与Tr 、L s 极显著正相关(P <0.01),与G s 显著正相关(P <0.05);Tr 与G s 极显著正相关(P <0.01),与L s 极显著负相关(P <0.01);G s 与L s 极显著负相关(P <0.01)。
	 
 					
			
			
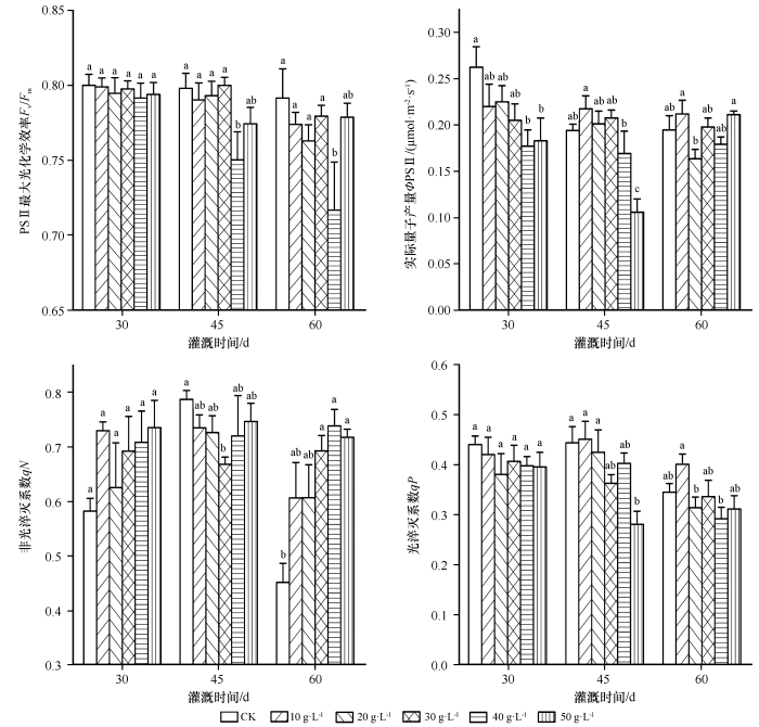
			2.5 咸水灌溉对梭梭叶绿素荧光的影响
		 
					
	
		高矿化度水灌溉30 d对Φ PSⅡ、qP、qN、F v /F m 均有明显影响(图4 )。Φ PSⅡ、qP、F v /F m 各处理比对照分别降低14.27%~32.57%、4.41%~13.46%、0.13%~1.05%,且随着矿化度的升高呈下降趋势,Φ PSⅡ在40、50 g·L-1 处理与对照差异显著。qN 各处理比对照高7.35%~26.19%,随着矿化度的升高呈增加趋势。
	 
 																																																																																																																				图4 
		
							
						
									图4  
											灌溉水矿化度对梭梭叶绿素荧光的影响  
																			不同字母表示处理间差异显著,P <0.05
																		Fig.4  
											Effects of salt concentrations on chlorophyll fluorescence  
															 
		 
		
					
	
		灌溉60 d时Φ PSⅡ、qP、qN、F v /F m 均有明显变化。Φ PSⅡ在20、40 g·L-1 处理比对照降低了15.96%、8.00%,10、30、50 g·L-1 处理则比对照高8.88%、1.64%、8.47%,其中20 g·L-1 与10、30、50 g·L-1 处理有显著差异,与30 d相比,40、50 g·L-1 处理提高0.94%、16.47%,其他处理下降4.30%~27.23%。qP 除10 g·L-1 处理比对照高16.28%外,其余各组比对照降低2.45%~23.91%,其中20、30 g·L-1 与10 g·L-1 处理组有显著差异,同时各处理与30 d相比下降2.73%~48.46%。qN 各处理比对照高34.20%~63.36%,30~50 g·L-1 处理与对照有显著差异,与30 d相比,除40 g·L-1 处理升高4%外,其余处理降低0.16%~16.77%。F v /F m 各处理比对照降低1.53%~9.44%,其中40 g·L-1 与对照、10、20、30 g·L-1 处理有显著差异,与30 d相比,各处理下降1.06%~9.45%,其中40 g·L-1 处理变幅有显著差异。
	 
 					
	
		30 d时Φ PSⅡ与qP 极显著正相关(P <0.01),与qN 显著正相关(P <0.05);F v /F m 与qP 显著负相关(P <0.05)。60 d时,qP 与qN 显著正相关(P <0.05),其他参数均无显著性相关。
	 
 																																		
			
			
			3 讨论与结论
		 
					
	
		植物生长对盐碱环境比较敏感,生物量是代谢过程的综合体现,也是耐盐性的直接指标[14 ] 。在灌溉水矿化度达到20 g·L-1 后,地径与新枝的生长量降幅分别高达41.37%和35%,与对照均有显著差异,表明梭梭幼苗的生长在高矿化度灌溉水处理下受到抑制,这与韩张雄等[15 ] 的结果一致。在本实验条件下梭梭在灌溉水矿化度达到10 g·L-1 时,仍可以正常生长,在50 g·L-1 处理时生长虽受到抑制但仍可以继续存活,表现出很高的耐盐性。
	 
 					
	
		植物在受到盐胁迫时会随着盐分的增加而积累渗透调节物质与抗氧化酶,但梭梭同化枝SS、SP、Pro含量与SOD、POD活性和灌溉水矿化度并非呈明显的正相关,其中SS、SP含量分别在20 g·L-1 和30 g·L-1 时出现下降趋势,Pro则呈现出双峰特征,顶点分别出现在10 g·L-1 与40 g·L-1 处理,SOD、POD活性分别在20 g·L-1 与30 g·L-1 处理时出现下降趋势,推测是过高盐胁迫导致渗透调节机制与酶系统失活。本结果与鲁艳等[16 ] 对梭梭最高400 mmol·L-1 的NaCl处理报道以及孟富宣等[17 ] 对木薯的研究结果相似,但是未见其他植物在高矿化度水灌溉下有相似研究结果,且对于梭梭的研究未见相关报道,因此需进一步对高盐处理时渗透调节机制以及抗氧化酶活性降低的原因进行研究。
	 
 					
	
		本研究中梭梭同化枝叶绿素a、叶绿素b、 胡萝卜素含量随着灌溉水矿化度的升高整体呈下降趋势,与徐新文等[18 ] 的结果一致。高盐环境中叶绿素的降解主要是由活性氧的氧化损伤引起[19 ] ,说明梭梭叶绿素的合成受到抑制,但除40 g·L-1 处理与对照有显著差异外,各组间并没有表现出显著差异,表明咸水灌溉加快了叶绿素的合成,以维持正常的生长与光合。叶绿素b是捕光天线复合体(LHC)的重要组成部分,具有吸收和传递光能、调控光合天线的大小、维持LHCII的稳定性及对各种环境的适应等过程中都有作用[20 ] 。而本试验中梭梭同化枝叶绿素b的含量随着灌溉水矿化度的升高呈整体上升的趋势,则说明梭梭在高盐胁迫中,由于光能过剩从而产生了光抑制,需要生成更多的叶绿素b进行调节,也表明了梭梭具有很高的耐盐性。
	 
 					
	
		在30 d时,梭梭Tr、G s 、P n 随着灌水矿化度的升高呈明显下降趋势,且P n 与Tr、G s 有极显著正相关,而L s 在10、20、50 g·L-1 虽高于对照,却没有明显上升,说明净光合能力的下降主要原因可能是由于气孔变化导致的。在60 d时,各处理的Tr、G s 、P n 均有明显升高,L s 也表现出随着矿化度升高而增加,未发现P n 明显差异,与L s 也呈现出极显著正相关,说明P n 的变化使植株RuBP 羧化酶的活性下降,并非气孔限制。由此可见,梭梭净光合能下降的主要原因由气孔限制逐渐转变为非气孔限制,此结果与张国伟等[21 ] 对棉花的研究结果一致。
	 
 					
	
		灌溉30 d时梭梭各处理F v /F m 、Φ PSⅡ的降低,表明咸水灌溉降低了PSⅡ非环式电子传递效率,植株产生过多的激发能PSII受损,PSII氧化侧向反应中心的电子传递受到光抑制,ATP、 NADPH等同化力的形成受阻,最终导致净光合速率下降。高qN 有利于过剩光能的及时耗散,从而避免光系统的损害,表明梭梭在高盐碱环境中受到胁迫,需要通过适应机制来调整过量光能的耗散。60 d与30 d相比,Φ PSⅡ变幅减小,而qP、F v /F m 、qN 的变幅增大,且在30 d时,Φ PSⅡ与qP 有极显著正相关,与qN 有极显著负相关,但是在60 d时,Φ PSⅡ与qP、qN 则没有表现出显著的相关性,说明梭梭在高盐碱环境中通过光淬灭的适应机制减少对光合器官的伤害,此结果与史胜青等[22 ] 的研究一致。
	 
 					
	
		虽然灌溉水矿化度的增加会对梭梭造成一系列的胁迫反应,但在灌溉水矿化度达到50 g·L-1 时仍可以继续生长,咸水灌溉初期(0~30 d时)胁迫影响显著,且随着时间的增加差异性减小。同时,在10 g·L-1 处理时梭梭各个测量指标并未表现出与对照组的显著差异,说明梭梭具有适应一定盐碱环境的自然能力。渗透调节物质与抗氧化酶活性在高盐碱环境中下降,说明并未起到主要调节作用,而qN 与qP 的变化可能是主要的调节机制,但是仍需进一步探讨研究。
	 
 																																																				
							
								参考文献  
								 
									
										View Option  
									
								
							
							
																																																		
														
																															[1]
																													 
													
														田长彦 ,周宏飞 ,刘国庆 21世纪新疆土壤盐渍化调控与农业持续发展研究建议
[J].干旱区地理 ,2000 (2 ):177 -181 . 
																																							
														
															 [本文引用: 1] 
															 
																																									
													
																																																															 
												
												
																											[2]
																									 
												
												杨劲松 中国盐渍土研究的发展历程与展望
[J].土壤学报 ,2008 (5 ):837 -845 . 
																																	
												
											
																																																															 
												
												
																											[3]
																									 
												
												张建锋 ,张旭东 ,周金星 ,等 世界盐碱地资源及其改良利用的基本措施
[J].水土保持研究 ,2005 (6 ):32 -34 ,111 . 
																																	
												
													 [本文引用: 1] 
													 
																																			
											
																																																															 
												
												
																											[4]
																									 
												
												冯肖莉 ,樊寿德 ,周莲洁 ,等 苗期盐穗木在不同盐浓度处理下的渗调和抗氧化系统
[J].干旱区研究 ,2018 ,35 (5 ):1118 -1128 . 
																																	
												
													 [本文引用: 1] 
													 
																																			
											
																																																															 
												
												
																											[5]
																									 
												
												张娟 ,姜闯道 ,平吉成 盐胁迫对植物光合作用影响的研究进展
[J].农业科学研究 ,2008 (3 ):74 -80 . 
																																	
												
											
																																																															 
												
												
																											[6]
																									 
												
												方怡然 ,薛立 盐胁迫对植物叶绿素荧光影响的研究进展
[J].生态科学 ,2019 ,38 (3 ):225 -234 . 
																																	
												
											
																																																															 
												
												
																											[7]
																									 
												
												廖岩 ,彭友贵 ,陈桂珠 植物耐盐性机理研究进展
[J].生态学报 ,2007 (5 ):2077 -2089 . 
																																	
												
													 [本文引用: 1] 
													 
																																			
											
																																																															 
												
												
																											[8]
																									 
												
												席军强 ,杨自辉 ,郭树江 ,等 人工梭梭林对沙地土壤理化性质和微生物的影响
[J].草业学报 ,2015 ,24 (5 ):44 -52 . 
																																	
												
													 [本文引用: 1] 
													 
																																			
											
																																																															 
												
												
																											[9]
																									 
												
												李红忠 ,李生宇 ,雷加强 ,等 塔克拉玛干沙漠不同矿化度水灌溉造林试验研究
[J].干旱区地理 ,2005 (3 ):305 -310 . 
																																	
												
													 [本文引用: 1] 
													 
																																			
											
																																																															 
												
												
																											[10]
																									 
												
												陈娟丽 ,赵学勇 ,刘新平 ,等 降雨量对科尔沁沙地3种沙生植物生长和生理的影响
[J].中国沙漠 ,2019 ,39 (5 ):163 -173 . 
																																	
												
													 [本文引用: 1] 
													 
																																			
											
																																																															 
												
												
																											[11]
																									 
												
												张雯莉 ,刘玉冰 ,刘立超 盐胁迫对枸杞(Lycium barbarum )叶片生理的影响
[J].中国沙漠 ,2018 ,38 (2 ):294 -299 . 
																																	
												
													 [本文引用: 1] 
													 
																																			
											
																																																															 
												
												
																											[12]
																									 
												
												杨宏伟 ,刘文瑜 ,冯焕琴 ,等 土壤含水量和磷肥对马铃薯生长发育及抗旱生理的影响
[J].中国沙漠 ,2018 ,38 (2 ):307 -314 . 
																																	
												
											
																																																															 
												
												
																											[13]
																									 
												
												司守霞 ,李宜轩 ,回嵘 ,等 降雪对荒漠生物土壤结皮光合生理特性的影响
[J].中国沙漠 ,2018 ,38 (3 ):560 -567 . 
																																	
												
													 [本文引用: 1] 
													 
																																			
											
																																																															 
												
												
																											[14]
																									 
												
												王东明 ,贾媛 ,崔继哲 盐胁迫对植物的影响及植物盐适应性研究进展
[J].中国农学通报 ,2009 ,25 (4 ):124 -128 . 
																																	
												
													 [本文引用: 1] 
													 
																																			
											
																																																															 
												
												
																											[15]
																									 
												
												韩张雄 ,李利 ,徐新文 ,等 梭梭幼苗干物质积累和叶绿素荧光对NaCl胁迫的响应
[J].中国沙漠 ,2011 ,31 (1 ):90 -95 . 
																																	
												
													 [本文引用: 1] 
													 
																																			
											
																																																															 
												
												
																											[16]
																									 
												
												鲁艳 ,雷加强 ,曾凡江 ,等 NaCl处理对梭梭生长及生理生态特征的影响
[J].草业学报 ,2014 ,23 (3 ):152 -159 . 
																																	
												
													 [本文引用: 1] 
													 
																																			
											
																																																															 
												
												
																											[17]
																									 
												
												孟富宣 ,段元杰 ,杨玉皎 ,等 复盐胁迫对木薯幼苗光合特性及抗氧化酶活性的影响
[J].中国农学通报 ,2019 ,35 (1 ):34 -39 . 
																																	
												
													 [本文引用: 1] 
													 
																																			
											
																																																															 
												
												
																											[18]
																									 
												
												徐新文 ,徐海量 ,王艳玲 ,等 盐胁迫对沙漠公路防护林主要固沙植物叶绿素含量的影响
[J].科学通报 ,2008 ():96 -99 . 
																																	
												
													 [本文引用: 1] 
													 
																																			
											
																																																															 
												
												
																											[19]
																									 
												
												邵瑞鑫 ,上官周平 外源一氧化氮供体SNP对受旱小麦光合色素含量和PSⅡ光能利用能力的影响
[J].作物学报 ,2008 (5 ):818 -822 . 
																																	
												
													 [本文引用: 1] 
													 
																																			
											
																																																															 
												
												
																											[20]
																									 
												
												郭春爱 ,刘芳 ,许晓明 叶绿素b缺失与植物的光合作用
[J].植物生理学通讯 ,2006 (5 ):967 -973 . 
																																	
												
													 [本文引用: 1] 
													 
																																			
											
																																																															 
												
												
																											[21]
																									 
												
												张国伟 ,张雷 ,唐明星 ,等 土壤盐分对棉花功能叶气体交换参数和叶绿素荧光参数日变化的影响
[J].应用生态学报 ,2011 ,22 (7 ):1771 -1781 . 
																																	
												
													 [本文引用: 1] 
													 
																																			
											
																																																															 
												
												
																											[22]
																									 
												
												史胜青 ,袁玉欣 ,杨敏生 ,等 水分胁迫对4种苗木叶绿素荧光的光化学淬灭和非光化学淬灭的影响
[J].林业科学 ,2004 (1 ):168 -173 . 
																																	
												
													 [本文引用: 1] 
													 
																																			
											
																																														
									
																																												
																						
												21世纪新疆土壤盐渍化调控与农业持续发展研究建议
												1
												2000
												
												
																								
																																								... 中国盐渍土总面积约0.36亿hm2 ,新疆盐渍土面积占全国的22.1%.新疆还面临着淡水资源匮乏、地下水水质差等问题.在干旱区生态防护林建设中,盐渍化土壤与地下咸水已成为可有效利用和改良的资源[1 -3 ] .植物受到高盐胁迫时,主要的生理过程都会受到影响,表现为渗透胁迫与膜系统氧化损伤,引起一定程度的水分亏缺、光合电子传递系统失活、光抑制等,从而加速叶绿素分解,光合能力降低,最终抑制生长.同时植物会通过自身的渗透调节、转录调控、信号转导等方式来降低水势,提高保水力和调节抗氧化系统清除ROS积累等方式限制盐分的过量吸收以减轻对细胞的伤害[4 -7 ] . ...
																																							 
																							 
																																		
																						
																																		
																						
												世界盐碱地资源及其改良利用的基本措施
												1
												2005
												
												
																								
																																								... 中国盐渍土总面积约0.36亿hm2 ,新疆盐渍土面积占全国的22.1%.新疆还面临着淡水资源匮乏、地下水水质差等问题.在干旱区生态防护林建设中,盐渍化土壤与地下咸水已成为可有效利用和改良的资源[1 -3 ] .植物受到高盐胁迫时,主要的生理过程都会受到影响,表现为渗透胁迫与膜系统氧化损伤,引起一定程度的水分亏缺、光合电子传递系统失活、光抑制等,从而加速叶绿素分解,光合能力降低,最终抑制生长.同时植物会通过自身的渗透调节、转录调控、信号转导等方式来降低水势,提高保水力和调节抗氧化系统清除ROS积累等方式限制盐分的过量吸收以减轻对细胞的伤害[4 -7 ] . ...
																																							 
																							 
																																		
																						
												苗期盐穗木在不同盐浓度处理下的渗调和抗氧化系统
												1
												2018
												
												
																								
																																								... 中国盐渍土总面积约0.36亿hm2 ,新疆盐渍土面积占全国的22.1%.新疆还面临着淡水资源匮乏、地下水水质差等问题.在干旱区生态防护林建设中,盐渍化土壤与地下咸水已成为可有效利用和改良的资源[1 -3 ] .植物受到高盐胁迫时,主要的生理过程都会受到影响,表现为渗透胁迫与膜系统氧化损伤,引起一定程度的水分亏缺、光合电子传递系统失活、光抑制等,从而加速叶绿素分解,光合能力降低,最终抑制生长.同时植物会通过自身的渗透调节、转录调控、信号转导等方式来降低水势,提高保水力和调节抗氧化系统清除ROS积累等方式限制盐分的过量吸收以减轻对细胞的伤害[4 -7 ] . ...
																																							 
																							 
																																		
																						
																																		
																						
																																		
																						
												植物耐盐性机理研究进展
												1
												2007
												
												
																								
																																								... 中国盐渍土总面积约0.36亿hm2 ,新疆盐渍土面积占全国的22.1%.新疆还面临着淡水资源匮乏、地下水水质差等问题.在干旱区生态防护林建设中,盐渍化土壤与地下咸水已成为可有效利用和改良的资源[1 -3 ] .植物受到高盐胁迫时,主要的生理过程都会受到影响,表现为渗透胁迫与膜系统氧化损伤,引起一定程度的水分亏缺、光合电子传递系统失活、光抑制等,从而加速叶绿素分解,光合能力降低,最终抑制生长.同时植物会通过自身的渗透调节、转录调控、信号转导等方式来降低水势,提高保水力和调节抗氧化系统清除ROS积累等方式限制盐分的过量吸收以减轻对细胞的伤害[4 -7 ] . ...
																																							 
																							 
																																		
																						
												人工梭梭林对沙地土壤理化性质和微生物的影响
												1
												2015
												
												
																								
																																								... 梭梭(Haloxylon ammodendron )是中国西北地区优势建群种,具有较高的耐盐性、抗旱性与经济价值,被广泛种植于西北荒漠区,用于风沙防治[8 ] .前人的相关研究主要在种子萌发、抗旱及肉苁蓉接种等方面,在耐盐特性方面,李红忠等[9 ] 研究了灌水矿化度不超过30 g·L-1 时梭梭的生长状况,但在超过30 g·L-1 的盐水灌溉环境下梭梭的生理生态特性和耐盐机理尚未见报道.本文以梭梭一年生实生苗为实验材料,研究不同高矿化度灌水条件下,植株的生长、叶绿素含量、渗透调节、活性氧代谢、呼吸作用及叶绿素荧光参数的生理生态响应特征,旨在进一步探讨其对高盐环境的适应机制,为高盐碱地区梭梭的种植栽培及种群恢复提供理论依据,同时对于优良耐盐植物的培育及其耐盐机理研究具有科学意义. ...
																																							 
																							 
																																		
																						
												塔克拉玛干沙漠不同矿化度水灌溉造林试验研究
												1
												2005
												
												
																								
																																								... 梭梭(Haloxylon ammodendron )是中国西北地区优势建群种,具有较高的耐盐性、抗旱性与经济价值,被广泛种植于西北荒漠区,用于风沙防治[8 ] .前人的相关研究主要在种子萌发、抗旱及肉苁蓉接种等方面,在耐盐特性方面,李红忠等[9 ] 研究了灌水矿化度不超过30 g·L-1 时梭梭的生长状况,但在超过30 g·L-1 的盐水灌溉环境下梭梭的生理生态特性和耐盐机理尚未见报道.本文以梭梭一年生实生苗为实验材料,研究不同高矿化度灌水条件下,植株的生长、叶绿素含量、渗透调节、活性氧代谢、呼吸作用及叶绿素荧光参数的生理生态响应特征,旨在进一步探讨其对高盐环境的适应机制,为高盐碱地区梭梭的种植栽培及种群恢复提供理论依据,同时对于优良耐盐植物的培育及其耐盐机理研究具有科学意义. ...
																																							 
																							 
																																		
																						
												降雨量对科尔沁沙地3种沙生植物生长和生理的影响
												1
												2019
												
												
																								
																																								... 叶绿素含量采用分光光度计法测量[10 ] .叶片超氧化物歧化酶(SOD)、过氧化物酶(POD)活性、可溶性蛋白质(SP)含量、可溶性糖(SS)含量、脯氨酸(Pro)含量分别采用氮蓝四唑染色法、愈创木酚染色法、考马斯亮蓝法、蒽酮比色法、水合茚三酮法测定[11 -13 ] . ...
																																							 
																							 
																																		
																						
												盐胁迫对枸杞(Lycium barbarum )叶片生理的影响
												1
												2018
												
												
																								
																																								... 叶绿素含量采用分光光度计法测量[10 ] .叶片超氧化物歧化酶(SOD)、过氧化物酶(POD)活性、可溶性蛋白质(SP)含量、可溶性糖(SS)含量、脯氨酸(Pro)含量分别采用氮蓝四唑染色法、愈创木酚染色法、考马斯亮蓝法、蒽酮比色法、水合茚三酮法测定[11 -13 ] . ...
																																							 
																							 
																																		
																						
												土壤含水量和磷肥对马铃薯生长发育及抗旱生理的影响
												
												2018
												
												
																							 
																																		
																						
												降雪对荒漠生物土壤结皮光合生理特性的影响
												1
												2018
												
												
																								
																																								... 叶绿素含量采用分光光度计法测量[10 ] .叶片超氧化物歧化酶(SOD)、过氧化物酶(POD)活性、可溶性蛋白质(SP)含量、可溶性糖(SS)含量、脯氨酸(Pro)含量分别采用氮蓝四唑染色法、愈创木酚染色法、考马斯亮蓝法、蒽酮比色法、水合茚三酮法测定[11 -13 ] . ...
																																							 
																							 
																																		
																						
												盐胁迫对植物的影响及植物盐适应性研究进展
												1
												2009
												
												
																								
																																								... 植物生长对盐碱环境比较敏感,生物量是代谢过程的综合体现,也是耐盐性的直接指标[14 ] .在灌溉水矿化度达到20 g·L-1 后,地径与新枝的生长量降幅分别高达41.37%和35%,与对照均有显著差异,表明梭梭幼苗的生长在高矿化度灌溉水处理下受到抑制,这与韩张雄等[15 ] 的结果一致.在本实验条件下梭梭在灌溉水矿化度达到10 g·L-1 时,仍可以正常生长,在50 g·L-1 处理时生长虽受到抑制但仍可以继续存活,表现出很高的耐盐性. ...
																																							 
																							 
																																		
																						
												梭梭幼苗干物质积累和叶绿素荧光对NaCl胁迫的响应
												1
												2011
												
												
																								
																																								... 植物生长对盐碱环境比较敏感,生物量是代谢过程的综合体现,也是耐盐性的直接指标[14 ] .在灌溉水矿化度达到20 g·L-1 后,地径与新枝的生长量降幅分别高达41.37%和35%,与对照均有显著差异,表明梭梭幼苗的生长在高矿化度灌溉水处理下受到抑制,这与韩张雄等[15 ] 的结果一致.在本实验条件下梭梭在灌溉水矿化度达到10 g·L-1 时,仍可以正常生长,在50 g·L-1 处理时生长虽受到抑制但仍可以继续存活,表现出很高的耐盐性. ...
																																							 
																							 
																																		
																						
												NaCl处理对梭梭生长及生理生态特征的影响
												1
												2014
												
												
																								
																																								... 植物在受到盐胁迫时会随着盐分的增加而积累渗透调节物质与抗氧化酶,但梭梭同化枝SS、SP、Pro含量与SOD、POD活性和灌溉水矿化度并非呈明显的正相关,其中SS、SP含量分别在20 g·L-1 和30 g·L-1 时出现下降趋势,Pro则呈现出双峰特征,顶点分别出现在10 g·L-1 与40 g·L-1 处理,SOD、POD活性分别在20 g·L-1 与30 g·L-1 处理时出现下降趋势,推测是过高盐胁迫导致渗透调节机制与酶系统失活.本结果与鲁艳等[16 ] 对梭梭最高400 mmol·L-1 的NaCl处理报道以及孟富宣等[17 ] 对木薯的研究结果相似,但是未见其他植物在高矿化度水灌溉下有相似研究结果,且对于梭梭的研究未见相关报道,因此需进一步对高盐处理时渗透调节机制以及抗氧化酶活性降低的原因进行研究. ...
																																							 
																							 
																																		
																						
												复盐胁迫对木薯幼苗光合特性及抗氧化酶活性的影响
												1
												2019
												
												
																								
																																								... 植物在受到盐胁迫时会随着盐分的增加而积累渗透调节物质与抗氧化酶,但梭梭同化枝SS、SP、Pro含量与SOD、POD活性和灌溉水矿化度并非呈明显的正相关,其中SS、SP含量分别在20 g·L-1 和30 g·L-1 时出现下降趋势,Pro则呈现出双峰特征,顶点分别出现在10 g·L-1 与40 g·L-1 处理,SOD、POD活性分别在20 g·L-1 与30 g·L-1 处理时出现下降趋势,推测是过高盐胁迫导致渗透调节机制与酶系统失活.本结果与鲁艳等[16 ] 对梭梭最高400 mmol·L-1 的NaCl处理报道以及孟富宣等[17 ] 对木薯的研究结果相似,但是未见其他植物在高矿化度水灌溉下有相似研究结果,且对于梭梭的研究未见相关报道,因此需进一步对高盐处理时渗透调节机制以及抗氧化酶活性降低的原因进行研究. ...
																																							 
																							 
																																		
																						
												盐胁迫对沙漠公路防护林主要固沙植物叶绿素含量的影响
												1
												2008
												
												
																								
																																								... 本研究中梭梭同化枝叶绿素a、叶绿素b、 胡萝卜素含量随着灌溉水矿化度的升高整体呈下降趋势,与徐新文等[18 ] 的结果一致.高盐环境中叶绿素的降解主要是由活性氧的氧化损伤引起[19 ] ,说明梭梭叶绿素的合成受到抑制,但除40 g·L-1 处理与对照有显著差异外,各组间并没有表现出显著差异,表明咸水灌溉加快了叶绿素的合成,以维持正常的生长与光合.叶绿素b是捕光天线复合体(LHC)的重要组成部分,具有吸收和传递光能、调控光合天线的大小、维持LHCII的稳定性及对各种环境的适应等过程中都有作用[20 ] .而本试验中梭梭同化枝叶绿素b的含量随着灌溉水矿化度的升高呈整体上升的趋势,则说明梭梭在高盐胁迫中,由于光能过剩从而产生了光抑制,需要生成更多的叶绿素b进行调节,也表明了梭梭具有很高的耐盐性. ...
																																							 
																							 
																																		
																						
												外源一氧化氮供体SNP对受旱小麦光合色素含量和PSⅡ光能利用能力的影响
												1
												2008
												
												
																								
																																								... 本研究中梭梭同化枝叶绿素a、叶绿素b、 胡萝卜素含量随着灌溉水矿化度的升高整体呈下降趋势,与徐新文等[18 ] 的结果一致.高盐环境中叶绿素的降解主要是由活性氧的氧化损伤引起[19 ] ,说明梭梭叶绿素的合成受到抑制,但除40 g·L-1 处理与对照有显著差异外,各组间并没有表现出显著差异,表明咸水灌溉加快了叶绿素的合成,以维持正常的生长与光合.叶绿素b是捕光天线复合体(LHC)的重要组成部分,具有吸收和传递光能、调控光合天线的大小、维持LHCII的稳定性及对各种环境的适应等过程中都有作用[20 ] .而本试验中梭梭同化枝叶绿素b的含量随着灌溉水矿化度的升高呈整体上升的趋势,则说明梭梭在高盐胁迫中,由于光能过剩从而产生了光抑制,需要生成更多的叶绿素b进行调节,也表明了梭梭具有很高的耐盐性. ...
																																							 
																							 
																																		
																						
												叶绿素b缺失与植物的光合作用
												1
												2006
												
												
																								
																																								... 本研究中梭梭同化枝叶绿素a、叶绿素b、 胡萝卜素含量随着灌溉水矿化度的升高整体呈下降趋势,与徐新文等[18 ] 的结果一致.高盐环境中叶绿素的降解主要是由活性氧的氧化损伤引起[19 ] ,说明梭梭叶绿素的合成受到抑制,但除40 g·L-1 处理与对照有显著差异外,各组间并没有表现出显著差异,表明咸水灌溉加快了叶绿素的合成,以维持正常的生长与光合.叶绿素b是捕光天线复合体(LHC)的重要组成部分,具有吸收和传递光能、调控光合天线的大小、维持LHCII的稳定性及对各种环境的适应等过程中都有作用[20 ] .而本试验中梭梭同化枝叶绿素b的含量随着灌溉水矿化度的升高呈整体上升的趋势,则说明梭梭在高盐胁迫中,由于光能过剩从而产生了光抑制,需要生成更多的叶绿素b进行调节,也表明了梭梭具有很高的耐盐性. ...
																																							 
																							 
																																		
																						
												土壤盐分对棉花功能叶气体交换参数和叶绿素荧光参数日变化的影响
												1
												2011
												
												
																								
																																								... 在30 d时,梭梭Tr、G s 、P n 随着灌水矿化度的升高呈明显下降趋势,且P n 与Tr、G s 有极显著正相关,而L s 在10、20、50 g·L-1 虽高于对照,却没有明显上升,说明净光合能力的下降主要原因可能是由于气孔变化导致的.在60 d时,各处理的Tr、G s 、P n 均有明显升高,L s 也表现出随着矿化度升高而增加,未发现P n 明显差异,与L s 也呈现出极显著正相关,说明P n 的变化使植株RuBP 羧化酶的活性下降,并非气孔限制.由此可见,梭梭净光合能下降的主要原因由气孔限制逐渐转变为非气孔限制,此结果与张国伟等[21 ] 对棉花的研究结果一致. ...
																																							 
																							 
																																		
																						
												水分胁迫对4种苗木叶绿素荧光的光化学淬灭和非光化学淬灭的影响
												1
												2004
												
												
																								
																																								... 灌溉30 d时梭梭各处理F v /F m 、Φ PSⅡ的降低,表明咸水灌溉降低了PSⅡ非环式电子传递效率,植株产生过多的激发能PSII受损,PSII氧化侧向反应中心的电子传递受到光抑制,ATP、 NADPH等同化力的形成受阻,最终导致净光合速率下降.高qN 有利于过剩光能的及时耗散,从而避免光系统的损害,表明梭梭在高盐碱环境中受到胁迫,需要通过适应机制来调整过量光能的耗散.60 d与30 d相比,Φ PSⅡ变幅减小,而qP、F v /F m 、qN 的变幅增大,且在30 d时,Φ PSⅡ与qP 有极显著正相关,与qN 有极显著负相关,但是在60 d时,Φ PSⅡ与qP、qN 则没有表现出显著的相关性,说明梭梭在高盐碱环境中通过光淬灭的适应机制减少对光合器官的伤害,此结果与史胜青等[22 ] 的研究一致. ...