胡杨( Populus euphratica )对盐胁迫和干旱胁迫的生理响应特征 |
| 李端, 司建华, 李继彦, 王佩将, 原黎明 |
|
Physiological responses and differences of Populus euphratica to salt stress and drought stress |
| Duan Li, Jianhua Si, Jiyan Li, Peijiang Wang, Liming Yuan |
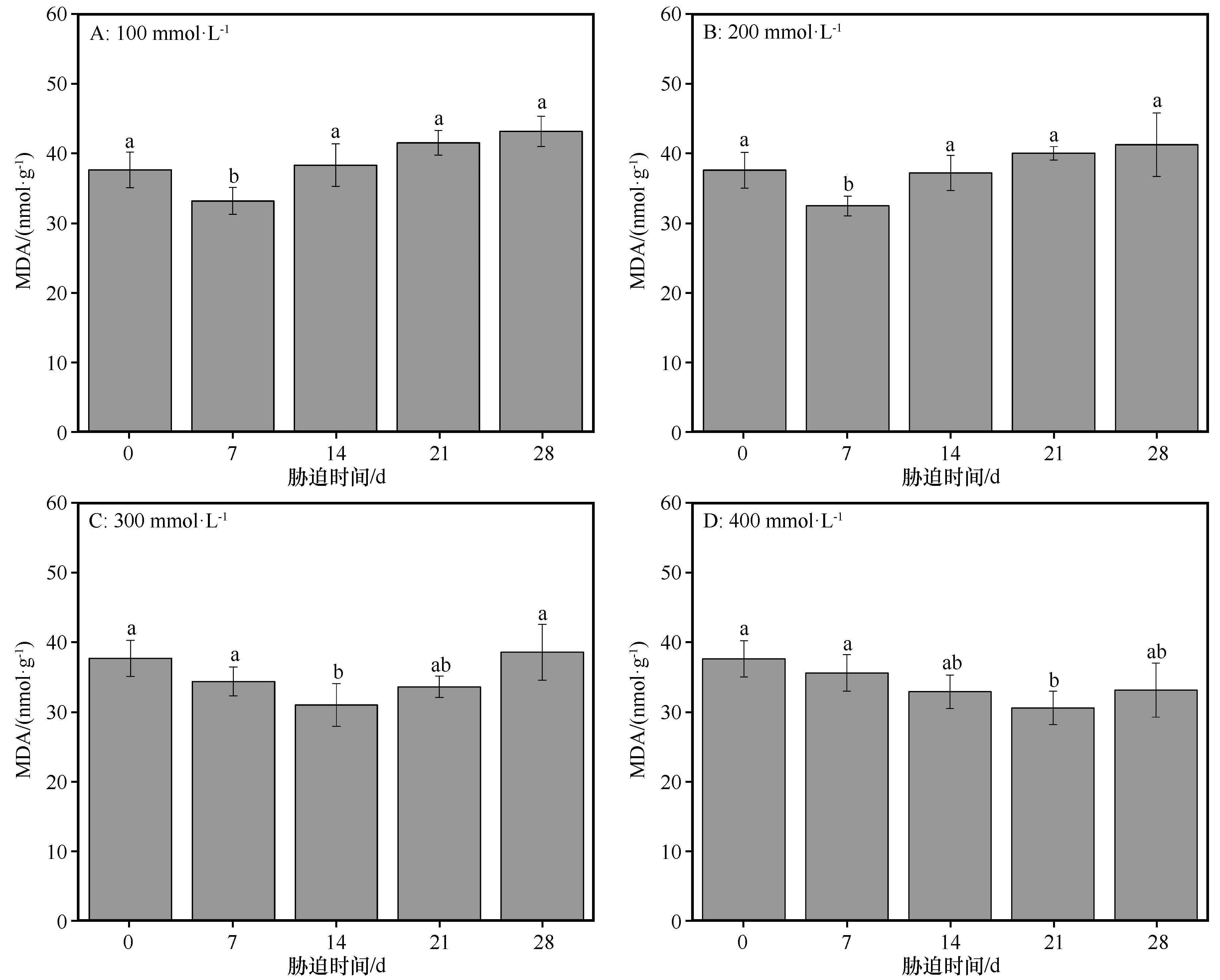
| 图7 盐分胁迫条件下胡杨叶片中丙二醛(MDA)含量的变化 不同小写字母表示差异显著,P<0.05 |
| Fig.7 The variation of MDA content in the leaves of Populus euphratica under different salinity |
|