西藏雅鲁藏布江流域典型沙漠区生态修复植物群落物种多样性
1.
2.
3.
4.
5.
Species diversity of ecological restoration plant communities in typical desert areas of the Brahmaputra River Basin in Tibet
1.
2.
3.
4.
5.
通讯作者:
收稿日期: 2021-07-22 修回日期: 2021-09-03
| 基金资助: |
|
Received: 2021-07-22 Revised: 2021-09-03
作者简介 About authors
常学向(1968—),男,甘肃高台人,博士,研究员,主要从事干旱区生物多样性、恢复生态和生态水文研究E-mail:
关键词:
Keywords:
本文引用格式
常学向, 陈怀顺, 李志刚, 张红萍.
Chang Xuexiang, Chen Huaishun, Li Zhigang, Zhang Hongping.
0 引言
物种多样性是生物多样性在物种水平上的表现形式,是影响生态系统功能和稳定性的重要因素[1-3]。生物多样性的变化可以通过改变群落组成和结构、关键种的缺失以及改变物种对环境资源的利用方式等来影响生态系统功能[4-6]。开展物种多样性的定量研究,对确定群落类型、评价生境质量、判断群落发展阶段和生态系统的稳定性具有重要意义[7-8]。但由于生态生境的复杂多样,有关生物多样性的研究多局限于物种多样性及其影响因素、生物多样性的变化对生态系统功能的影响研究。在群落物种多样性的研究方面,主要开展了干旱半干旱地区草地[7,9-15]、高寒地区草地[16-19]植物群落的物种多样性特征研究。而对于植物群落物种组成、多样性影响因素的研究方面,主要研究了降水量或者干旱[10-11]、海拔[17-19]、地下水位变化及空间分布[13-14]、径流变化特征[15]及生态调水[16]、人类活动[20]等因素对生物多样性的影响。对于生物多样性的变化对生态系统功能的影响研究方面目前存在许多争议。Tilman等[21-22]在天然草原和弃荒地的试验也说明物种多样性对于维持生产力水平的作用明显。Huston等[23]发现植物多样性对生产力的影响存在差异,然而这种差异并不是物种多样性的增加造成的。Gabara等[24]发现生物多样性的丧失导致了营养复杂性的降低。赵丽娅等[25]对科尔沁沙地植被恢复演替进程中物种多样性与地上生物量的关系进行研究,发现中等生产力水平物种多样性较高。因此,对于生物多样性的变化对生态系统功能的影响研究仍需要深入探索。
1 研究方法
1.1 研究区概况
山南市全国防沙治沙综合示范区(29°22.0′—29°24.5′、91°24.5′—91°37.5′,海拔3 550—3 600 m,图1)地处雅鲁藏布江中游北岸。山南市全国防沙治沙综合示范区是目前西藏唯一的地区级全国防沙治沙综合示范区,涉及山南市扎囊县和乃东区,示范区西起山南市扎囊县松卡村,东至扎囊县桑耶镇与乃东区颇章乡交界处,是山南市严重沙化土地的集中分布区,流沙从山地到河漫滩分别以爬升沙丘、网状沙丘、新月形沙丘链、新月形沙丘等多形态存在。2005年经国家林业局批准建立,至2020年综合示范区已经经历了15年的建设期,完成投资1 470万元,实施防沙治沙面积逾3 000 hm2。
图1
图1
西藏山南市全国防沙治沙综合示范区
Fig.1
National Comprehensive Demonstration Area for Desertification Control and Prevention in Shannan City
综合示范区属高原温带半干旱季风气候区,1981—2016年多年平均日照时数3 092.3 h,多年平均气温8.4 ℃,极端最高气温30 ℃,极端最低气温-18.5 ℃,气温日较差14.4 ℃,>0 ℃年有效积温2 766 ℃。多年平均降水量419.7 mm,集中在6—9月,占全年降水量的85%。多年平均无霜期135 d。冬春季多风沙,年均大风(≥8级)日数为73.7 d。地带性土壤为山地灌丛草原土,在河漫滩、一级阶地、冲积扇以钙质石质土、沙壤土为主。
1.2 研究方法
1.2.1 样地调查
采用样方法进行野外调查。调查时间为2020年7—8月。在西藏山南全国防沙治沙综合示范区选取20个生物固沙典型地段,沿着沙漠边缘向中心地带依次设置调查样地20个。每个调查样地面积20 m×30 m。调查时,乔木物种在整个样地展开;对于灌木物种,把20 m×30 m样地划分成5 m×5 m的4个小样地进行;对于草本物种,是在20 m×30 m 样地的两条对角线的1/4、1/2和3/4处布设5个1 m×1 m小样方进行。对于样地内的所有植物,调查生物固沙区植物的种类、数量、高度、冠幅、盖度、生活型等指标。
1.2.2 分析方法
式中:H为Shannon-Wiener信息多样性指数;ni为第i个种的个体数目;N为群落中所有个体数目总和。
式中:D为Simpson指数。
这两个指数的优点在于它们同时考虑了种数和各个种的相对多度。当各个种的个体数目相等时,种数越多,H和D值越大;而种数相等时,种间的均匀度越高,H和D值越高。
西藏山南全国防沙治沙综合示范区物种均匀度(Jsw)采用生态学上常用的Pielou指数计算。
式中:S为样地中的物种数。
1.2.3 差异显著性检验
采用双总体t检验检验各个样地间的生长状况、生物多样性的差异是否显著。
2 研究结果
2.1 固沙植物物种丰富度及生活型
在山南全国防沙治沙综合示范区,植物丰富度较低,仅有34种,分别从属于菊科(Compositae)、豆科(Leguminosae)、禾本科(Gramineae)、藜科(Chenopodiaceae)、杨柳科(Salicaceae)、桑科(Moraceae)、大戟科(Euphorbiaceae)、柽柳科(Tamaricaceae)、芍药科(Paeoniaceae)、胡颓子科(Elaeagnaceae)、榆科(Ulmaceae)、松科(Pinaceae)、茄科(Solanaceae)、旋花科(Convolvulaceae)14科的27属(表1)。在山南国家防沙治沙综合示范区植物群落,植物种生活型有一年生草本植物、二年生草本或一年生草本、多年生草本植物、半灌木、灌木、乔木植物及1年生寄生植物,其中一年生草本植物5种、二年生草本或一年生草本植物3种、多年生草本植物6种、半灌木有1种、灌木或者小灌木植物11种、乔木或小乔木7种、1年生寄生植物1种,分别占综合示范区所有植物种的14.70%、8.82%、17.65%、35.29%、20.59%和2.94%。
表1 综合示范区植物群落物种组成
Table 1
| 编号 | 科 | 属 | 种 | 生活型 |
|---|---|---|---|---|
| 1 | 菊科(Compositae) | 蒿属 | 藏沙蒿(Artemisia wellbyi) | 半灌木 |
| 2 | 沙蒿(Artemisia desertorum) | 多年生草本 | ||
| 3 | 苦苣菜属 | 苦苣菜(Sonchus oleraceus) | 一年生或二年生草本 | |
| 4 | 豆科(Leguminosae) | 岩黄耆属 | 花棒(Hedysarum scoparium.) | 灌木 |
| 5 | 黄耆属 | 黄耆(Astragalus propinquus) | 多年生草本 | |
| 6 | 沙打旺(Astragalus adsurgens) | 多年生草本 | ||
| 7 | 草木犀属 | 草木樨(Melilotus officinalis) | 二年生草本 | |
| 8 | 白花草木犀(Melilotus albus) | 二年生草本 | ||
| 9 | 锦鸡儿属 | 柠条锦鸡儿(Caragana korshinskii) | 灌木 | |
| 10 | 槐属 | 砂生槐(Sophora moorcroftiana) | 灌木 | |
| 11 | 棘豆属 | 毛瓣棘豆(Oxytropis sericopetala) | 多年生草本 | |
| 12 | 紫穗槐属 | 紫穗槐(Amorpha fruticosa) | 灌木 | |
| 13 | 禾本科(Gramineae) | 狼尾草属 | 白草(Pennisetum centrasiaticum) | 多年生草本 |
| 14 | 固沙草属 | 固沙草(Orinus thoroldii) | 多年生草本 | |
| 15 | 藜科(Chenopodiaceae) | 虫实属 | 藏虫实(Corispermum tibeticum) | 一年生草本 |
| 16 | 藜属 | 香藜(Chenopodium botrys) | 一年生草本 | |
| 17 | 白藜(Chenopodium album) | 一年生草本 | ||
| 18 | 沙蓬属 | 沙米(Agriophyllum squarrosum) | 一年生草本 | |
| 19 | 杨柳科(Salicaceae ) | 杨属 | 北京杨(Populus × beijingensis) | 落叶乔木 |
| 20 | 新疆杨(Populus alba var. pyramidalis) | 落叶乔木 | ||
| 21 | 柳属 | 沙柳(Salix cheilophila) | 灌木或小乔木 | |
| 22 | 杞柳(Salix integra) | 灌木 | ||
| 23 | 细叶小红柳(Salix microstachya) | 灌木 | ||
| 24 | 桑科(Moraceae) | 桑属 | 桑(Morus alba) | 落叶乔木或灌木 |
| 25 | 大戟科(Euphorbiaceae) | 大戟属 | 千根草( Euphorbia thymifolia) | 一年生草本 |
| 26 | 柽柳科(Tamaricaceae) | 柽柳属 | 柽柳(Tamarix chinensis) | 乔木或灌木 |
| 27 | 水柏枝属 | 泽当水柏枝(Myricaria elegans) | 灌木 | |
| 28 | 芍药科(Paeoniaceae) | 芍药属 | 牡丹(Paeonia suffruticosa) | 灌木 |
| 29 | 胡颓子科(Elaeagnaceae) | 沙棘属 | 沙棘(Hippophae rhamnoides) | 灌木 |
| 30 | 胡颓子科属 | 沙枣(Elaeagnus angustifolia) | 落叶乔木 | |
| 31 | 榆科(Ulmaceae) | 榆属 | 榆树(Ulmus pumila) | 落叶乔木 |
| 32 | 松科(Pinaceae) | 松属 | 樟子松(Pinus sylvestris var. mongolica) | 常绿乔木 |
| 33 | 茄科(Solanaceae) | 枸杞属 | 中华枸杞(Lycium chinense) | 灌木 |
| 34 | 旋花科(Convolvulaceae) | 菟丝子属 | 菟丝子(Cuscuta chinensis) | 一年生寄生草本 |
2.2 固沙植被生长特征
山南全国防沙治沙综合示范区固沙植被盖度的最小值为16.7%,最大值为52.5%(图2),平均31.6%±13.1%;综合示范区固沙植物的生长高度17.8—105.0 cm,平均41.2±19.9 cm,样地的固沙植物生长高度差异性不显著(P>0.05)。
图2
图2
综合示范区固沙植被生长状况
Fig.2
Growth status of sand fixation vegetation in National Comprehensive Demonstration Area for Desertification Control and Prevention
综合示范区固沙植物的生长密度0.5—17.93株·m-2(图2),平均4.6±4.7株·m-2,样地的固沙植物生长密度差异性不显著(P>0.05)。
2.3 固沙植物群落的物种多样性及均匀度
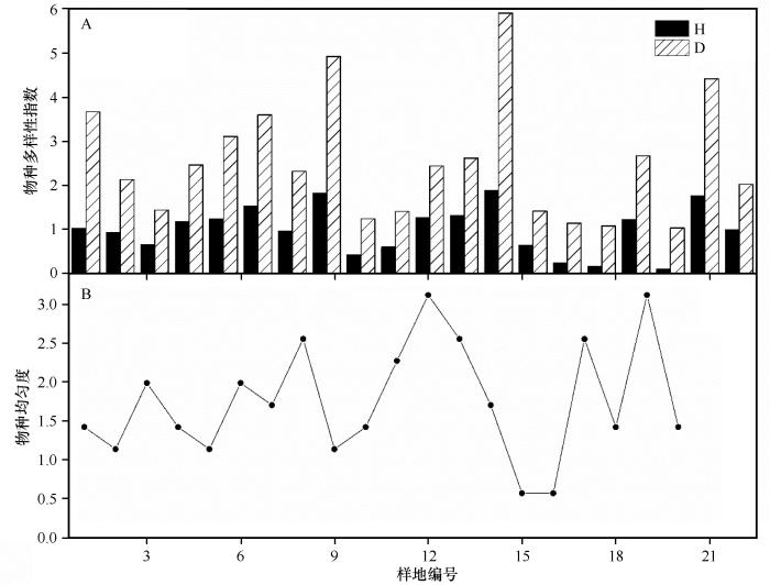
山南全国防沙治沙综合示范区的植物群落物种多样性H指数0.09—1.88,平均0.99±0.54;物种多样性D指数1.03—5.90,平均为2.55±1.37(图3)。两指数在样地间差异均不显著(P>0.05)
图3
图3
综合示范区植物群落物种多样性与均匀度
Fig.3
Species diversity and evenness of plant communities in National Comprehensive Demonstration Area for Desertification Control and Prevention
山南全国防沙治沙综合示范区固沙植物群落的物种均匀度的值0.57—3.12,平均1.76±0.75,样地的物种均匀度不存在显著差异(P>0.05)。
2.4 优势固沙植物种
将调查样地内固沙植物种出现的频率按照大小顺序进行排序,出现频率排在调查样地内固沙植物种前2位的固沙植物种见表2。
表2 综合示范区调查样地优势植物种
Table 2
| 样地编号 | 种(频率) | 样地编号 | 种(频率) | ||
|---|---|---|---|---|---|
| 1 | 花棒(54.1%) | 藏沙蒿(44.2%) | 样地11 | 桑(62.8%) | 花棒(17.5%) |
| 2 | 藏沙蒿(100.0%) | 样地12 | 藏沙蒿(58.0%) | 沙打旺(26.9%) | |
| 3 | 花棒(82.5%) | 藏沙蒿(12.3%) | 样地13 | 沙打旺(38.9%) | 沙柳(36.8%) |
| 4 | 沙蒿(72.4%) | 沙打旺(12.4%) | 样地14 | 花棒(94.2%) | 细叶柳(4.3%) |
| 5 | 花棒(50.0%) | 沙蒿(50.0%) | 样地15 | 花棒(100.0%) | — |
| 6 | 花棒(51.7%) | 沙蒿(27.2%) | 样地16 | 花棒(100.0%) | — |
| 7 | 藏沙蒿(48.9%) | 沙打旺(43.8%) | 样地17 | 藏沙蒿(54.7%) | 桑(39.5%) |
| 8 | 藏沙蒿(35.5%) | 新疆杨(27.4%) | 样地18 | 桑(99.8%) | 沙柳(0.2%) |
| 9 | 藏沙蒿(89.7%) | 黄耆(5.8%) | 样地19 | 桑(52.4%) | 花棒(25.2%) |
| 10 | 藏沙蒿(97.9%) | 花棒(2.1%) | 样地20 | 藏沙蒿(92.4%) | 黄耆(6.7%) |
调查样地内固沙植物生长密度最多的植物种有藏沙蒿、花棒、沙蒿、沙打旺和桑,其中藏沙蒿的生长密度占样地内植物生长密度出现最多频率的样地达到8个,其频率分别为100%、48.9%、35.5%、89.7%、97.9%、58.0%、54.7%和92.4%,平均为72.1%;花棒的生长密度占样地内植物生长密度出现最多频率的样地达到7个,频率分别为54.1%、82.5%、50.0%、51.7%、92.4%、100.0%和100.0%,平均为75.8%;沙蒿的生长密度占样地内植物生长密度出现最多频率的样地只有1个,频率为72.4%;沙打旺的生长密度占样地内植物生长密度出现最多频率的样地只有1个,其频率为38.9%;桑的生长密度占样地内植物生长密度出现最多频率的样地达到3个,其频率分别为62.8%、99.8%和52.4%,平均为71.7%。调查样地内固沙植物种的生长密度占样地内植物生长密度次多的植物种有藏沙蒿、花棒、沙蒿、沙打旺、新疆杨、黄耆、沙柳、细叶柳和桑(表2),其中藏沙蒿的生长密度占样地内植物生长密度次多的样地有2个,其频率分别为44.2%、12.3%,平均为28.3%;花棒的生长密度占样地内植物生长密度次多的样地有3个,其频率分别为2.1%、17.5%和25.2%,平均为14.9%;沙蒿的生长密度占样地内植物生长密度次多的样地2个,其频率分别为50.0%、27.2%,平均为38.6%;沙打旺的生长密度占样地内植物生长密度次多的样地3个,其频率分别为12.4%、43.8%和26.9%,平均为27.7%;新疆杨的生长密度占样地内植物生长密度次多的样地1个,其频率为27.4%;黄耆的生长密度占样地内植物生长密度次多的样地2个,其频率分别为5.8%、6.7%,平均为6.3%;沙柳的生长密度占样地内植物生长密度次多的样地2个,其频率分别为36.8%、0.2%,平均为18.5%;细叶柳的生长密度占样地内植物生长密度次多的样地1个,其频率为4.3%;桑的生长密度占样地内植物生长密度次多的样地1个,其频率为39.5%。综合显示,调查样地内固沙植物种的生长密度占样地内植物生长密度最多的植物种出现的频率从大到小依次为花棒、沙蒿、藏沙蒿、桑和沙打旺,出现频率分别为75.8%、72.4%、72.1%、71.7%和38.9%;调查样地内固沙植物种的生长密度占样地内植物生长密度次多的植物种出现的频率从大到小依次为桑、沙蒿、藏沙蒿、沙打旺、新疆杨、沙柳、花棒、黄耆和细叶柳,其出现频率分别为39.5%、38.6%、28.3%、27.7%、27.4%、18.5%、14.9%、6.3%和4.3%。因此,在山南全国防沙治沙综合示范区占优势的固沙植物种分别是花棒、沙蒿、藏沙蒿、桑和沙打旺。
3 讨论
青藏高原独特的地理环境和气候条件,使该区域成为具有全球意义的脆弱生态系统[30]。因此,研究该区域的物种多样性的格局与变化具有重要意义,特别是对该区域生态恢复区的物种多样性研究。山南全国防沙治沙综合示范区的植物丰富度较低,仅有34种,其中乔木、灌木、半灌木植物种占到了55.88%,这与巴丹吉林沙漠周边自然分布的植物种的数量相接近[7]。物种多样性可以反映固沙植被生态系统的基本状况,多样性增加有助于系统稳定健康发展。山南全国防沙治沙综合示范区植物群落物种多样性H指数0.09—1.88,平均0.99±0.54;物种多样性D指数1.03—5.90,平均2.55±1.37,这与其他低海拔区荒漠植物群落物种多样性的研究结果比较一致[7,30-31]。王蒙等[7]对巴丹吉林沙漠周边植被的物种多样性H指数的研究发现其H指数为0—2.21,D指数0.39—0.80,无论是物种多样性还是D指数均存在显著差异。张锦春等[31]对库姆塔格沙漠南缘荒漠植物群落物种多样性的研究发现其物种H多样性指数0.079—1.71,司建华等[32]对阿拉善雅布赖风沙区荒漠植物群落结构和物种多样性的研究发现其物种多样性H指数0.23—1.06。但山南全国防沙治沙综合示范区地处低纬度高海拔地区,气候寒冷干燥,生态环境脆弱,年均大风日数27.5—90.7 d[33];蒸散906.86—1 050.92 mm[34],环境条件恶劣可能是造成山南全国防沙治沙综合示范区植物群落物种多样性较低的原因,至于哪个环境因素主导,还需要进一步的研究。
测度生物多样性的方法和公式较多[35],如Shannon多样性指数、Shannon-Wiener多样性指数、Brillouin 多样性指数、等级多样性(Hierarchical diversity)等,同时还涉及到不同测量依据参数的选取及群落类型的划分。研究者多采用植物群落的物种高度、盖度、密度、频度、优势度指数、生物量及其重要值等进行群落层次上物种多样性分析[7,9,11,17-19,25,31-32]。但由于植物类型和环境的多样性、研究的尺度的差异,物种多样性的计算结果也存在一定的差异,而对于荒漠区的植物群落的物种多样性H指数的计算结果却大多都低于2.0[7,31-32]。对于山南全国防沙治沙综合示范区植物群落物种多样性的研究我们采用频度指标计算,计算的结果与低海拔荒漠区的研究结果比较一致,具有典型的荒漠区植物群落物种多样性的特征。有些研究在研究防沙治沙区的植被群落物种多样性时分别考虑了乔木层、灌木层和草本层的物种多样性[31-32,36],结果显示各个层的物种多样性指数变化趋势存在差异。尽管山南全国防沙治沙综合示范区采用乔、灌、草结构治理沙漠化土地,但在研究其植物群落的物种多样性时,没有考虑分层处理物种多样性的信息。
Rey Benayas等[37]对全球89个生态恢复系统的meta分析表明,生态恢复的生物多样性增加了44%,促使生态系统服务功能增加了25%,以增强生物多样性为重点的恢复行动应支持生态系统服务的增加,特别是热带陆地生物群落。西藏山南市全国防沙治沙综合示范区的沙化土地治理主要选择藏沙蒿、花棒、桑、沙打旺和沙蒿植物种为优势固沙植物种,使得沙化土地的植物群落物种多样性H指数从0增加到0.99±0.54,植被盖度从0增加到31.6%±13.1%,改善了当地的生态环境,相应地增强了当地的生态系统的服务功能,但增加的生态系统服务功能的程度怎样还需要进一步的研究。
西藏山南全国防沙治沙综合示范区固沙植物群落的植被生长特征、物种多样性及均匀度经过T检验分析均不存在显著的差异,说明综合示范区的固沙植物生长状况差异不大。但在不同的防沙治沙区域,其占优势的固沙植物种是不同的(表2)。从表2知,藏沙蒿、花棒、桑、沙蒿和沙打旺为占优势的固沙植物种,其生长密度占优势的样地分别达到了8、7、3、1、1个。因此,藏沙蒿、花棒、桑、沙蒿和沙打旺植物对西藏山南的防沙治沙起了重要作用。然而,藏沙蒿、花棒、桑、沙打旺和沙蒿植物虽然使西藏山南市全国防沙治沙综合示范区的沙化土地的生态环境的治理和恢复中扮演了重要角色,但藏沙蒿、花棒、沙打旺和沙蒿均为固沙先锋植物,虽然在流动沙丘上容易定居、生长快,容易集中连片分布,能够控制风沙流活动,固定流动沙丘,防止风蚀,但这些固沙先锋植物群落也容易退化,应该考虑适度增加一些生长周期长、不易退化的植物,如樟子松、油松、兴安落叶松、新疆落叶松、胡杨等植物,以达到长期恢复生态的目的。
4 结论
西藏山南市全国防沙治沙综合示范区的植物有34种,分属14科的27属,生活型有一年生草本植物、二年生草本或一年生草本、多年生草本植物、半灌木、灌木、乔木植物及1年生寄生植物,分别占综合示范区所有植物种的14.70%、8.82%、17.65%、35.29%、20.59%和2.94%;固沙植物种藏沙蒿、花棒、桑、沙打旺和沙蒿占优势地位。
综合示范区固沙植被盖度16.7%—52.5%,平均31.6%±13.1%;固沙植物的生长高度17.8—105.0 cm,平均41.2±19.9 cm;植物的生长密度0.5—17.93株·m-2,平均4.6±4.7株·m-2。
综合示范区的植物群落物种多样性H指数0.09—1.88,平均0.99±0.54;物种多样性D指数1.03—5.90,平均为2.55±1.37;物种均匀度的值0.57—3.12,平均1.76±0.75。
参考文献
Biodiversityproductivity relationships in small-scale mixed-species plantations using native species in Leyte province,Philippines
[J].
Global biodiversity,stoichiometry and ecosystem function responses to human-induced C-N-P imbalances
[J].
Hidden treatments in ecological experiments:re-evaluating the ecosystem function of biodiversity
[J].
Causes,consequences and ethics of biodiversity
[J].
Overyielding in grassland communities:testing the sampling effect hypothesis with replicated biodiversity experiments
[J].
黑河下游地下水位变化特征及其原因
[J].
藏北高寒草地植物群落物种多样性沿海拔梯度的分布格局
[J].
Biodiversity and stability in grasslands
[J].
Productivity and sustainability influenced by biodiversity in grassland ecosystems
[J].
No consistent effect of plant diversity on productivity
[J].
Biodiversity loss leads to reductions in community-wide trophic complexity
[J].
Indications for monitoring biodiversity:a hierarchical approach
[J].
Measurement of species diversity
[J].
Enhancement of biodiversity and ecosystem services by ecological restoration:a meta-analysis
[J].
/
| 〈 |
|
〉 |

甘公网安备 62010202000688号