小波包分解与多个机器学习模型耦合在风速预报中的对比 |
| 王同亮, 马绍休, 高扬, 宫毓来, 安志山 |
|
The hybrid of wavelet packet decomposition and machine learning models in wind speed forecasting |
| Tongliang Wang, Shaoxiu Ma, Yang Gao, Yulai Gong, Zhishan An |
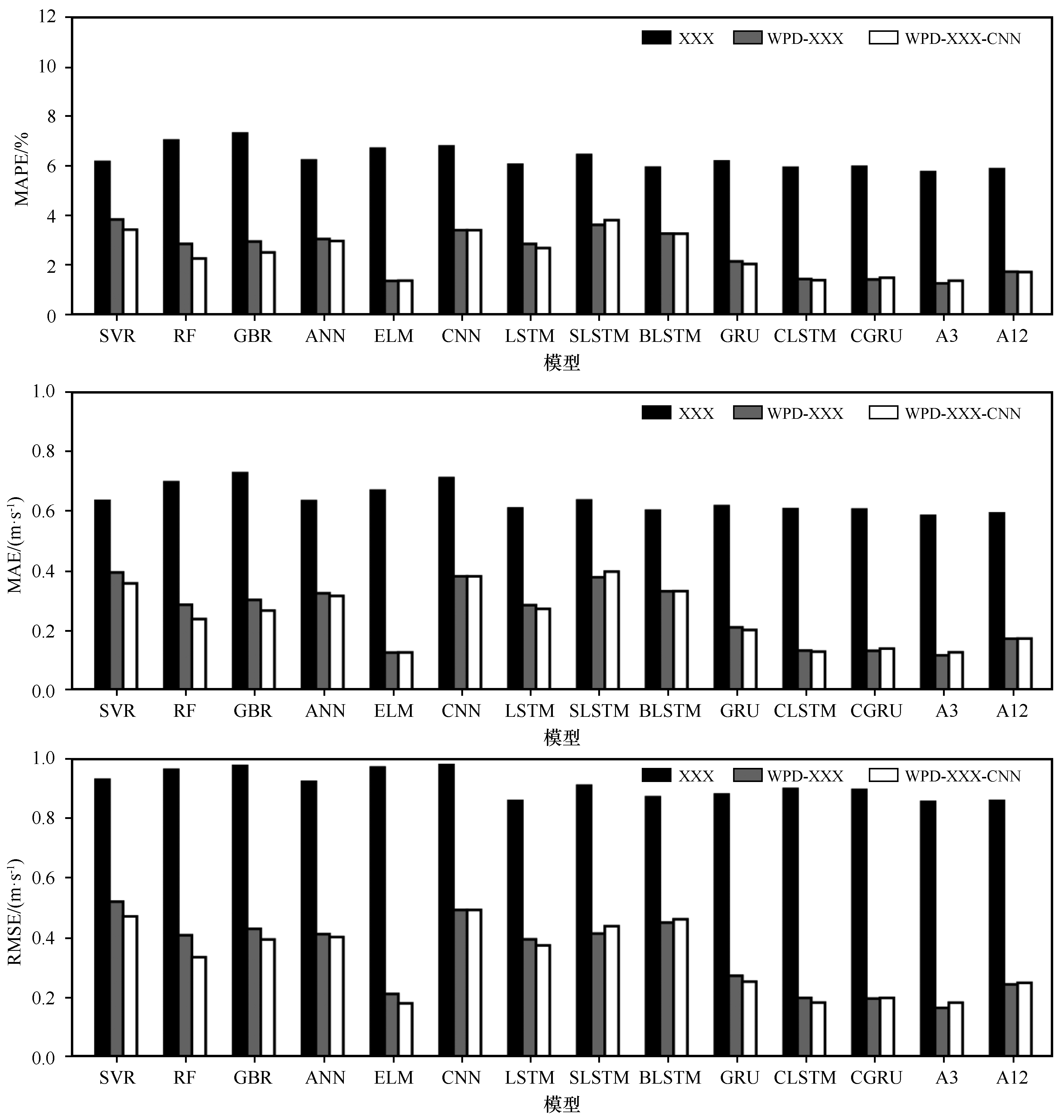
| 图5 戈壁下垫面3种模型预报精度 A3为3个较好模型平均值,A12为12个模型平均值 |
| Fig.5 The forecast accuracy of three kinds of models in gobi (A3 is the average of three better models, and A12 is the average of all the 12 models) |
|