腾格里沙漠沙丘沉积物粒度特征及其空间差异
1.
2.
3.
4.
Grain size characteristics of dune sands and spatial variation in the Tengger Desert
1.
2.
3.
4.
通讯作者:
收稿日期: 2022-01-17 修回日期: 2022-03-29
| 基金资助: |
|
Received: 2022-01-17 Revised: 2022-03-29
作者简介 About authors
古拉依赛木·艾拜都拉(1995—),女,新疆阿克苏人,硕士研究生,研究方向为自然地理与资源环境E-mail:
关键词:
Keywords:
本文引用格式
古拉依赛木·艾拜都拉, 张峰, 吴枫, 吴世新, 郑江华, 孙涛.
Gulayisaimu Aibaidoula, Zhang Feng, Wu Feng, Wu Shixin, Zheng Jianghua, Sun Tao.
0 引言
腾格里沙漠总面积为4.2万km2 ,是中国的第四大沙漠[1,12]。前人针对腾格里沙漠沉积物的粒度特征、风沙过程、沙漠形成演化等方面做了大量工作。哈斯等[13-14]、李超等[15]分别采用筛析法(间隔1/3 Φ)和激光粒度仪法测得沙漠东南缘通湖山以南孟家湾至迎水桥一带的格状沙丘(深度0—3 cm)、沙坡头附近的新月形沙丘(深度0—3 cm)和横向沙丘(深度0—1 cm)沉积物的粒度参数特征,发现沙漠东南缘沙丘沙粒均以细沙为主,分选极好至较好,粒径频率分布曲线大致呈近对称至正偏。Zhang等[1]用筛析法进行研究,发现腾格里沙漠西南缘与东南缘格状沙丘(深度0—1 cm)粒度特征存在差异,西南缘以极细沙和细沙为主,分选极好至好,频率分布曲线偏度为近对称至正偏,而沙漠东南缘以细沙和中沙为主,分选好,偏度呈负偏、近对称和正偏。李再军[16]使用激光粒度仪进行研究,发现腾格里沙漠中部风成沙样品粒径呈正态单峰分布,众数粒径2—3 Φ,细粒极少。庞红丽等[17]通过筛析法进行研究,发现沙漠北缘沙丘沙(深度5—10 cm)从物源区向沉积区粒度逐渐变小,分选依次变好。根据以上工作,可以认为腾格里沙漠的沉积物粒径频率公布曲线大致呈单峰,以细沙为主,同时在空间上存在一定程度的分异。但目前这些工作多限于沙漠局部地区或某种类型的沙丘,而对整个沙漠内部沉积物在空间上的分布特征认识有待分布更广的数据支撑。本文拟增加沙漠整体的采样密度,探讨腾格里沙漠沙丘顶部表沙的粒度参数和空间分布特征,以期为区域分异及其可能原因研究提供基础资料。
1 研究区域概况
腾格里沙漠位于中国西北部阿拉善荒漠地区的东南部,东为贺兰山山前平原,西为雅布赖山脉,西南邻祁连山山前冲洪积扇前缘[12]。在地质构造上,该区为一断陷盆地,其上覆盖大量细沙及黏土状第四系冲洪积沉积物、湖相沉积物和风沙沉积物[16,18]。由于地处中国西风区和东亚季风区的交汇处[1,19],沙区气候干旱,年均气温7.5—9.2 ℃,年降水量90—190 mm,并均自西北向东南递增[20-21]。该地区存在多条发源于祁连山依靠冰雪融水补给的季节性河流,并自南部流入沙漠[22]。石羊河是其中重要的一条河流,下游是民勤绿洲,绿洲中部是狭长而平坦的半封闭的荒漠区[23],下伏沉积物为石羊河下游冲积、湖积物。腾格里沙漠内部分布着沙丘(71%)、湖盆(7%)和山地、残丘及平原(22%)。沙丘中,流动型沙丘占93%,固定、半固定沙丘仅占7%[16]。沙丘类型多样,以格状沙丘和新月形沙丘链为主,有格状沙丘、新月形沙丘和沙丘链、沙垄、梁窝状沙丘、复杂横向沙丘(或沙山)、金字塔沙丘和草灌丛沙堆等[12](图1)。沙漠地势从南到北逐渐变低,西南部分布着大量南北走向的沙垄,除丘顶为流沙外,丘间低地均为沙土质,并被植被覆盖。沙漠中部多分布南北走向、平行排列的湖泊,沙漠西南部零散分布的湖盆多呈不规则状,沙漠东北地区的湖盆则多位于复杂横向沙丘(或沙山)之间的洼地[24]。
图1
2 样品采集与研究方法
2019年5月在研究区用套筒法采集不同沙丘顶部(0—15 cm)的45个样品(图1)。粒度测定使用筛析法在新疆大学绿洲生态教育部重点实验室完成。首先称取30 g样品,置于500 mL烧杯,加入200 mL浓度为30%的H2O2去除有机质;反应停止后,向烧杯中加入200 mL浓度为10%的HCl,静止24 h,以去除沉积物中的碳酸盐;去离子水洗至中性后,将样品烘干、称重并记录。最后使用1/4 Φ间隔的美国泰勒套筛、德国RETSCH公司生产的AS200型振筛仪测定粒度,频率150 Hz、时长15 min。
以6 m·s-1为站点10 m高度的起沙风速[25-26],统计出研究区周围4个气象站30 a(1988—2017年)的盛行起沙风向、频率和输沙势(DP)。气象数据来自于国家气象数据中心(
3 结果与分析
3.1 起沙风和输沙势
据1988—2017年的统计资料,沙漠西北部、南部、东南部和东北部4个气象站点的全年起沙风出现频率比例分别为40.55%、27.14%、48.67%和39.84%,起沙风频率记录最多的是中卫,最少的是景泰(表1)。沙漠西北部民勤气象站主次风向分别为西西北和西北,沙漠南部景泰气象站主次风向分别为北西北和西西北,沙漠东南部中卫气象站主次风向分别为西西北和东,沙漠东北部阿拉善左旗气象站主次风向分别为北西北和东南。可认为,研究区主要受西北风和东风的控制。
表1 1988—2017年腾格里沙漠各站起沙风频率(%)
Table 1
| 站名 | 风向 | 合计 | |||||||||||||||
|---|---|---|---|---|---|---|---|---|---|---|---|---|---|---|---|---|---|
| N | NNE | NE | ENE | E | ESE | SE | SSE | S | SSW | SW | WSW | W | WNW | NW | NNW | ||
| 民勤 | 0.56 | 0.44 | 0.42 | 0.84 | 2.41 | 3.90 | 0.93 | 0.16 | 0.16 | 0.16 | 0.30 | 0.45 | 2.36 | 13.47 | 10.14 | 3.84 | 40.55 |
| 景泰 | 1.99 | 0.99 | 0.00 | 0.00 | 0.00 | 0.70 | 1.68 | 2.14 | 1.89 | 1.53 | 0.00 | 0.40 | 1.74 | 5.43 | 3.00 | 5.65 | 27.14 |
| 中卫 | 0.85 | 1.46 | 0.57 | 1.29 | 10.37 | 5.09 | 1.25 | 0.92 | 0.45 | 0.28 | 0.31 | 0.76 | 2.61 | 12.40 | 8.99 | 1.07 | 48.67 |
| 阿拉善左旗 | 4.38 | 5.11 | 1.45 | 0.92 | 0.67 | 4.51 | 5.72 | 2.42 | 1.13 | 2.33 | 0.53 | 0.22 | 0.93 | 1.95 | 1.15 | 6.42 | 39.84 |
沙漠西北部DP为252.62 VU,属中风能环境(200—399 VU),RDP为207.65 VU,RDP/DP为0.81,属低变率(>0.8),风况属单峰型。沙漠南部DP为95.13 VU,属低风能环境(<200 VU),RDP为51.46 VU,RDP/DP为0.54,属中变率(0.30—0.80),风况属双峰型。沙漠东南部DP为211.04 VU,属中风能环境(200—399 VU),RDP为105.35 VU,RDP/DP为0.50,属中变率(0.30—0.80),风况属双峰型。沙漠东北部DP为239.11 VU,属中风能环境(200—399 VU),RDP为65.59 VU,RDP/DP为0.27,属高变率(<0.30),风况属复杂型。西北部、南部和东南部气象站点RDD 120.28°—131.59°,说明合成输沙方向以西北方向为主,而东北部合成输沙方向(221.82°)以东北方向为主,RDP/DP自西北向南、东南和东北逐步变小,东北部呈最小,风向变为复杂(图1)。与Zhang等[29]测得的2010年单个年份西北部输沙势相比,本文多年平均数据显得偏低,原因可能在于前者观测位置在戈壁,而本文气象站点位于民勤县内。
3.2 粒度总体特征
腾格里沙漠沉积物机械组成中,细沙(2—3 Φ)含量71.39%±17.65%,中沙(1—2 Φ)含量19.77%±18.62%,二者平均含量合计为91.16%,极细沙(3—4 Φ)和粉沙(4—8 Φ)平均含量合计为8.59%,极粗沙(-1—0 Φ)和粗沙(0—1 Φ)平均含量合计为0.25%,含量极小。可见,腾格里沙漠沙主要由细沙-中沙组成(图2A)。李恩菊[30]采用激光粒度仪法测定的深度0—1 cm的表沙样品以中沙(45.58%)和细沙(45.55%)为主,粗沙(4.83%)和极细沙(3.28%)次之,沉积物总体偏粗,与本文结果稍有差别。腾格里沙漠沉积物粒径频率曲线多为单峰,峰值粒径1—3.75 Φ,平均值曲线峰值对应的粒径为2.75 Φ,沙漠边缘的少数样品出现双峰或多峰分布(图2B)。
图2
图2
腾格里沙漠风成沙粒级组分特征(A)和粒度分布曲线(B)
Fig.2
Grain size composition (A) and grain size frequency curves (B) of aeolian sands in the Tengger Desert
图3
图3
腾格里沙漠风成沙平均粒径(A)、分选系数(B,按分选性不同分为3个区域)、偏度(C)、峰度(D)空间分布
Fig.3
Spatial distribution of grain size parameters of aeolian sands in the Tengger Desert (A:mean grain size; B:sorting coefficient (three regions with different sorting); C:skewness; D:kurtosis)
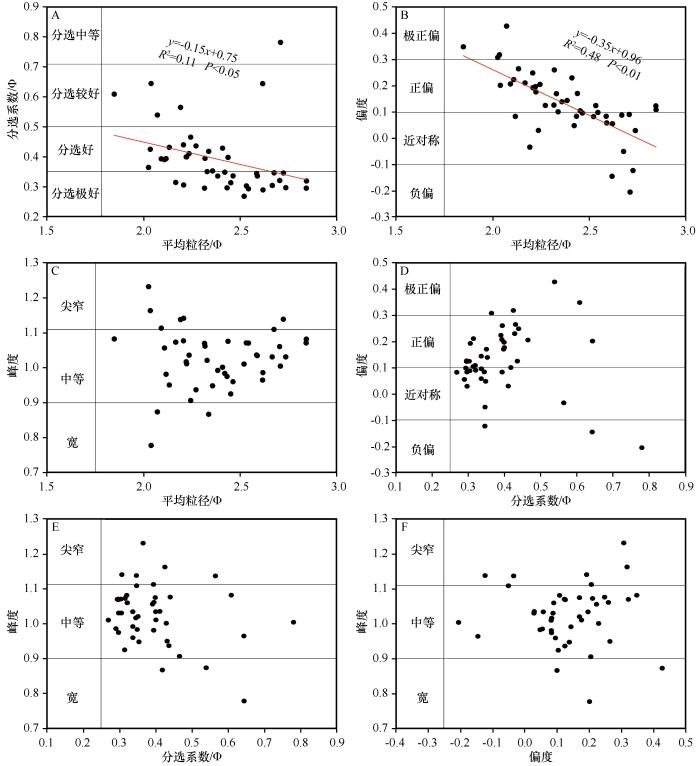
腾格里沙漠沉积物大多随着沙粒变细而分选性变好,呈现出显著的线性相关(R2=0.11,P<0.05),且平均粒径在2.25—2.75 Φ的沉积物分选性最好(图4A)。平均粒径与偏度呈良好的线性关系(R2=0.48,P<0.01),随着样品平均粒径变小,偏度从极正偏趋于近对称,甚至变为负偏(图4B)。分选系数和偏度均随着粒径变小而变小,这一趋势与Zhang等[1]、哈斯等[14]、庞红丽等[17]和李恩菊[30]在该沙漠得到的结论基本一致。而分布于沙漠边缘固定、半固定沙丘的部分样品(如:TL-03和TL-12号样品)的平均粒径与分选系数、偏度之间并没有表现出明显的变化。平均粒径与峰度之间的相关性不显著(图4C)。分选系数与偏度(图4D)、峰度(图4E)以及偏度与峰度(图4F)之间相关性亦不显著。
图4
图4
腾格里沙漠沉积物粒度参数散点图
Fig.4
Bivariate plots of grain size parameters of sediments in the Tengger Desert
3.3 粒度特征空间差异
表2 腾格里沙漠Ⅰ区沉积物粒度参数
Table 2
| 样品编号 | 纬度N/(°) | 经度E/(°) | 地貌类型 | Mz/Φ | σ/Φ | SK | Kg | |
|---|---|---|---|---|---|---|---|---|
| TL-05 | 39.18 | 103.62 | 格状沙丘 | 2.84 | 0.32 | 0.11 | 1.08 | |
| TL-10 | 38.87 | 103.85 | 格状沙丘 | 2.38 | 0.34 | 0.14 | 0.99 | |
| TL-16 | 38.68 | 103.56 | 新月形沙丘和沙丘链 | 2.59 | 0.34 | 0.06 | 1.03 | |
| TL-20 | 39.05 | 104.27 | 格状沙丘 | 2.71 | 0.32 | 0.09 | 1.06 | |
| TL-42 | 38.41 | 103.66 | 格状沙丘 | 2.62 | 0.29 | 0.06 | 0.99 | |
| TL-46 | 37.51 | 104.96 | 格状沙丘 | 2.59 | 0.34 | 0.08 | 1.04 | |
| TL-48 | 37.77 | 105.03 | 格状沙丘 | 2.45 | 0.31 | 0.10 | 0.93 | |
| TL-50 | 38.25 | 105.16 | 新月形沙丘和沙丘链 | 2.73 | 0.34 | -0.12 | 1.14 | |
| TL-52 | 38.47 | 104.69 | 格状沙丘 | 2.52 | 0.27 | 0.08 | 1.01 | |
| TL-56 | 38.32 | 104.17 | 新月形沙丘和沙丘链 | 2.54 | 0.29 | 0.10 | 1.07 | |
| TL-58 | 38.77 | 104.29 | 格状沙丘 | 2.68 | 0.34 | -0.05 | 1.11 | |
| TL-60 | 38.78 | 104.47 | 格状沙丘 | 2.67 | 0.30 | 0.09 | 1.03 | |
| TL-62 | 38.26 | 104.82 | 草灌丛沙丘 | 2.53 | 0.30 | 0.12 | 1.07 | |
| TL-64 | 38.55 | 104.44 | 新月形沙丘和沙丘链 | 2.74 | 0.30 | 0.03 | 1.03 | |
| TL-66 | 38.35 | 104.49 | 新月形沙丘和沙丘链 | 2.43 | 0.30 | 0.08 | 0.97 | |
| TL-70 | 38.06 | 104.32 | 格状沙丘 | 2.21 | 0.31 | 0.19 | 1.14 | |
| TL-74 | 38.01 | 104.79 | 格状沙丘 | 2.84 | 0.30 | 0.12 | 1.07 | |
| TL-76 | 38.59 | 104.93 | 复杂横向沙丘(或沙山) | 2.17 | 0.31 | 0.21 | 1.07 | |
| TL-84 | 39.60 | 104.38 | 格状沙丘 | 2.46 | 0.34 | 0.10 | 0.96 | |
| TL-86 | 39.91 | 104.22 | 格状沙丘 | 2.32 | 0.30 | 0.13 | 1.07 | |
| 平均值 | — | — | 2.55 | 0.31 | 0.09 | 1.04 | ||
| 最小值 | — | — | 2.17 | 0.27 | -0.12 | 0.93 | ||
| 最大值 | — | — | 2.84 | 0.34 | 0.21 | 1.14 | ||
| 标准偏差 | — | — | 0.19 | 0.02 | 0.07 | 0.06 |
图5
图5
腾格里沙漠不同区域粒度分布特征
Fig.5
Grain size distribution in different regions of the Tengger Desert
表3 腾格里沙漠Ⅱ区沉积物粒度参数
Table 3
| 样品编号 | 纬度N/(°) | 经度E/(°) | 地貌类型 | Mz/Φ | σ/Φ | SK | Kg | |
|---|---|---|---|---|---|---|---|---|
| TL-22 | 38.62 | 103.86 | 格状沙丘 | 2.22 | 0.40 | 0.20 | 1.02 | |
| TL-24 | 38.44 | 103.15 | 格状沙丘 | 2.12 | 0.39 | 0.08 | 0.98 | |
| TL-26 | 37.79 | 103.29 | 草灌丛沙丘 | 2.32 | 0.39 | 0.26 | 1.06 | |
| TL-28 | 38.18 | 103.46 | 草灌丛沙丘 | 2.21 | 0.44 | 0.25 | 1.08 | |
| TL-30 | 38.16 | 102.96 | 格状沙丘 | 2.13 | 0.43 | 0.26 | 0.95 | |
| TL-32 | 38.05 | 103.04 | 格状沙丘 | 2.33 | 0.35 | 0.17 | 1.02 | |
| TL-34 | 37.85 | 103.68 | 新月形沙丘和沙丘链 | 2.09 | 0.39 | 0.21 | 1.11 | |
| TL-36 | 37.77 | 104.10 | 格状沙丘 | 2.42 | 0.35 | 0.05 | 0.98 | |
| TL-38 | 37.64 | 104.64 | 格状沙丘 | 2.36 | 0.35 | 0.14 | 0.95 | |
| TL-40 | 38.10 | 103.61 | 格状沙丘 | 2.03 | 0.36 | 0.31 | 1.23 | |
| TL-44 | 38.17 | 104.01 | 格状沙丘 | 2.11 | 0.39 | 0.22 | 1.06 | |
| TL-54 | 38.46 | 103.95 | 新月形沙丘和沙丘链 | 2.27 | 0.44 | 0.12 | 0.94 | |
| TL-72 | 37.87 | 104.46 | 格状沙丘 | 2.24 | 0.41 | 0.03 | 1.04 | |
| 平均值 | — | — | 2.22 | 0.39 | 0.18 | 1.03 | ||
| 最小值 | — | — | 2.03 | 0.35 | 0.03 | 0.94 | ||
| 最大值 | — | — | 2.42 | 0.44 | 0.31 | 1.23 | ||
| 标准偏差 | — | — | 0.12 | 0.03 | 0.09 | 0.08 |
Ⅲ区为沙漠西部石羊河以北、以东冲洪(湖)积平原到雅布赖山一带以及沙漠东北贺兰山山前冲洪(湖)积平原的沙漠边缘区。分布在Ⅲ区的样品分选性不一致,分选好、分选较好和分选中等的样品均有出现,平均粒径分布范围较广(1.85—2.71 Φ)(表4),与庞红丽等[17]在沙漠北部测得的风沙沉积物的粒径(1.61—2.50 Φ)和分选系数(0.40—0.68 Φ)接近。样品粒级组分以细沙(55.42%)、中沙(32.77%)、极细沙(10.59%)为主,粗沙、中沙、极细沙和粉沙含量均高于其他区域样品。粒径频率分布呈单峰、双峰和多峰,偏度呈负偏至极正偏,峰度呈宽峰态至尖窄峰态(表4)。概率累计曲线呈多段式,样品分选较差,0—1 Φ组分含量最少,斜率最小;1—2.25 Φ组分含量次之,斜率为第三;2.25—3.50 Φ组分含量最多,斜率次之;3.50—4.25 Φ组分含量为第三,斜率最大(图5C)。
表4 腾格里沙漠Ⅲ区沉积物粒度参数
Table 4
| 样品编号 | 纬度N/(°) | 经度E/(°) | 地貌类型 | Mz/Φ | σ/Φ | SK | Kg | |
|---|---|---|---|---|---|---|---|---|
| TL-01 | 39.64 | 103.20 | 新月形沙丘和沙丘链 | 2.07 | 0.54 | 0.43 | 0.87 | |
| TL-03 | 39.40 | 103.79 | 草灌丛沙堆 | 2.71 | 0.78 | -0.20 | 1.00 | |
| TL-07 | 40.04 | 103.89 | 新月形沙丘和沙丘链 | 2.22 | 0.40 | 0.18 | 1.01 | |
| TL-09 | 39.28 | 103.86 | 新月形沙丘和沙丘链 | 2.24 | 0.47 | 0.21 | 0.91 | |
| TL-12 | 38.81 | 103.45 | 草灌丛沙堆 | 2.62 | 0.64 | -0.15 | 0.96 | |
| TL-14 | 38.50 | 103.45 | 新月形沙丘和沙丘连 | 1.85 | 0.61 | 0.35 | 1.08 | |
| TL-18 | 39.34 | 104.10 | 新月形沙丘和沙丘链 | 2.44 | 0.40 | 0.17 | 1.08 | |
| TL-78 | 38.55 | 105.57 | 新月形沙丘和沙丘链 | 2.04 | 0.42 | 0.32 | 1.16 | |
| TL-80 | 38.53 | 105.12 | 复杂横向沙丘(或沙山) | 2.19 | 0.56 | -0.03 | 1.14 | |
| TL-82 | 38.76 | 105.15 | 复杂横向沙丘(或沙山) | 2.04 | 0.64 | 0.20 | 0.78 | |
| TL-88 | 39.22 | 104.75 | 格状沙丘 | 2.41 | 0.43 | 0.23 | 1.00 | |
| TL-90 | 38.94 | 105.08 | 格状沙丘 | 2.34 | 0.42 | 0.10 | 0.87 | |
| 平均值 | — | — | 2.26 | 0.53 | 0.15 | 0.99 | ||
| 最小值 | — | — | 1.85 | 0.40 | -0.20 | 0.78 | ||
| 最大值 | — | — | 2.71 | 0.78 | 0.43 | 1.16 | ||
| 标准偏差 | — | — | 0.25 | 0.12 | 0.19 | 0.12 |
总体上,自Ⅲ区(沙漠边缘)、Ⅱ区(沙漠西南部)至Ⅰ区(沙漠中部),样品平均粒径变小、分选系数变小;细沙逐渐增多,粗沙、中沙和粉沙逐渐减少,粒级组分趋于集中;粒径频率曲线趋于近对称、中等峰态、单峰分布。
本文沉积物粒度参数与分布于不同空间的沙丘类型和规模之间存在一定的相关性(图6)。分布在Ⅰ区的格状沙丘呈现出分选极好的特征(0.34 Φ),呈单峰分布,峰值粒径2—3 Φ,分布范围相对集中;新月形沙丘和沙丘链则大部分分布在Ⅲ区,即沙漠边缘地带,分选好(0.40 Φ),呈单峰分布,峰值粒径1.75—3 Φ。复杂横向沙丘(或沙山)和草灌丛沙丘分布在Ⅲ区,二者样品分选均最差(0.53 Φ),呈单峰和双峰分布,其中前者峰值粒径1—2.75 Φ,后者峰值粒径1—3.75 Φ,粒级分布较广,峰态较宽,出现了一个以上的众数。
图6
图6
腾格里沙漠不同类型沙丘沉积物粒度分布对比
Fig.6
Comparative grain size distributions for different dune types in the Tengger Desert
4 粒度特征空间分布差异可能原因
4.1 Ⅰ区
朱震达等[12]、吴正[24]认为,中国北方沙漠大多起源于河流和湖泊沉积。腾格里沙漠中部现存一些面积比较大的湖泊 (图1) ,为第三纪的残余[12,16,24,36],这些湖泊可能为附近的沙丘提供了物源。据深度达279 m的查汗池(WEDP01)钻孔[16]勘察(图1),该地区下伏沉积物包含冲积-河流沉积物、湖泊和风成沉积物等。特别是50 m厚的近地表层(风沙、湖沙沉积互层),出现在一典型的湖相沉积(50—80 m)之上,古地磁年龄大致在0.9 Ma[16]。在近地表层的下部(28—50 m),沉积物粒径频率出现双峰,主峰1.73—2.94 Φ,与本文该区样品粒径频率特征基本一致(图5A),而2.94—6.64 Φ的细粒次峰差异较大,分选较差。考察近地表层的上部(0—28 m),为现代湖泊沉积,粒径频率呈单峰分布,峰值粒径1.73—2.94 Φ,粒径趋于粗化,分选变好,偏度趋于近对称或正偏,与本文该区沙丘沙粒径频率特征基本一致(图5A和表2),表明该区沙丘沙或与近地表层下伏物源的一致性以及下伏河湖相沉积颗粒“就地起沙”的可能性。
该区大量分布格状沙丘和高大复杂横向沙丘(图1)。这类形态相对复杂的沙丘需要丰富的沙源(细沙)供应和较久远的风力分选[12],沙漠西北及东北边缘的湖相或戈壁沉积物以及该区下伏沉积物正为格状沙丘提供物源,而西北一带的沙粒与巴丹吉林沙漠沙物质远距离输送有关[39],特别是西北风或东北风占绝对优势的情况下。这也与Zhang等[1]和李恩菊[30]发现的腾格里沙漠沉积物沿主风向存在粒径变小、分选变好的趋势一致。风力对沙丘沙的分选作用较频繁,也有利于格状沙丘的发育[13]。反之,这些格状沙丘(高度10—20 m)和复杂横向沙山(最高可达185 m)[24,36]也会削弱风速,从而进一步改变沙丘沙的分选程度[12,40]。可见,沙丘沙粒度特征很大程度上与源区物质粒度特征和风力分选作用时间长短均可能有关。
4.2 Ⅱ区
石羊河流域第四纪沉积物和沙漠西南部出露的河流沉积物均暗示着自南部山脉发育河流的注入[16,42],在石羊河下游冲积平原上堆积的沙物质由西北区盛行的西北风吹扬到沙漠西南部(图1)。而气流在运动过程中,可能因受到沙漠周围山体、沙丘自身起伏和植被等因素的影响而减弱,被气流所搬运的粉粒(悬移组分)和介于其与粗粒(蠕移组分)之间的颗粒(跳移组分)因此而堆积成沙丘 [12,43]。另一方面,来自于祁连山的碎屑物质可能随河流进入了该区,并在下游终端形成河湖相沉积[1,26,41],这些河湖相沉积物很有可能就地起沙形成沙丘。据景泰气象站,该区盛行风向为西北风,年平均风速为1.92 m·s-1,属低风能区,本区年平均风速和输沙势(DP)均由沙漠西北部向南部减小(图1)。因风速小,风蚀能力弱,沙丘表沙中仅部分粉粒(悬移组分)被吹走或被植被捕获而难以运移(悬移组分)。由河流自祁连山带来的较粗颗粒(蠕移组分)因此得以富集,而由西北区的西北风吹过来的跳移组分也因此得以分选,与本文数据所显示的沙丘沙分选好、偏度呈正偏、概率累计曲线呈现的三段模式一致(图5B)。
4.3 Ⅲ区
5 结论
腾格里沙漠沙丘沙以细沙和中沙为主;平均粒径(Mz)1.85—2.84 Φ,分选系数(σ)0.27—0.78 Φ,偏度(SK)-0.20—0.43,峰度(Kg)0.78—1.23。平均粒径与分选系数、偏度呈良好的线性关系。
自沙漠边缘、西南部至中部,沙丘沙平均粒径变小、分选性变好;细沙逐渐增多,粗沙、中沙和粉沙逐渐减少,粒级组分趋于集中;粒径频率曲线趋于近对称、中等峰态、单峰。
研究区盛行起沙风为西北风。沙漠西北、东北边缘均属中风能环境,前者为单峰型、后者为复杂型风况;南部和东南部分别属低、中风能环境,均属双峰型风况。
沙漠西北及东北边缘的河湖相沉积物为沙漠中部沙丘沙提供物源,并且下伏河湖相沉积颗粒就地起沙的可能性大,风力分选作用较长。西南部沙丘沙粒除源自石羊河流域的第四纪沉积物外,还接受了该区的古湖泊沉积物,这一带风力分选作用亦较显著。边缘沙丘沙中,湖相沉积物、冲洪积物的风蚀产物影响显著。沙丘类型、空间分布与粒度参数之间存在一定的耦合关系,显著表现于主要分布在中部地带的格状沙丘上。
参考文献
Grain-size characteristics of dune networks in China's Tengger Desert
[J].
巴丹吉林沙漠地表沉积物粒度特征及区域差异
[J].
Brazos River Bar:a study in the significance of grain size parameters
[J].
Grain-size variation on dunes in the Southwest Kalahari,Southern Africa
[J].
Grain-size characteristics of linear dunes in the southwestern Kalahari
[J].
Holocene palynological records and their responses to the controversies of climate system in the Shiyang River drainage basin
[J].
Aeolian deposits at the southeastern margin of the Tengger Desert (China): implications for surface wind strength in the Asian dust source area over the past 20,000 years
[J].
Characteristics of wind-blown sand and near-surface wind regime in the Tengger Desert,China
[J].
Quaternary paleoenvironmental evolution of the Tengger Desert and its implications for the provenance of the loess of the Chinese Loess Plateau
[J].
Dunes Forms and Wind Regime
[M]//McKee E D.
Wind regimes and aeolian geomorphology in the western and southwestern Tengger Desert,NW China
[J].
Winds and sand movements in the Namib Sand Sea
[J].
Grain-size characteristics of linear dunes on the northern margin of Qarhan Salt Lake,northwestern China
[J].
The evolution of dry lands in northern China and in the Republic of Mongolia since the Last Glacial Maximum
[J].
Late Quaternary palaeolake levels in Tengger Desert,NW China
[J].
Aeolian sorting processes in the Ejina desert basin (China) and their response to depositional environment
[J].
Wind regime and sand transport in the corridor between the Badain Jaran and Tengger Deserts,central Alxa Plateau,China
[J].
/
| 〈 |
|
〉 |

甘公网安备 62010202000688号