塔克拉玛干沙漠腹地夏季夜间低空急流变化特征
1.
2.
3.
Variation characteristics of nocturnal low-level jet in summer over the hinterland of Taklimakan Desert
1.
2.
3.
通讯作者:
收稿日期: 2020-03-27 修回日期: 2020-05-24 网络出版日期: 2020-09-28
| 基金资助: |
|
Received: 2020-03-27 Revised: 2020-05-24 Online: 2020-09-28
作者简介 About authors
张建涛(1985—),男,新疆尼勒克人,研究实习员,主要从事沙漠边界层气象研究E-mail:
关键词:
Keywords:
本文引用格式
张建涛, 王敏仲, 何清, 潘红林, 孟露, 王延慧.
Zhang Jiantao, Wang Minzhong, He Qing, Pan Honglin, Meng Lu, Wang Yanhui.
0 引言
低空急流(Low-Level Jets,LLJ)指出现在对流层低层的一层强而窄空气薄层[1],高度一般在2 000 m以下,垂直厚度只有几百米,水平尺度可达几百千米。低空急流通常于日落后开始发展、日出前消散,与中尺度对流天气密切相关。国外在20世纪50年代后开展了低空急流的研究[2-5],提出了夜间低空急流的形成和发展机制——惯性震荡,并建立了较为完善的低空急流定义。低空急流在平原、谷地、极地、海陆交界等地区均有发展,相关研究主要利用探空风场资料、风廓线雷达风场资料、高分辨率的再分析资料及数值模拟等,围绕低空急流的空间分布、日变化及季节分布规律、水平及垂直结构、形成和演变特征以及对天气的影响等内容开展研究工作[6-9]。
塔克拉玛干沙漠是世界第二大流动沙漠,沙尘能够随大气环流传输到其他区域,是中国主要沙尘源区,是研究者关注的热点地区,研究主要在大气边界层、陆-气相互作用、沙尘气溶胶及沙漠固碳等方面[19-23]。Ge等[24]、刘华悦等[25]利用卫星遥感数据和再分析资料,分析了低空急流与沙尘输送的关系,以及低空急流季节变化特征。目前,对于塔克拉玛干沙漠腹地夜间低空急流的研究,主要是利用遥感、数值预报等模拟手段分析低空急流的结构特征,但利用探空气球在沙漠腹地实地观测夜间低空急流尚属空白,关于沙漠腹地低空急流的日变化特征,晴天和沙尘天气低空急流的变化规律等问题尚不清楚,因此本文利用GPS探空实测数据,探讨上述问题及低空急流形成的主要原因。
1 研究区概况、资料和低空急流判定
1.1 研究区概况
塔克拉玛干沙漠位于塔里木盆地内,三面环山的特殊地形,使该沙漠形成极端干旱的气候条件,沙漠日照强烈,昼夜温差大,最高气温达42.5 ℃,年均降水量不足30 mm,蒸发量高达3 800 mm。年平均出现沙尘天气100多天,多发生于春夏两季,下垫面为流沙地表,植被极其稀疏,构成独特而脆弱的自然生态系统。GPS探空试验场地位于沙漠腹地塔中地区,距离塔中气象站约9 km,四周开阔,没有遮蔽物,生活区有少量人工种植的柽柳等灌木植物,其他地表均为流沙地表,该地区天气、气候及地表属性基本代表整个沙漠的特征。
1.2 资料
使用的数据主要来源于2016年和2017年7月的GPS加密探空资料。GPS探空观测试验是利用气球携带探空仪对地面至25 000 m高度范围内的大气进行垂直探测,利用温湿传感器实测温度和湿度,并通过GPS模块反算风速、风向、高度等气象要素。探空仪和地面接收系统的相关技术参数见表1和表2。GPS探空观测时次一般为每天02:00、08:00、14:00、20:00(北京时,下同),探空气球平均升速为300 m‧min-1,水平漂移距离平均为40 km,该距离未超出沙漠的范围,所观测的数据均为沙漠大气边界层的气象要素。试验期间严格按照操作规范进行试验,每次试验时都对探空仪的温湿传感器、GPS传感器、电池组等进行检测,温度偏差大于5 ℃、湿度偏差大于5%、GPS卫星数小于5颗的探空仪将不予使用,以减少硬件对观测数据的影响。
表1 GPS探空仪主要技术指标
Table 1
| 型号 | 厂家 | 传感器 | 测量范围 | 探测精度 | 误差范围 |
|---|---|---|---|---|---|
| CF-06-A GNSS | 北京长峰微电科技有限公司 | 温度/℃ | -90~+60 | 0.1 | ±0.2 |
| 湿度/% | 0~100 | 1 | ±3 | ||
| 气压/hPa | 3~1 080 | 0.1 | ±1.0 | ||
| 风速/(m·s-1) | 0~150 | 0.1 | ±0.15 | ||
| 风向/(°) | 0~360 | 0.1 | ±2 |
表2 地面接收系统主要技术指标
Table 2
| 型号 | 厂家 | 主要指标 | 参数 |
|---|---|---|---|
| CFL-GNSS-JS | 北京长峰微电科技有限公司 | 接收频率范围/MHz | 400~406 |
| AFC控制精度/kHz | 2 | ||
| 天线增益/dB | >7 | ||
| 噪声系数/dB | 2.7 |
1.3 低空急流的判定
本文在Bonner定义的基础上,结合沙漠腹地低空垂直风速廓线,定义如下:第一,低空1 500 m内最大风速(Vmax)≥8 m·s-1;第二,风速最大值与其上部至3 000 m内风速最小值(Vmin)的差值(∆V=Vmax-Vmin)≥4 m·s-1(图1B),或者风速最大值与3 000 m处风速的差值(∆V)≥4 m·s-1(图1A)。基于此,按急流风速的大小将低空急流划分为4类,分别为LLJ1、LLJ2、LLJ3、LLJ4(表3),在1 500 m高度范围内风速最大值分别≥8、10、12、16 m·s-1,同时风速最大值与其上部至3 000 m高度内风速最小值的差值分别≥4、5、6、8 m·s-1。
图1
表3 低空急流分类与发生次数
Table 3
| 低空 急流 | Vmax/(m·s-1) | ΔV/(m·s-1) | 2016年 | 2017年 | ||
|---|---|---|---|---|---|---|
| 02:00 | 08:00 | 02:00 | 08:00 | |||
| LLJ1 | ≥8 | ≥4 | 20 | 17 | 17 | 17 |
| LLJ2 | ≥10 | ≥5 | 19 | 13 | 12 | 12 |
| LLJ3 | ≥12 | ≥6 | 13 | 8 | 6 | 7 |
| LLJ4 | ≥16 | ≥8 | 4 | / | 2 | 1 |
2 结果与分析
2.1 低空风速变化特征
塔克拉玛干沙漠腹地夏季有夜间低空急流发展(图2)。2016年和2017年7月4 000 m高度范围内风速日平均变化趋势基本相同,从地面到高空,发展规律均是先增大后减小再增大,低空处存在一个风速极大值的薄层。在1 500 m高度范围内风速是先增大后减小,2016年和2017年7月平均风速最大值分别出现在320 m和380 m左右。在1 500~3 000 m高度,风速先减小再增大,风速最小值分别出现在1 800 m左右和2 500 m左右, 3 000 m之上风速随高度逐渐增大。在时间尺度上,低空1 500 m范围内,风速从20:00开始逐渐增强,夜间02:00左右达到最大值,最大值分别为9.8 m·s-1和8.2 m·s-1,08:00后开始明显减弱,14:00左右减弱至5 m·s-1左右。1 500~3 000 m高度,平均风速全天变化较小。
图2
图2
2016年7月(A)和2017年7月(B)风速时间-高度剖面图
Fig.2
Wind speed time-height profile in July of 2016 (A) and 2017(B)
从图3和图4可以看出,2016年和2017年7月4 000 m内全天的风向以偏东风为主。在20:00主风向为东北风,到了夜间02:00主风向为东风,但其他风向逐渐开始增多,早晨和中午时刻,风向有了较多的变化,偏东风占比减小,其他风向占比增多,但偏东风依然为主。这说明,在沙漠腹地日落后,地表热力因素消失,夜间稳定边界层开始发展,低空处风速开始增大,到午夜达到最大,并在夜间稳定边界层顶发展成为夜间低空急流。同时平均风速最大值与其上下风速的差值达到4 m·s-1以上,可以确定在有低空急流发展的夜间,最大风速要远远大于该平均风速。从时间尺度上看,沙漠腹地低空急流发展情况符合形成的原因之一——惯性震荡。因此本文给出的急流判定条件,符合沙漠腹地夏季夜间低空急流的判定。
图3
图3
2016年7月4 000 m高度风向累计玫瑰图
Fig.3
Cumulative wind direction rose at a height of 4 000 m in July of 2016
图4
图4
2017年7月4 000 m高度风向累计玫瑰图
Fig.4
Cumulative wind direction rose at a height of 4 000 m in July of 2017
2.2 低空急流统计分析
根据低空急流判定条件,对沙漠腹地GPS探空观测数据进行筛选、计算和统计。在检验风速垂直廓线过程中,发现在夜间02:00、05:00和08:00均有低空急流,所以在统计过程中规定,如果当天夜里只有1个时刻出现低空急流,取该时刻的急流核的风速、风向及高度作为该天低空急流的统计样本,如当天夜里3个时刻均有低空急流发生,取急流核风速最大的时刻作为该天低空急流的统计样本。2016和2017年7月低空急流发生的天数均为22 d,实际观测天数为31 d,其中LLJ1发生概率均为71.0%,LLJ2发生概率分别为67.7%、54.8%,LLJ3发生概率分别为51.6%、32.3%,LLJ4发生概率分别为12.9%、16.1%。两年的急流平均风速分别为13.5、12.9 m·s-1,急流平均高度分别为402、445.5 m。
从图5A、D可以看出沙漠腹地夏季夜间低空急流高度主要在700 m高度范围内,所占比例为86.4%,2016年急流高度主要分布在200~500 m高度,2017年急流高度主要分布于100~400 m和500~800 m高度。风速较大的低空急流(LLJ4)一般多分布于较高的高度上,而较小的低空急流(LLJ1)多分布于较低的高度上。低空急流主风向多分布于0°~180°,2016和2017年7月偏东风急流日在总急流日中的占比分别为81.8%、90.9%。在偏东风中,低空急流多分布于0°~90°,而较强的LLJ4主要分布在0°~45°(图5B、E)。低空急流风速主要分布于9~15 m·s-1,2016和2017年7月LLJ4占总急流风速的百分比为18.2%、22.7%。2016年急流风速分布情况相比2017年较为集中,主要在10~15 m·s-1,2017年主要分布在9~12 m·s-1和15~17 m·s-1(图5C、F)。
图5
图5
低空急流风速、风向和高度分布(2016年A、B、C,2017年D、E、F)
Fig.5
Distribution of wind speed, direction and height of low-level jets (A,B,C in 2016, D,E,F in 2017)
图6是夜间低空急流风速、风向和高度散点矩阵图,使用的数据是两年7月夜间02:00、05:00和08:00所有低空急流的样本。所有时次的夜间低空急流中急流风速主要分布在9~14 m·s-1,急流高度主要分布于300~400 m高度,急流风向主要是偏东风,但0°~90°的急流风向多于其他方向。从核密度图可以看到,急流风速随着高度的增高而增大,风速较强的低空急流风向多分布于0°~90°,而较弱的急流多偏向于东风或东南风。这表明,塔克拉玛干沙漠腹地夏季夜间低空急流发生概率较大,急流以偏东风为主,多分布于低空,但较强的低空急流所在高度要高于较弱的低空急流。
图6
图6
低空急流急流核风速、高度、风向散点、核密度、直方图
Fig.6
Scatter diagram, nuclear density diagram, histogram of wind speed, height and wind direction of the low-level jet core
2.3 低空急流的日变化
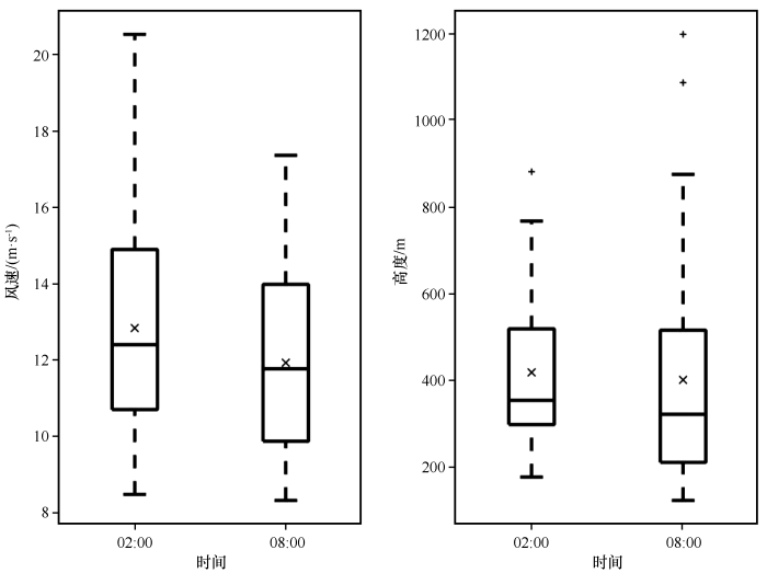
为进一步了解低空急流在夜间不同时刻的差异,图7给出了7月02:00和08:00低空急流风速与高度箱线图。从图7可以看出,02:00的风速最大值、上四分位数、均值、中值、下四分位数和最小值均大于08:00,02:00风速箱体在11~15 m·s-1,大于08:00的10~14 m·s-1。在高度箱体图中,02:00高度最小值、下四分位数、中值、均值和上四分位数都大于08:00,而02:00高度最大值要小于08:00,02:00的高度主体区间在300~500 m,比08:00主体区间200~500 m更集中。这说明沙漠腹地低空急流日落后开始发展,急流风速在午夜达到最大,急流所在高度相对稳定,随着时间的推移,急流强度逐渐减弱。随着风速的减弱,急流核高度也随之改变,日出前大部分急流向地面靠近,个别急流向高空发展。
图7
图7
02:00和08:00风速与高度箱线图(X为均值)
Fig.7
Boxplot of wind speed and height at 02:00 and 08:00 (X is the mean value)
从图8可以看出,02:00低空急流风向主要分布于东北偏北(NNE)和东北(NE)两个方向,而到了08:00,急流风向主要分布于东东北(ENE)、东(E)和东南(SE)3个方向。这说明在低空急流发展的整个过程中,低空急流风向会随时间改变,主要是因其受到地转偏向力的作用,在北半球风向向右偏转。同时,地转偏向力是在大尺度范围影响风的方向,因此间接说明塔克拉玛干沙漠低空有大范围的低空急流发展。
图8
图8
02:00和08:00低空急流(LLJ1)风向玫瑰图
Fig.8
Wind direction roses for low-level jet (LLJ1) at 02:00 and 08:00
从图9A可以看到,2017年7月10日晴天17:00沙漠腹地风速垂直廓线变化较小,从10日20:00至11日05:00,风速逐渐增大,特别是05:00在330 m高度上,风速达到15.4 m·s-1,且风速垂直廓线具有清晰的低空急流结构。早晨08:00整体风速大幅减弱,330 m高度上风速减弱至8.3 m·s-1,与上下层风速大小接近,低空急流结构已崩溃。日出后,边界层大气受地表热力作用及湍流的影响,风速垂直廓线变化规律逐渐趋近相同。
图9
图9
风速垂直廓线图和低空急流风速速度图
Fig.9
Vertical profiles of wind speed and velocity diagram of low-level jets
沙漠腹地沙尘暴过程开始于7月3日21:00,至24:00结束,持续约3 h,最小能见度为512 m。14:00和20:00低空风速垂直廓线波动较小,23:00处于沙尘暴过程中,此时低空1 000 m高度范围内风速基本都在14 m·s-1以上。02:00沙尘暴结束,地面风已经减弱,但是在690 m高度上,风速并没有因沙尘暴天气过后而减弱,反而在沙尘暴风速的基础上进一步增大至19.0 m·s-1,且具有清晰的低空急流结构特征。08:00低空急流已开始减弱,最大风速减弱至14.6 m·s-1,但急流核高度上升至870 m。到中午14:00低空急流已彻底消散(图9C)。
从图9E可以看出浮尘天气14:00和20:00风速变化不大,02:00风速在300~650 m高度范围内发展成为双峰结构的低空急流,急流风速达到9.6 m·s-1。08:00低空急流核消散,风速减小至5 m·s-1。这表明,沙漠腹地夏季晴天、沙尘天气中均有低空急流发展,且具有清晰的结构特征。低空急流发展、持续、消退的整个变化过程在晴天天气下较为明显。沙尘天气对低空急流的发展具有促进作用。
2.4 低空急流的成因
低空急流形成的原因有多种,包括惯性震荡、倾斜地形产生的斜压、天气尺度的斜压、锋、山谷风等,在多数情况下,低空急流是在多个因子共同作用下形成的。塔克拉玛干沙漠地处中纬度地区,气候和地形条件较为特殊,因此本文从惯性震荡、天气系统的强迫、地形因素三方面分析塔克拉玛干沙漠低空急流的成因。
惯性震荡是由Blackadar[2]提出的,是指白天因湍流的作用,边界层的风受摩擦力的作用是次地转的,日落后,边界层内湍流消失,摩擦力随之消除,水平气压梯度力使风恢复到地转风,因此在低空风场中诱发了惯性振荡,风速在地转值左右震荡,但不会收敛于地转值。这个震荡周期就是惯性震荡周期:
式中:f为科氏参数;ω为地转角速度;φ为地理纬度。
塔克拉玛干沙漠腹地塔中地区,惯性周期约为19 h。从图9B、D、F可以看出,3种天气低空急流所在高度上几个时刻的风速都是按照顺时针方向旋转,且基本能够闭合。因沙漠腹地夏季夜间持续时间约为8 h,而惯性周期约19 h,探空试验观测时刻并不能与惯性震荡周期完全重合,因此,探空试验期间能观测到夜间低空急流最大值的时刻较少。晴天,夜间低空急流发展整个过程中,05:00急流风速达到最大,且具有清晰的低空急流结构特征(图9A)。这说明,晴天比较容易观测到惯性震荡诱发的低空急流,沙尘天气条件下,夜间低空急流的发展受到天气系统的影响,较难观测到惯性震荡。但昼夜交替始终存在,因此惯性震荡对沙漠腹地夜间低空风场始终具有一定的影响,促进夜间低空急流的形成和发展。
低空急流另一成因是天气系统的强迫。塔克拉玛干沙漠春夏季多发生沙尘天气,系统性天气对于低空急流的发展具有一定的影响。夜间有扬沙或沙尘暴天气过程时,都会有低空急流发生,白天沙尘天气持续到次日夜间,低空急流强度一般较大,如2016年7月3—4日、15—16日和2017年7月24—25日(表4)。沙漠腹地沙尘天气系统来临时,上空风速会逐渐增大,风速增大到一定强度后,吹起地面沙尘形成扬沙、沙尘暴等强对流天气,整个沙尘天气过程持续一定时间后开始减弱至消散。沙尘天气系统在减弱至消散过程中,低空风速应该是整体减弱的趋势,但在一定高度上风速逐渐增大,并形成低空急流(图9C)。这说明,沙尘暴天气系统,给低空急流的发展提供了风速基础。此时惯性震荡在辐合到这种天气系统中,就会在沙漠腹地上空形成较强的夜间低空急流。
表4 2016年和2017年7月沙尘天气和低空急流强度
Table 4
| 年份 | 日期 | 夜间 | 白天 | LLJ类型 |
|---|---|---|---|---|
| 2016 | 7月2日 | 扬沙 | 浮尘 | LL3 |
| 7月3日 | 晴 | 沙尘暴 | LL3 | |
| 7月4日 | 扬沙 | 浮尘 | LL3 | |
| 7月6日 | 沙尘暴 | 沙尘暴 | LL4 | |
| 7月7日 | 沙尘暴 | 晴 | LL2 | |
| 7月8日 | 浮尘 | 扬沙 | LL2 | |
| 7月9日 | 扬沙 | 晴 | LL3 | |
| 7月15日 | 晴 | 沙尘暴 | LL2 | |
| 7月16日 | 沙尘暴 | 沙尘暴 | LL4 | |
| 7月19日 | 沙尘暴 | 浮尘 | LL4 | |
| 7月23日 | 扬沙 | 扬沙 | LL3 | |
| 7月31日 | 沙尘暴 | 扬沙 | LL4 | |
| 2017 | 7月4日 | 沙尘暴 | 晴 | LL4 |
| 7月12日 | 沙尘暴 | 扬沙 | LL4 | |
| 7月15日 | 晴 | 扬沙 | LL2 | |
| 7月16日 | 扬沙 | 扬沙 | LL3 | |
| 7月21日 | 扬沙 | 晴 | LL2 | |
| 7月24日 | 扬沙 | 沙尘暴 | LL3 | |
| 7月25日 | 沙尘暴 | 扬沙 | LL4 | |
| 7月26日 | 扬沙 | 降水 | LL1 | |
| 7月30日 | 沙尘暴 | 扬沙 | LL3 | |
| 7月31日 | 扬沙 | 晴 | LL1 |
白天指08:00—20:00,夜间指20:00至次日08:00。
地形因素是低空急流形成的原因之一。塔克拉玛干沙漠南、西、北三面环山,分别为昆仑山、阿尔金山和天山,东为罗布泊洼地。沙漠西部和南部海拔1 200~1 500 m,而东部和北部海拔800~1 000 m,下垫面为流沙地表,可以认为整个沙漠是一个西部略微高于东部的流沙平原。沙漠高空是西风带,高空风从西吹向东,在罗布泊附近辐合下沉。近地面风从东吹向西,在沙漠西部辐合上升,所以整个沙漠近地层偏东风较多,这与探空试验4 000 m高度风向累计统计结果较为一致(图3、4)。低空急流在发展、持续过程中,02:00的急流风向是东北方向,而到了早晨08:00,风向变为偏东和东南方向(图8),说明塔克拉玛干沙漠特殊的地形对于夜间低空急流的流向有一定的影响。这说明,低空急流的形成和发展,会受到多种因素的影响,这其中惯性震荡因素是长期存在的,而地理环境因素也是长期广泛地影响一个区域低空急流的形成和发展。天气系统的强迫对低空急流的影响,在时间尺度上较前两种因素要短很多,只有在天气系统经过该区域时,才会对低空急流的形成和发展产生一定的影响。
3 结论
塔克拉玛干沙漠腹地夏季低空急流发生概率较高,2016年和2017年7月LLJ1的发生概率均为71.0%,LLJ4发生概率分别为12.9%、16.1%,急流平均风速在13.2 m·s-1,急流平均高度为424 m,低空急流风向以偏东风为主。较强的低空急流(LLJ4)的高度要高于较弱的低空急流,急流风向以东北风为主。
沙漠腹地夏季晴天低空急流形成和发展具有清晰的日变化特征,日落后发展,午夜达到最大强度,之后逐渐减弱,并于日出前后崩溃消散。低空急流风速在午夜达到最大,高度较为集中,急流风向在发展过程中逐渐向右偏转。沙尘暴天气对低空急流的发展具有促进作用,急流风速可在沙尘暴风速的基础上进一步增大,最终发展成为较强的夜间低空急流(LLJ4)。
影响塔克拉玛干沙漠夜间低空急流形成和发展的主要因素有3种,其中惯性震荡和地形因素具有长期的影响效果,而天气系统的强迫对低空急流的影响时间较短。在影响强度上,天气系统的强迫影响效果要大于惯性震荡和地形因素。
与刘华悦等[25]研究结果比较,塔克拉玛干沙漠腹地夏季低空急流变化趋势相近,急流主风向一致。但本文急流发生概率、平均风速和平均高度等定量结果大于刘华悦等的研究结果。原因有两点:①观测资料不同,刘华悦等使用的是ERA-Iterim再分析资料,本文使用的是GPS探空实测数据;②低空急流的判定方法不同,本文限定了急流风速的最小值8 m·s-1,刘华悦等的判定方法没有限定。
本文研究存在一些不足。因GPS探空试验只在塔中进行了观测,所以只针对沙漠腹地夏季进行了短期的观测,在空间范围和长时间序列上研究较为欠缺。在后续研究工作中,应结合沙漠周边地区探空站资料和再分析资料进行分析研究,深入分析塔克拉玛干沙漠夜间低空急流空间分布情况和天气系统的关系。
参考文献
An Introduction to Boundary Layer Meteorology
[M].
Boundary layer wind maxima and their significance for the growth of nocturnal inversions
[J].
The diurnal boundary layer wind oscillation above sloping terrain
[J].
Three southerly low-level jet systems delineated by the Weather Bureau Special Pibal Network of 1961
[J].
Climatology of the low level jet
[J].
Low-level jet climatology from enhanced Rawinsonde observations at a site in the Southern Great Plains
[J].
Low-level atmospheric jets and inversions over the Western Weddell Sea
[J].
Influence of the Great Plains low-level jet on summer time precipitation and moisture transport over the central United States
[J].
The low-level jet over the Southern Great Plains determined from observations and reanalyses and its impact on moisture transport
[J].
暴雨和强对流天气的研究
[J].
Comparison of low-level jets along the north coast of China in summer
[J].
环渤海地区低空急流的时空分布特征
[J].
基于NCEP FNL资料的环渤海地区低空急流的时空分布特征
[J].
黄土高原复杂地形上边界层低空急流对近地层湍流的影响
[J].
北京夏季夜间低空急流特征观测分析
[J].
塔克拉玛干沙漠夏季晴空对流边界层大涡模拟
[J].
塔克拉玛干沙漠北缘夏季典型晴天近地层湍流能谱特征
[J].
塔克拉玛干沙漠腹地塔中地区大气气溶胶散射系数影响因子
[J].
Taklimakan desert carbon-sink decreases under climate change
[J].
Taklimakan Desert nocturnal low-level jet:climatology and dust activity
[J].
/
| 〈 |
|
〉 |

甘公网安备 62010202000688号