石羊河流域径流变化特征
段然 , 1 , 李宗杰 , 1 , 王昱 1 , 刘晓颖 1 , 桂娟 2 , 梁鹏飞 2 , 李玉辰 2 , 薛健 2 , 刘梦晴 1 , 徐斌 1
1.兰州理工大学 能源与动力工程学院,甘肃 兰州 730050
2.中国科学院西北生态环境资源研究院 内陆河流域生态水文重点实验室/甘肃省祁连山生态环境研究中心,甘肃 兰州 730000
Characteristics of runoff change in the Shiyang River Basin
Duan Ran , 1 , Li Zongjie , 1 , Wang Yu 1 , Liu Xiaoying 1 , Gui Juan 2 , Liang Pengfei 2 , Li Yuchen 2 , Xue Jian 2 , Liu Mengqing 1 , Xu Bin 1
1.School of Energy and Power Engineering,Lanzhou University of Technology,Lanzhou 730050,China
2.Key Laboratory of Ecohydrology of Inland River Basin / Gansu Qilian Mountains Ecology Research Center,Northwest Institute of Eco-Environment and Resources,Chinese Academy of Sciences,Lanzhou 730000,China
通讯作者: 李宗杰(E-mail: lzjie314@163.com )
收稿日期: 2022-08-31
修回日期: 2022-10-14
基金资助:
甘肃省自然科学基金项目 . 21JR7RA239 国家重点研发计划项目 . 2020YFA0607702 甘肃省创新群体项目 . 20JR10RA038 甘肃省陇原创新创业团队项目 . 2020 甘肃省祁连山生态环境研究中心开放基金项目 . QLS2020003
Received: 2022-08-31
Revised: 2022-10-14
作者简介 About authors
段然(1997—),女,河南济源人,硕士研究生,研究方向为寒旱区水文学E-mail:dran0826@163.com
, E-mail:dran0826@163.com
摘要
基于石羊河流域干流及八大支流的9个水文站和35个雨量站的逐月降水和径流数据,采用小波分析和双累积曲线等方法,研究石羊河流域径流的变化特征。结果表明:(1)石羊河流域径流量总体呈减少趋势,平均每10 a减少0.37亿m3 ,其中石羊河干流、金塔河、杂木河、黄羊河和古浪河的径流量减少,西大河、东大河、西营河和大靖河的径流量增加。(2)石羊河流域的9个水文站存在2~10、10~30 a的周期变化,其中杂木寺站和黄羊河水库站还存在30~60 a的长周期变化,并且9个水文站分别在24、21、21、21、43、45、22、17、21 a的时间尺度丰枯变化最明显。(3)石羊河干流和八大支流突变分别发生在1971、2014、2000、2018、1960、1959、1962、1994、1965年,其中石羊河干流、金塔河、杂木河、黄羊河和古浪河突变后径流量下降,西大河、西营河和大靖河突变后径流量增加,东大河不具有突变性。研究结果可以为石羊河流域水资源的科学管理、优化配置和后续生态工程的实施提供参考。
关键词:
石羊河流域
;
气候变化
;
径流变化
Abstract
Based on the month-by-month precipitation and runoff data from 12 hydrological stations and 35 rainfall stations in the main stream and eight tributaries of the Shiyang River Basin, wavelet analysis and double accumulation curve were used to study the change characteristics of runoff in the Shiyang River Basin. The results showed that: (1) The overall trend of runoff in the Shiyang River Basin was decreasing, with an average decrease of 0.37 billion m3 per 10 a.The runoff in the main stream of Shiyang River, Jinta River, Zamu River, Huangyang River and Gulang River decreased, and the runoff in the Xida River, Dongda River, Xiying River and Dajing River increased. (2) Nine hydrological stations in the Shiyang River Basin have periodic variations on time scales of 2-10 a and 10-30 a, among which the Zamusi station and the Huangyanghe reservoir station also have long periodic variations of 30-60 a, and the nine hydrological stations have the most obvious changes in abundance and depletion on time scales of 24, 21, 21, 21, 43, 45, 22, 17, 21 a, respectively. (3) The abrupt changes in the Shiyang River main stream and eight major tributaries occurred in 1971, 2014, 2000, 2018, 1960, 1959, 1962, 1994 and 1965, respectively, in which the runoff decreased after abrupt changes in the Shiyang River main stream, Jinta River, Zamu River, Huangyang River and Gulang River, increased after abrupt changes in the Xida River, Xiyang River and Dajing River, and did not have abrupt changes in the Dongda River. The results of the study can provide reference for the scientific management and optimal allocation of water resources in the Shiyang River basin and the implementation of subsequent ecological projects.
Keywords:
Shiyang River Basin
;
climate change
;
runoff change
本文引用格式
段然, 李宗杰, 王昱, 刘晓颖, 桂娟, 梁鹏飞, 李玉辰, 薛健, 刘梦晴, 徐斌. 石羊河流域径流变化特征 . 中国沙漠 [J], 2023, 43(3): 57-68 doi:10.7522/j.issn.1000-694X.2022.00142
Duan Ran, Li Zongjie, Wang Yu, Liu Xiaoying, Gui Juan, Liang Pengfei, Li Yuchen, Xue Jian, Liu Mengqing, Xu Bin. Characteristics of runoff change in the Shiyang River Basin . Journal of Desert Research [J], 2023, 43(3): 57-68 doi:10.7522/j.issn.1000-694X.2022.00142
0 引言
气候变暖已成为全球广泛关注的热点。政府间气候变化专门委员会(IPCC)第六次评估报告第一工作组报告明确指出全球升温1.5 ℃,明确要求在2050年前后实现二氧化碳零排放[1 ] 。全球变暖会加速水循环、加速冰川退缩、加剧极端水文事件的发生、改变降水过程、增强水分的蒸散发,使区域水循环发生变化,导致水资源的时空再分配[2 -4 ] 。中国西北干旱区水资源短缺,生态环境脆弱,严重制约了区域的经济发展[5 -8 ] 。祁连山地区在中国生态文明建设中具有战略地位,是中国极其重要的冰冻圈水源涵养生态功能区和生态安全屏障区,不仅保障着区域的生态安全,也在维护生态稳定、保障径流来源和维持区域可持续发展等方面具有重要的影响[9 ] 。石羊河流域是河西走廊第三大内陆河,流域内降水少,蒸发大,空气干燥,是干旱频繁发生地区[10 -11 ] 。
国内外学者已对石羊河流域径流变化的特征做出大量研究。周俊菊等[12 ] 研究了石羊河流域径流对气候和土地利用变化的响应,发现1968年之前蔡旗断面径流量波动的主要因素是气候变化,1968年之后径流量的变化主要受气候变化和土地利用的影响。张晓晓等[13 ] 的研究表明1961—2010年石羊河流域出山年径流量呈微弱减少趋势,未来石羊河流域出山年径流量呈减少趋势。刘明春等[14 ] 分析了石羊河流域西营河气温和降水对径流的影响,发现气温升高使径流量减少,降水量呈增加趋势,汛期雨水是年径流量补给的主要来源。文星等[15 ] 发现石羊河流域经济发展、人口的增加和径流量的变化对绿洲的变化影响更为显著。张永勇等[16 ] 基于SWAT模型研究石羊河流域未来出山径流的变化,结果表明未来石羊河流域降水和潜在蒸散发增加,其中降水增加最为明显,由此导致未来石羊河流径流量增加。综上所述,气候变化和人类活动已经成为影响石羊河流域径流变化的主要因素,定量研究气候变化和人类活动对径流的影响,可为区域水资源的科学管理和可持续利用提供有价值的参考。
本文收集了石羊河流域长序列的降水及径流数据,探讨石羊河流域干流及主要支流径流变化特征,为变化环境下的石羊河流域水资源的管理规划提供技术支撑和参考。
1 研究区概况
石羊河流域是甘肃省河西走廊第三大内陆河(图1 ),位于祁连山北麓,起源于冷龙岭北坡,地势南高北低,自西南向东北倾斜,全流域可分为南部祁连山区、中部走廊平原区、北部低山丘陵区及荒漠区四大地貌单元[17 ] 。石羊河流域区内人口集中,以灌溉农业为主,中下游水资源供需矛盾突出[18 -20 ] 。由于深居大陆腹地并与青藏高原毗邻,大气环流和气候受青藏高原的影响明显,高空主要受中纬度西风环流控制,近地面主要受季风环流控制,属大陆性温带干旱气候,太阳辐射强烈,夏季多高温,雨量较少,冬季气温严寒且干燥,年降水量90~630 mm,集中在5—10月,降水量从上游到下游依次递减,年蒸发量750~2 700 mm[21 ] 。石羊河共有8条支流,自西向东依次为西大河、东大河、西营河、金塔河、杂木河、黄羊河、古浪河和大靖河。
图1
图1
研究区范围及水文站、雨量站点位置
Fig.1
Location of the study area and distribution of hydrological and rainfall stations
2 数据来源与研究方法
2.1 数据来源
选取石羊河流域干流及八大支流的9个水文站和35个雨量站自建站以来至2020年的逐月降水和径流数据,来源于甘肃省水利厅(表1 )。
2.2 研究方法
采用线性回归法分析径流的变化趋势,采用M-K突变检验[22 ] 对径流时间序列的突变进行检验,采用小波分析法[23 ] 分析流域周期变化,采用径流-降水双累积曲线法[24 ] 量化降水和人类活动对径流量变化的影响。
3 结果与分析
3.1 径流的年际变化
石羊河干流、金塔河、杂木河、黄羊河、古浪河年径流量呈现波动减少趋势,每10 a分别减少0.4亿、0.04亿、0.07亿、0.06亿、0.002亿m3 ,西大河、东大河、西营河、大靖河年径流量呈波动增加趋势,每10 a分别增加0.05亿、0.14亿、0.006亿、0.003亿m3 (图2 )。在过去几十年,石羊河流域径流量平均每10 a减少0.37亿m3 。除古浪河和大靖河外,其余流域1990年后径流量均呈递增趋势,石羊河干流最为明显,1956—1990年石羊河干流蔡旗站径流量每10 a减少1.08亿m3 ,而1991—2020年径流量每10 a增加0.87亿m3 ,是1956—1990年径流量变化幅度的1.81倍(图2 )。
图2
图2
石羊河流域径流的年际变化
Fig.2
Inter-annual change of runoff in the Shiyang River Basin
从图3 和表2 可以看出,石羊河流域径流增加主要发生在夏季,其中西大河和古浪河流域径流增加主要在夏、秋季,东大河和金塔河流域主要在秋季,西营河、杂木河、黄羊河和大靖河流域径流的增加主要在秋、冬季。径流总体减少一是由于气候变化所导致的,气温升高蒸发加剧,冰川蕴藏量偏少,导致气温升高后冰川融化量减少[25 ] ;二是人类活动的影响,农民在坡面上开垦种植、放牧和地下水开采等活动对下垫面影响较大,导致降水产流减少,则出山径流减少。
图3
图3
石羊河流域径流的年内分配
Fig.3
Annual distribution of runoff in the Shiyang River Basin
3.2 径流与降水的年内分配
石羊河干流和古浪河径流峰值滞后降水峰值1个月,说明降水量并未全部产流,而是将一部分水量储存起来,形成冻土层上水;西营河和金塔河径流峰值提前降水峰值1个月,造成这种现象的原因是全球变暖背景下,导致多年冻土退化,使得土壤抗渗性下降,从而提前汇流时间[26 ] ;其他流域径流峰值和降水峰值基本同步,在每年的8月同时期达到最大值,最小流量和最小降水大部分发生在1月份,具有较好的同步性(图4 )。年内分配上,石羊河上游径流平均年内分配高于中下游,而变化趋势呈现出上游波动下降、中下游波动上升的趋势。这主要是因为上游为高海拔产流区,河流主要补给来源为山区降水、冰雪融水和山区地下水[27 ] ,降水是径流的主要补给来源,这使径流集中在汛期,在一定程度上使流量年内分配增加。中下游径流年内分配呈上升趋势,这与当地引水灌溉、地下水开采、渠道衬砌等人类活动密不可分。未来石羊河出山径流也呈下降趋势,主要取决于山区降水的减少[28 ] 。
图4
图4
石羊河流域径流与降水年内分配
Fig.4
Annual distribution of runoff and precipitation in the Shiyang River Basin
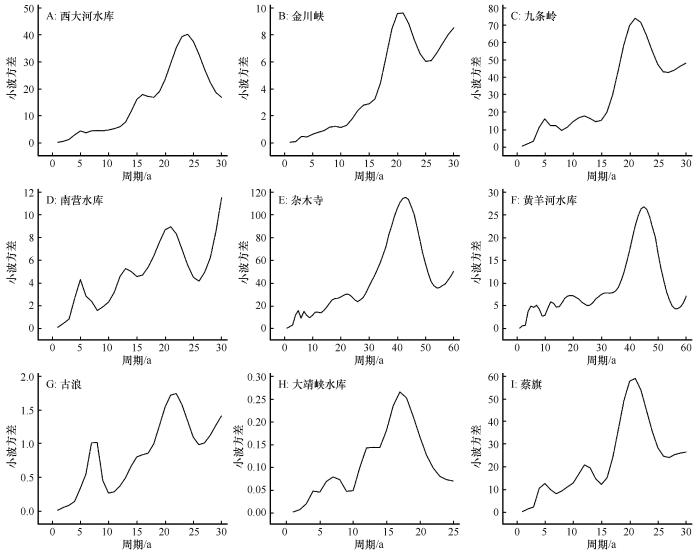
3.3 径流的周期变化
石羊河流域径流量的年际变化具有明显的周期变化,如图5 ~6 所示。从小波系数实部图可以看出不同时间尺度下的丰枯位相结构,表明不同的时间尺度下所对应的径流丰枯变化是不同的,小尺度的丰枯变化表现为镶嵌在大尺度下的较为复杂的丰枯结构[29 ] 。
图5
图5
石羊河流域径流的小波周期变化
Fig.5
Wavelet cycle change of runoff in the Shiyang River Basin
图6
图6
石羊河流域径流的小波方差
Fig.6
Wavelet variance of runoff in the Shiyang River Basin
石羊河流域9个水文站均存在2~10、10~30 a的周期性变化,其中杂木寺站和黄羊河水库站还存在30~60 a的长周期丰枯变化特征(图5 )。9个水文站径流量第一主周期分别为24、21、21、21、43、45、22、17、21 a(图6 ),该时间尺度波动最强,正负变化明显,这一周期对石羊河流域径流量的周期变化起主要作用,是丰枯变化的主周期。9个水文站存在15、15、12、13、22、30、8、15、12 a的第二主周期,除黄羊河水库、古浪、大靖峡水库存在7、15、7 a的第三主周期,其他6站均存在5 a的第三主周期。上述3个周期共同对石羊河流域径流量的变化起作用,3个周期决定石羊河流域径流量的丰枯变化特征。从9个水文站第一主周期来看,西大河水库、九条岭、古浪、大靖峡水库的径流经历了枯—丰—枯—丰—枯的变化过程,金川峡、南营水库、杂木寺、黄羊河水库、蔡旗的径流经历了丰—枯—丰—枯—丰的变化过程,该时间尺度变化存在于整个研究时段上,具有全局性特征。
3.4 径流的突变检验
利用M-K突变检验对石羊河流域干流及支流的径流时间序列进行突变分析(图7 )。蔡旗站径流量在1971年发生突变,突变后径流量呈减少趋势,相较于突变之前减少了2.39亿m3 ,减少幅度达51.2%。西大河水库径流量在1987、1990、2003、2008、2014年发生多次突变,但在2014年之后,径流量有明显上升趋势,所以西大河水库径流量在2014年发生突变,径流量较于突变之前增加了0.13亿m3 ,增加达8.1%。金川峡在2000年发生突变,但UF和UB交点未在置信区间内,所以该点不具有突变性。九条岭径流量在2018年发生突变,突变后径流量增加,相较于突变之前增加了0.5亿m3 ,增加幅度达15.5%。南营水库径流量在1960年发生突变,1960年后径流量呈显著减少趋势,相较于突变之前径流量减少了0.35亿m3 ,减少幅度达21.3%。杂木寺径流量在1959年发生突变,1959—2002年UF曲线下降,表明径流量在此时期内显著下降,2002年以后径流量有显著上升趋势。黄羊河水库在1962年发生突变,突变之后径流量减少,相较于突变之前减少了0.4亿m3 ,减少幅度达24.1%。古浪径流量在1989、1992、1994年发生突变,但在1994年之后,径流量有下降趋势,所以古浪径流量在1994年发生突变,突变之后径流量呈显著减少趋势,相较于突变之前减少了0.09亿m3 ,减少幅度达14.2%。大靖峡水库径流量在1963、1964、1965年和2004年发生多次突变,但在1965年之后,径流量有上升趋势,所以大靖峡水库径流量在1965年发生突变,突变之后径流量有微弱增加趋势,相较于突变之前增加了0.03亿m3 ,增加达30.5%。
图7
图7
石羊河流域径流的突变
Fig.7
Abrupt change of runoff in the Shiyang River Basin
因此,石羊河干流和八大支流突变分别发生在1971、2014、2000、2018、1960、1959、1962、1994、1965年,其中石羊河干流、金塔河、杂木河、黄羊河和古浪河突变后径流量减少,西大河、西营河和大靖河突变后径流量增加,东大河不具有突变性。石羊河干流、金塔河、杂木河、黄羊河和古浪河突变点的出现主要受人类活动的影响,20世纪50年代后期,祁连山因政策原因,普遍存在毁林开荒、草场过度放牧的现象,导致水土流失严重,因此上述5条河出现径流量减少的情况[30 ] 。
3.5 径流的丰枯变化
年径流丰平枯水年变化的划分标准采用P-Ⅲ型曲线,W ≤12.5%为特丰水年12.5%<W ≤37.5%为丰水年,37.5%<W ≤62.5%为平丰水年,62.5%<W ≤87.5%为偏枯水年,W >87.5%为特枯水年[31 ] 。选取石羊河干流蔡旗站1962—2020年的径流资料,根据丰平枯水年的频率划分标准,确定了石羊河流域丰平枯水年对应的径流量。按照丰平枯水年出现的次数,蔡旗站全年、汛期为丰水年,4月、5月、6月、11月、12月为平水年,非汛期、1月、2月、3月、7月、8月、9月、10月为枯水年。
根据蔡旗水文站59年间15组不同径流量类别的丰平枯水年出现次数,石羊河流域在1962—2020年整体以丰水年、平水年和偏枯水年为主,占总体的76%,特丰水年占总体的15%,特枯水年分别占总体的9%。在汛期特丰水年和特枯水年发生概率分别为15.25%和13.56%,在非汛期特丰水年和特枯水年发生概率分别为18.64%和6.78%(图8 )。这表明不管在汛期还是非汛期更容易发生极端洪水事件,这是因为石羊河流域上游径流的主要补给来源是南部祁连山区的降水,其次是冰雪融水和地下水补给 ,所以更容易发生极端洪水事件。
图8
图8
石羊河流域蔡旗水文站1962—2020年径流丰平枯水年划分
Fig.8
Abundance, flatness and dryness of runoff in the Shiyang River Basin
3.6 降水和人类活动对径流的影响
根据石羊河流域干流及支流水文站和雨量站的径流量和降水量,绘制径流-降水双累积曲线,如图9 所示。突变年份表明径流-降水发生了改变,对突变年份前后曲线进行分段线性拟合,拟合关系式的判定系数较大,拟合效果较好。从图9 可以看出,蔡旗站突变明显,径流主要受人类活动的影响,其余支流突变不显著,径流主要受气候变化的影响。
图9
图9
石羊河流域径流-降水双累积曲线
Fig.9
Runoff-precipitation double accumulation curve in the Shiyang River Basin
上游径流变化主要受控于气候变化,中下游径流影响的主要因素是人类活动,这说明随着人口的增加,生活用水量也随之增加,农业灌溉用水和工业发展耗水的增加使得石羊河中下游径流量持续减少。因此,在未来流域治理方面,上游祁连山区要严格控制人类活动,保护好生态环境,涵养水源;中下游要进一步加强居民节水意识,优化用水结构,严格控制用水总量,加大农业种植结构调整力度,加大节水设施和节水技术尤其是高新灌溉技术的投入强度[32 ] ,提高水资源利用率,进而实现水资源的可持续利用。
4 讨论
石羊河流域是中国西北内陆河流域中人口最集中、水资源供需矛盾最突出的地区,在全球变暖的背景下,严重的水资源短缺致使人民生活、经济发展和生态环境问题更加突出。本研究通过对石羊河流域降水和径流数据分析发现,年径流和季节径流均呈现出下降趋势,与李育鸿等[27 ] 、王文行等[28 ] 的结论一致,受气候变化和人类活动的共同影响;梁鹏飞等[33 ] 认为1990年后黑河流域径流量增加趋势明显加速,并且在黑河干流表现最为明显,花婷等[34 ] 认为黑河与疏勒河流域径流量有增加趋势,徐浩杰等[35 ] 认为讨赖河山区径流量呈微弱减少趋势,程建忠等[36 ] 认为黑河干流出山径流自1945年以来整体上呈小幅增加趋势。由此看出,内陆河流域径流变化因地区存在差异。在突变检验方面,石羊河干流、金塔河、杂木河、黄羊河和古浪河在发生突变之后,径流量均呈显著减少趋势,与人类活动关系密切,东大河和西营河均呈显著增加趋势,可能与降水的增加有关,与郭静等[30 ] 的结论不完全一致,是因为时间序列不一致。在周期变化方面,张晓晓等[13 ] 认为石羊河流域出山年径流存在5、7、19 a左右的周期波动,与本研究周期变化有较小差异。
本研究表明,石羊河流域径流量总体呈减少趋势,主要原因是上游温度升高,蒸发加剧,冰川贮量减少,山区雪线明显上升,融水量减少,从而导致径流量减少;中下游坡面大面积开垦、草场过度放牧等下垫面条件发生改变,导致草原退化、林草植被退化、水土流失、水源涵养功能下降[29 ] ,由此径流量减少。这些是导致石羊河流域生态环境恶化最直接、根本的原因。因此,在未来石羊河流域治理方面,加强居民节水意识,优化用水结构,严格控制用水总量;加大草原综合治理,提升水源涵养能力,鼓励农民使用节水灌溉的工程措施和农艺措施[19 ] ,将节约的水量用于灌溉地,从而促进节水意识,推动节水发展,提高水资源利用率,进而实现水资源的可持续利用[37 ] 。
5 结论
石羊河流域径流量总体呈减少趋势,平均每10 a减少0.37亿m3 ,其中石羊河干流、金塔河、杂木河、黄羊河和古浪河流域径流量呈减少趋势,西大河、东大河、西营河和大靖河流域径流量呈增加趋势。
石羊河流域的9个水文站存在2~10、10~30 a的周期变化,其中杂木寺站和黄羊河水库站还存在30~60 a的长周期变化,并且9个水文站分别在24、21、21、21、43、45、22、17、21 a的尺度丰枯变化最明显。
石羊河干流和八大支流突变分别发生在1971、2014、2000、2018、1960、1959、1962、1994、1965年,其中石羊河干流、金塔河、杂木河、黄羊河和古浪河突变后径流量下降,西大河、西营河和大靖河突变后径流量增加,东大河不具有突变性。
参考文献
View Option
[1]
樊星 ,秦圆圆 ,高翔 .IPCC第六次评估报告第一工作组报告主要结论解读及建议
[J].环境保护 ,2021 ,49 (Z2 ):44 -48 .
[本文引用: 1]
[2]
任朝霞 ,杨达源 .近50 a西北干旱区气候变化趋势研究
[J].第四纪研究 ,2006 ,26 (2 ):299 -300 .
[本文引用: 1]
[3]
Zheng H , Zhang L , Zhu R ,et al .Responses of streamflow to climate and land surface change in the headwaters of the Yellow River Basin
[J].Water Resources Research ,2009 ,45 (7 ):56 -64 .
[4]
Wang W , Shao Q , Yang T ,et al .Quantitative assessment of the impact of climate variability and human activities on runoff changes:a case study in four catchments of the Haihe River basin,China
[J].Hydrological Processes ,2013 ,27 (8 ):1158 -1174 .
[本文引用: 1]
[5]
李宗省 ,何元庆 ,温煜华 ,等 .我国典型海洋型冰川区高海拔区输出水量变化对气候变暖的响应
[J].地球科学 ,2010 ,35 (1 ):43 -50 .
[本文引用: 1]
[6]
Wang H J , Chen Y N , Shi X ,et al .Changes in daily climate extremes in the arid area of northwestern China
[J].Theoretical and Applied Climatology ,2013 ,112 (1/2 ):15 -28 .
[7]
陈亚宁 ,李稚 ,范煜婷 ,等 .西北干旱区气候变化对水文水资源影响研究进展
[J].地理学报 ,2014 ,69 (9 ):1295 -1304 .
[8]
Liu X , Zhang M , Wang S ,et al .Assessment of diurnal variation of summer precipitation over the Qillian Mountains based on an hourly merged dataset from 2008 to 2014
[J].Journal of Geographical Sciences ,2017 ,27 (3 ):326 -336 .
[本文引用: 1]
[9]
桂娟 ,王旭峰 ,李宗省 ,等 .典型冰冻圈地区植被变化对人类活动的响应研究:以祁连山为例
[J].冰川冻土 ,2019 ,41 (5 ):1235 -1243 .
[本文引用: 1]
[10]
薛东香 .石羊河流域径流变化及归因分析
[D].兰州 :西北师范大学 ,2020 .
[本文引用: 1]
[11]
张雪蕾 ,王万瑞 ,王刘明 ,等 .石羊河流域干旱变化趋势及气候影响因素
[J].兰州大学学报(自然科学版) ,2017 ,53 (5 ):598 -603 ,608 .
[本文引用: 1]
[12]
周俊菊 ,雷莉 ,石培基 ,等 .石羊河流域河川径流对气候与土地利用变化的响应
[J].生态学报 ,2015 ,35 (11 ):3788 -3796 .
[本文引用: 1]
[13]
张晓晓 ,张钰 ,徐浩杰 ,等 .河西走廊三大内陆河流域出山径流变化特征及其影响因素分析
[J].干旱区资源与环境 ,2014 ,28 (4 ):66 -72 .
[本文引用: 2]
[14]
刘明春 ,李玲萍 ,史志娟 ,等 .石羊河流域径流量分布特征及对气候变化的响应:以西营河为例
[J].干旱地区农业研究 ,2013 ,31 (1 ):193 -198 .
[本文引用: 1]
[15]
文星 ,王涛 ,薛娴 ,等 .1975—2010年石羊河流域绿洲时空演变研究
[J].中国沙漠 ,2013 ,33 (2 ):478 -485 .
[本文引用: 1]
[16]
张永勇 ,张士锋 ,翟晓燕 ,等 .气候变化下石羊河流域径流模拟与影响量化
[J].资源科学 ,2013 ,35 (3 ):601 -609 .
[本文引用: 1]
[17]
张利利 ,周俊菊 ,张恒玮 ,等 .基于SPI的石羊河流域气候干湿变化及干旱事件的时空格局特征研究
[J].生态学报 ,2017 ,37 (3 ):996 -1007 .
[本文引用: 1]
[18]
许文海 ,张永明 ,陈刚 .石羊河流域水资源利用现状及其持续利用对策研究
[J].冰川冻土 ,2007 ,27 (2 ):265 -271 .
[本文引用: 1]
[19]
李元红 ,王以兵 .石羊河流域高效节水灌溉与农业种植结构调整
[J].中国水利 ,2013 (5 ):52 -54 .
[本文引用: 1]
[20]
袁瑞丰 .石羊河流域降水与河水稳定同位素特征及来源研究
[D].兰州 :西北师范大学 ,2020 .
[本文引用: 1]
[21]
张永 .石羊河流域植被覆盖与荒漠化动态研究
[D].兰州 :甘肃农业大学 ,2018 .
[本文引用: 1]
[22]
李瑞 ,张飞 ,高宇潇 ,等 .渭干河流域生态水文时间序列特征及影响因素
[J].中国沙漠 ,2016 ,36 (6 ):1713 -1720 .
[本文引用: 1]
[23]
王婷婷 ,冯起 ,李宗省 ,等 .古浪河上游1956-2013年径流变化特征研究
[J].兰州大学学报(自然科学版) ,2019 ,55 (5 ):616 -623 .
[本文引用: 1]
[24]
吴奕 ,宋瑞鹏 ,张红卫 ,等 .河南省降水量、地表水资源量变化趋势及演变关系
[J].人民黄河 ,2021 ,43 (11 ):92 -96 .
[本文引用: 1]
[25]
邓振镛 ,张强 ,王润元 ,等 .河西内陆河径流对气候变化的响应及其流域适应性水资源管理研究
[J].冰川冻土 ,2013 ,35 (5 ):1267 -1275 .
[本文引用: 1]
[26]
Li Z , Yuan R , Feng Q ,et al .Climate background,relative rate,and runoff effect of multiphase water transformation in Qilian Mountains,the third pole region
[J].Science of the Total Environment ,2019 (663 ):315 -328 .
[本文引用: 1]
[27]
李育鸿 ,李计生 ,孙超 ,等 .甘肃河西石羊河流域出山径流分析及来水预测
[J].冰川冻土 ,2017 ,39 (3 ):651 -659 .
[本文引用: 2]
[28]
王文行 ,段争虎 ,王建伟 .气候变化对祁连山石羊河出山口径流的影响研究
[J].冰川冻土 ,2012 ,34 (2 ):469 -477 .
[本文引用: 2]
[29]
周俊菊 ,师玮 ,石培基 ,等 .石羊河上游1956-2009年出山径流量特征及其对气候变化的响应
[J].兰州大学学报(自然科学版) ,2012 ,48 (1 ):27 -34 .
[本文引用: 2]
[30]
郭静 ,粟晓玲 .石羊河流域出山口径流序列的多时间尺度特征
[J].西北农林科技大学学报(自然科学版) ,2013 ,41 (6 ):213 -220 .
[本文引用: 2]
[31]
中华人民共和国水利部 . 水文基本术语和符号标准 : [S].北京 :中国计划出版社 ,1999 .
[本文引用: 1]
[32]
黄珊 ,冯起 ,王耀斌 ,等 .石羊河流域集成水资源管理绩效评价
[J].中国沙漠 ,2021 ,41 (2 ):67 -74 .
[本文引用: 1]
[33]
梁鹏飞 ,辛惠娟 ,李宗省 ,等 .祁连山黑河径流变化特征及影响因素研究
[J].干旱区地理 ,2022 ,45 (5 ):1460 -1471 .
[本文引用: 1]
[34]
花婷 ,王训明 ,郎丽丽 ,等 .甘肃省气温与降水变化趋势及其对主要流域径流量的影响
[J].中国沙漠 ,2015 ,35 (3 ):744 -752 .
[本文引用: 1]
[35]
徐浩杰 ,杨太保 ,柴绍豪 .1961—2010年讨赖河山区径流变化特征及其驱动因素
[J].中国沙漠 ,2014 ,34 (3 ):878 -884 .
[本文引用: 1]
[36]
程建忠 ,陆志翔 ,邹松兵 ,等 .黑河干流上中游径流变化及其原因分析
[J].冰川冻土 ,2017 ,39 (1 ):123 -129 .
[本文引用: 1]
[37]
王有恒 ,谭丹 ,韩兰英 ,等 .黄河流域气候变化研究综述
[J].中国沙漠 ,2021 ,41 (4 ):235 -246 .
[本文引用: 1]
IPCC第六次评估报告第一工作组报告主要结论解读及建议
1
2021
... 气候变暖已成为全球广泛关注的热点.政府间气候变化专门委员会(IPCC)第六次评估报告第一工作组报告明确指出全球升温1.5 ℃,明确要求在2050年前后实现二氧化碳零排放[1 ] .全球变暖会加速水循环、加速冰川退缩、加剧极端水文事件的发生、改变降水过程、增强水分的蒸散发,使区域水循环发生变化,导致水资源的时空再分配[2 -4 ] .中国西北干旱区水资源短缺,生态环境脆弱,严重制约了区域的经济发展[5 -8 ] .祁连山地区在中国生态文明建设中具有战略地位,是中国极其重要的冰冻圈水源涵养生态功能区和生态安全屏障区,不仅保障着区域的生态安全,也在维护生态稳定、保障径流来源和维持区域可持续发展等方面具有重要的影响[9 ] .石羊河流域是河西走廊第三大内陆河,流域内降水少,蒸发大,空气干燥,是干旱频繁发生地区[10 -11 ] . ...
近50 a西北干旱区气候变化趋势研究
1
2006
... 气候变暖已成为全球广泛关注的热点.政府间气候变化专门委员会(IPCC)第六次评估报告第一工作组报告明确指出全球升温1.5 ℃,明确要求在2050年前后实现二氧化碳零排放[1 ] .全球变暖会加速水循环、加速冰川退缩、加剧极端水文事件的发生、改变降水过程、增强水分的蒸散发,使区域水循环发生变化,导致水资源的时空再分配[2 -4 ] .中国西北干旱区水资源短缺,生态环境脆弱,严重制约了区域的经济发展[5 -8 ] .祁连山地区在中国生态文明建设中具有战略地位,是中国极其重要的冰冻圈水源涵养生态功能区和生态安全屏障区,不仅保障着区域的生态安全,也在维护生态稳定、保障径流来源和维持区域可持续发展等方面具有重要的影响[9 ] .石羊河流域是河西走廊第三大内陆河,流域内降水少,蒸发大,空气干燥,是干旱频繁发生地区[10 -11 ] . ...
Responses of streamflow to climate and land surface change in the headwaters of the Yellow River Basin
0
2009
Quantitative assessment of the impact of climate variability and human activities on runoff changes:a case study in four catchments of the Haihe River basin,China
1
2013
... 气候变暖已成为全球广泛关注的热点.政府间气候变化专门委员会(IPCC)第六次评估报告第一工作组报告明确指出全球升温1.5 ℃,明确要求在2050年前后实现二氧化碳零排放[1 ] .全球变暖会加速水循环、加速冰川退缩、加剧极端水文事件的发生、改变降水过程、增强水分的蒸散发,使区域水循环发生变化,导致水资源的时空再分配[2 -4 ] .中国西北干旱区水资源短缺,生态环境脆弱,严重制约了区域的经济发展[5 -8 ] .祁连山地区在中国生态文明建设中具有战略地位,是中国极其重要的冰冻圈水源涵养生态功能区和生态安全屏障区,不仅保障着区域的生态安全,也在维护生态稳定、保障径流来源和维持区域可持续发展等方面具有重要的影响[9 ] .石羊河流域是河西走廊第三大内陆河,流域内降水少,蒸发大,空气干燥,是干旱频繁发生地区[10 -11 ] . ...
我国典型海洋型冰川区高海拔区输出水量变化对气候变暖的响应
1
2010
... 气候变暖已成为全球广泛关注的热点.政府间气候变化专门委员会(IPCC)第六次评估报告第一工作组报告明确指出全球升温1.5 ℃,明确要求在2050年前后实现二氧化碳零排放[1 ] .全球变暖会加速水循环、加速冰川退缩、加剧极端水文事件的发生、改变降水过程、增强水分的蒸散发,使区域水循环发生变化,导致水资源的时空再分配[2 -4 ] .中国西北干旱区水资源短缺,生态环境脆弱,严重制约了区域的经济发展[5 -8 ] .祁连山地区在中国生态文明建设中具有战略地位,是中国极其重要的冰冻圈水源涵养生态功能区和生态安全屏障区,不仅保障着区域的生态安全,也在维护生态稳定、保障径流来源和维持区域可持续发展等方面具有重要的影响[9 ] .石羊河流域是河西走廊第三大内陆河,流域内降水少,蒸发大,空气干燥,是干旱频繁发生地区[10 -11 ] . ...
Changes in daily climate extremes in the arid area of northwestern China
0
2013
西北干旱区气候变化对水文水资源影响研究进展
0
2014
Assessment of diurnal variation of summer precipitation over the Qillian Mountains based on an hourly merged dataset from 2008 to 2014
1
2017
... 气候变暖已成为全球广泛关注的热点.政府间气候变化专门委员会(IPCC)第六次评估报告第一工作组报告明确指出全球升温1.5 ℃,明确要求在2050年前后实现二氧化碳零排放[1 ] .全球变暖会加速水循环、加速冰川退缩、加剧极端水文事件的发生、改变降水过程、增强水分的蒸散发,使区域水循环发生变化,导致水资源的时空再分配[2 -4 ] .中国西北干旱区水资源短缺,生态环境脆弱,严重制约了区域的经济发展[5 -8 ] .祁连山地区在中国生态文明建设中具有战略地位,是中国极其重要的冰冻圈水源涵养生态功能区和生态安全屏障区,不仅保障着区域的生态安全,也在维护生态稳定、保障径流来源和维持区域可持续发展等方面具有重要的影响[9 ] .石羊河流域是河西走廊第三大内陆河,流域内降水少,蒸发大,空气干燥,是干旱频繁发生地区[10 -11 ] . ...
典型冰冻圈地区植被变化对人类活动的响应研究:以祁连山为例
1
2019
... 气候变暖已成为全球广泛关注的热点.政府间气候变化专门委员会(IPCC)第六次评估报告第一工作组报告明确指出全球升温1.5 ℃,明确要求在2050年前后实现二氧化碳零排放[1 ] .全球变暖会加速水循环、加速冰川退缩、加剧极端水文事件的发生、改变降水过程、增强水分的蒸散发,使区域水循环发生变化,导致水资源的时空再分配[2 -4 ] .中国西北干旱区水资源短缺,生态环境脆弱,严重制约了区域的经济发展[5 -8 ] .祁连山地区在中国生态文明建设中具有战略地位,是中国极其重要的冰冻圈水源涵养生态功能区和生态安全屏障区,不仅保障着区域的生态安全,也在维护生态稳定、保障径流来源和维持区域可持续发展等方面具有重要的影响[9 ] .石羊河流域是河西走廊第三大内陆河,流域内降水少,蒸发大,空气干燥,是干旱频繁发生地区[10 -11 ] . ...
石羊河流域径流变化及归因分析
1
2020
... 气候变暖已成为全球广泛关注的热点.政府间气候变化专门委员会(IPCC)第六次评估报告第一工作组报告明确指出全球升温1.5 ℃,明确要求在2050年前后实现二氧化碳零排放[1 ] .全球变暖会加速水循环、加速冰川退缩、加剧极端水文事件的发生、改变降水过程、增强水分的蒸散发,使区域水循环发生变化,导致水资源的时空再分配[2 -4 ] .中国西北干旱区水资源短缺,生态环境脆弱,严重制约了区域的经济发展[5 -8 ] .祁连山地区在中国生态文明建设中具有战略地位,是中国极其重要的冰冻圈水源涵养生态功能区和生态安全屏障区,不仅保障着区域的生态安全,也在维护生态稳定、保障径流来源和维持区域可持续发展等方面具有重要的影响[9 ] .石羊河流域是河西走廊第三大内陆河,流域内降水少,蒸发大,空气干燥,是干旱频繁发生地区[10 -11 ] . ...
石羊河流域干旱变化趋势及气候影响因素
1
2017
... 气候变暖已成为全球广泛关注的热点.政府间气候变化专门委员会(IPCC)第六次评估报告第一工作组报告明确指出全球升温1.5 ℃,明确要求在2050年前后实现二氧化碳零排放[1 ] .全球变暖会加速水循环、加速冰川退缩、加剧极端水文事件的发生、改变降水过程、增强水分的蒸散发,使区域水循环发生变化,导致水资源的时空再分配[2 -4 ] .中国西北干旱区水资源短缺,生态环境脆弱,严重制约了区域的经济发展[5 -8 ] .祁连山地区在中国生态文明建设中具有战略地位,是中国极其重要的冰冻圈水源涵养生态功能区和生态安全屏障区,不仅保障着区域的生态安全,也在维护生态稳定、保障径流来源和维持区域可持续发展等方面具有重要的影响[9 ] .石羊河流域是河西走廊第三大内陆河,流域内降水少,蒸发大,空气干燥,是干旱频繁发生地区[10 -11 ] . ...
石羊河流域河川径流对气候与土地利用变化的响应
1
2015
... 国内外学者已对石羊河流域径流变化的特征做出大量研究.周俊菊等[12 ] 研究了石羊河流域径流对气候和土地利用变化的响应,发现1968年之前蔡旗断面径流量波动的主要因素是气候变化,1968年之后径流量的变化主要受气候变化和土地利用的影响.张晓晓等[13 ] 的研究表明1961—2010年石羊河流域出山年径流量呈微弱减少趋势,未来石羊河流域出山年径流量呈减少趋势.刘明春等[14 ] 分析了石羊河流域西营河气温和降水对径流的影响,发现气温升高使径流量减少,降水量呈增加趋势,汛期雨水是年径流量补给的主要来源.文星等[15 ] 发现石羊河流域经济发展、人口的增加和径流量的变化对绿洲的变化影响更为显著.张永勇等[16 ] 基于SWAT模型研究石羊河流域未来出山径流的变化,结果表明未来石羊河流域降水和潜在蒸散发增加,其中降水增加最为明显,由此导致未来石羊河流径流量增加.综上所述,气候变化和人类活动已经成为影响石羊河流域径流变化的主要因素,定量研究气候变化和人类活动对径流的影响,可为区域水资源的科学管理和可持续利用提供有价值的参考. ...
河西走廊三大内陆河流域出山径流变化特征及其影响因素分析
2
2014
... 国内外学者已对石羊河流域径流变化的特征做出大量研究.周俊菊等[12 ] 研究了石羊河流域径流对气候和土地利用变化的响应,发现1968年之前蔡旗断面径流量波动的主要因素是气候变化,1968年之后径流量的变化主要受气候变化和土地利用的影响.张晓晓等[13 ] 的研究表明1961—2010年石羊河流域出山年径流量呈微弱减少趋势,未来石羊河流域出山年径流量呈减少趋势.刘明春等[14 ] 分析了石羊河流域西营河气温和降水对径流的影响,发现气温升高使径流量减少,降水量呈增加趋势,汛期雨水是年径流量补给的主要来源.文星等[15 ] 发现石羊河流域经济发展、人口的增加和径流量的变化对绿洲的变化影响更为显著.张永勇等[16 ] 基于SWAT模型研究石羊河流域未来出山径流的变化,结果表明未来石羊河流域降水和潜在蒸散发增加,其中降水增加最为明显,由此导致未来石羊河流径流量增加.综上所述,气候变化和人类活动已经成为影响石羊河流域径流变化的主要因素,定量研究气候变化和人类活动对径流的影响,可为区域水资源的科学管理和可持续利用提供有价值的参考. ...
... 石羊河流域是中国西北内陆河流域中人口最集中、水资源供需矛盾最突出的地区,在全球变暖的背景下,严重的水资源短缺致使人民生活、经济发展和生态环境问题更加突出.本研究通过对石羊河流域降水和径流数据分析发现,年径流和季节径流均呈现出下降趋势,与李育鸿等[27 ] 、王文行等[28 ] 的结论一致,受气候变化和人类活动的共同影响;梁鹏飞等[33 ] 认为1990年后黑河流域径流量增加趋势明显加速,并且在黑河干流表现最为明显,花婷等[34 ] 认为黑河与疏勒河流域径流量有增加趋势,徐浩杰等[35 ] 认为讨赖河山区径流量呈微弱减少趋势,程建忠等[36 ] 认为黑河干流出山径流自1945年以来整体上呈小幅增加趋势.由此看出,内陆河流域径流变化因地区存在差异.在突变检验方面,石羊河干流、金塔河、杂木河、黄羊河和古浪河在发生突变之后,径流量均呈显著减少趋势,与人类活动关系密切,东大河和西营河均呈显著增加趋势,可能与降水的增加有关,与郭静等[30 ] 的结论不完全一致,是因为时间序列不一致.在周期变化方面,张晓晓等[13 ] 认为石羊河流域出山年径流存在5、7、19 a左右的周期波动,与本研究周期变化有较小差异. ...
石羊河流域径流量分布特征及对气候变化的响应:以西营河为例
1
2013
... 国内外学者已对石羊河流域径流变化的特征做出大量研究.周俊菊等[12 ] 研究了石羊河流域径流对气候和土地利用变化的响应,发现1968年之前蔡旗断面径流量波动的主要因素是气候变化,1968年之后径流量的变化主要受气候变化和土地利用的影响.张晓晓等[13 ] 的研究表明1961—2010年石羊河流域出山年径流量呈微弱减少趋势,未来石羊河流域出山年径流量呈减少趋势.刘明春等[14 ] 分析了石羊河流域西营河气温和降水对径流的影响,发现气温升高使径流量减少,降水量呈增加趋势,汛期雨水是年径流量补给的主要来源.文星等[15 ] 发现石羊河流域经济发展、人口的增加和径流量的变化对绿洲的变化影响更为显著.张永勇等[16 ] 基于SWAT模型研究石羊河流域未来出山径流的变化,结果表明未来石羊河流域降水和潜在蒸散发增加,其中降水增加最为明显,由此导致未来石羊河流径流量增加.综上所述,气候变化和人类活动已经成为影响石羊河流域径流变化的主要因素,定量研究气候变化和人类活动对径流的影响,可为区域水资源的科学管理和可持续利用提供有价值的参考. ...
1975—2010年石羊河流域绿洲时空演变研究
1
2013
... 国内外学者已对石羊河流域径流变化的特征做出大量研究.周俊菊等[12 ] 研究了石羊河流域径流对气候和土地利用变化的响应,发现1968年之前蔡旗断面径流量波动的主要因素是气候变化,1968年之后径流量的变化主要受气候变化和土地利用的影响.张晓晓等[13 ] 的研究表明1961—2010年石羊河流域出山年径流量呈微弱减少趋势,未来石羊河流域出山年径流量呈减少趋势.刘明春等[14 ] 分析了石羊河流域西营河气温和降水对径流的影响,发现气温升高使径流量减少,降水量呈增加趋势,汛期雨水是年径流量补给的主要来源.文星等[15 ] 发现石羊河流域经济发展、人口的增加和径流量的变化对绿洲的变化影响更为显著.张永勇等[16 ] 基于SWAT模型研究石羊河流域未来出山径流的变化,结果表明未来石羊河流域降水和潜在蒸散发增加,其中降水增加最为明显,由此导致未来石羊河流径流量增加.综上所述,气候变化和人类活动已经成为影响石羊河流域径流变化的主要因素,定量研究气候变化和人类活动对径流的影响,可为区域水资源的科学管理和可持续利用提供有价值的参考. ...
气候变化下石羊河流域径流模拟与影响量化
1
2013
... 国内外学者已对石羊河流域径流变化的特征做出大量研究.周俊菊等[12 ] 研究了石羊河流域径流对气候和土地利用变化的响应,发现1968年之前蔡旗断面径流量波动的主要因素是气候变化,1968年之后径流量的变化主要受气候变化和土地利用的影响.张晓晓等[13 ] 的研究表明1961—2010年石羊河流域出山年径流量呈微弱减少趋势,未来石羊河流域出山年径流量呈减少趋势.刘明春等[14 ] 分析了石羊河流域西营河气温和降水对径流的影响,发现气温升高使径流量减少,降水量呈增加趋势,汛期雨水是年径流量补给的主要来源.文星等[15 ] 发现石羊河流域经济发展、人口的增加和径流量的变化对绿洲的变化影响更为显著.张永勇等[16 ] 基于SWAT模型研究石羊河流域未来出山径流的变化,结果表明未来石羊河流域降水和潜在蒸散发增加,其中降水增加最为明显,由此导致未来石羊河流径流量增加.综上所述,气候变化和人类活动已经成为影响石羊河流域径流变化的主要因素,定量研究气候变化和人类活动对径流的影响,可为区域水资源的科学管理和可持续利用提供有价值的参考. ...
基于SPI的石羊河流域气候干湿变化及干旱事件的时空格局特征研究
1
2017
... 石羊河流域是甘肃省河西走廊第三大内陆河(图1 ),位于祁连山北麓,起源于冷龙岭北坡,地势南高北低,自西南向东北倾斜,全流域可分为南部祁连山区、中部走廊平原区、北部低山丘陵区及荒漠区四大地貌单元[17 ] .石羊河流域区内人口集中,以灌溉农业为主,中下游水资源供需矛盾突出[18 -20 ] .由于深居大陆腹地并与青藏高原毗邻,大气环流和气候受青藏高原的影响明显,高空主要受中纬度西风环流控制,近地面主要受季风环流控制,属大陆性温带干旱气候,太阳辐射强烈,夏季多高温,雨量较少,冬季气温严寒且干燥,年降水量90~630 mm,集中在5—10月,降水量从上游到下游依次递减,年蒸发量750~2 700 mm[21 ] .石羊河共有8条支流,自西向东依次为西大河、东大河、西营河、金塔河、杂木河、黄羊河、古浪河和大靖河. ...
石羊河流域水资源利用现状及其持续利用对策研究
1
2007
... 石羊河流域是甘肃省河西走廊第三大内陆河(图1 ),位于祁连山北麓,起源于冷龙岭北坡,地势南高北低,自西南向东北倾斜,全流域可分为南部祁连山区、中部走廊平原区、北部低山丘陵区及荒漠区四大地貌单元[17 ] .石羊河流域区内人口集中,以灌溉农业为主,中下游水资源供需矛盾突出[18 -20 ] .由于深居大陆腹地并与青藏高原毗邻,大气环流和气候受青藏高原的影响明显,高空主要受中纬度西风环流控制,近地面主要受季风环流控制,属大陆性温带干旱气候,太阳辐射强烈,夏季多高温,雨量较少,冬季气温严寒且干燥,年降水量90~630 mm,集中在5—10月,降水量从上游到下游依次递减,年蒸发量750~2 700 mm[21 ] .石羊河共有8条支流,自西向东依次为西大河、东大河、西营河、金塔河、杂木河、黄羊河、古浪河和大靖河. ...
石羊河流域高效节水灌溉与农业种植结构调整
1
2013
... 本研究表明,石羊河流域径流量总体呈减少趋势,主要原因是上游温度升高,蒸发加剧,冰川贮量减少,山区雪线明显上升,融水量减少,从而导致径流量减少;中下游坡面大面积开垦、草场过度放牧等下垫面条件发生改变,导致草原退化、林草植被退化、水土流失、水源涵养功能下降[29 ] ,由此径流量减少.这些是导致石羊河流域生态环境恶化最直接、根本的原因.因此,在未来石羊河流域治理方面,加强居民节水意识,优化用水结构,严格控制用水总量;加大草原综合治理,提升水源涵养能力,鼓励农民使用节水灌溉的工程措施和农艺措施[19 ] ,将节约的水量用于灌溉地,从而促进节水意识,推动节水发展,提高水资源利用率,进而实现水资源的可持续利用[37 ] . ...
石羊河流域降水与河水稳定同位素特征及来源研究
1
2020
... 石羊河流域是甘肃省河西走廊第三大内陆河(图1 ),位于祁连山北麓,起源于冷龙岭北坡,地势南高北低,自西南向东北倾斜,全流域可分为南部祁连山区、中部走廊平原区、北部低山丘陵区及荒漠区四大地貌单元[17 ] .石羊河流域区内人口集中,以灌溉农业为主,中下游水资源供需矛盾突出[18 -20 ] .由于深居大陆腹地并与青藏高原毗邻,大气环流和气候受青藏高原的影响明显,高空主要受中纬度西风环流控制,近地面主要受季风环流控制,属大陆性温带干旱气候,太阳辐射强烈,夏季多高温,雨量较少,冬季气温严寒且干燥,年降水量90~630 mm,集中在5—10月,降水量从上游到下游依次递减,年蒸发量750~2 700 mm[21 ] .石羊河共有8条支流,自西向东依次为西大河、东大河、西营河、金塔河、杂木河、黄羊河、古浪河和大靖河. ...
石羊河流域植被覆盖与荒漠化动态研究
1
2018
... 石羊河流域是甘肃省河西走廊第三大内陆河(图1 ),位于祁连山北麓,起源于冷龙岭北坡,地势南高北低,自西南向东北倾斜,全流域可分为南部祁连山区、中部走廊平原区、北部低山丘陵区及荒漠区四大地貌单元[17 ] .石羊河流域区内人口集中,以灌溉农业为主,中下游水资源供需矛盾突出[18 -20 ] .由于深居大陆腹地并与青藏高原毗邻,大气环流和气候受青藏高原的影响明显,高空主要受中纬度西风环流控制,近地面主要受季风环流控制,属大陆性温带干旱气候,太阳辐射强烈,夏季多高温,雨量较少,冬季气温严寒且干燥,年降水量90~630 mm,集中在5—10月,降水量从上游到下游依次递减,年蒸发量750~2 700 mm[21 ] .石羊河共有8条支流,自西向东依次为西大河、东大河、西营河、金塔河、杂木河、黄羊河、古浪河和大靖河. ...
渭干河流域生态水文时间序列特征及影响因素
1
2016
... 采用线性回归法分析径流的变化趋势,采用M-K突变检验[22 ] 对径流时间序列的突变进行检验,采用小波分析法[23 ] 分析流域周期变化,采用径流-降水双累积曲线法[24 ] 量化降水和人类活动对径流量变化的影响. ...
古浪河上游1956-2013年径流变化特征研究
1
2019
... 采用线性回归法分析径流的变化趋势,采用M-K突变检验[22 ] 对径流时间序列的突变进行检验,采用小波分析法[23 ] 分析流域周期变化,采用径流-降水双累积曲线法[24 ] 量化降水和人类活动对径流量变化的影响. ...
河南省降水量、地表水资源量变化趋势及演变关系
1
2021
... 采用线性回归法分析径流的变化趋势,采用M-K突变检验[22 ] 对径流时间序列的突变进行检验,采用小波分析法[23 ] 分析流域周期变化,采用径流-降水双累积曲线法[24 ] 量化降水和人类活动对径流量变化的影响. ...
河西内陆河径流对气候变化的响应及其流域适应性水资源管理研究
1
2013
... 从图3 和表2 可以看出,石羊河流域径流增加主要发生在夏季,其中西大河和古浪河流域径流增加主要在夏、秋季,东大河和金塔河流域主要在秋季,西营河、杂木河、黄羊河和大靖河流域径流的增加主要在秋、冬季.径流总体减少一是由于气候变化所导致的,气温升高蒸发加剧,冰川蕴藏量偏少,导致气温升高后冰川融化量减少[25 ] ;二是人类活动的影响,农民在坡面上开垦种植、放牧和地下水开采等活动对下垫面影响较大,导致降水产流减少,则出山径流减少. ...
Climate background,relative rate,and runoff effect of multiphase water transformation in Qilian Mountains,the third pole region
1
2019
... 石羊河干流和古浪河径流峰值滞后降水峰值1个月,说明降水量并未全部产流,而是将一部分水量储存起来,形成冻土层上水;西营河和金塔河径流峰值提前降水峰值1个月,造成这种现象的原因是全球变暖背景下,导致多年冻土退化,使得土壤抗渗性下降,从而提前汇流时间[26 ] ;其他流域径流峰值和降水峰值基本同步,在每年的8月同时期达到最大值,最小流量和最小降水大部分发生在1月份,具有较好的同步性(图4 ).年内分配上,石羊河上游径流平均年内分配高于中下游,而变化趋势呈现出上游波动下降、中下游波动上升的趋势.这主要是因为上游为高海拔产流区,河流主要补给来源为山区降水、冰雪融水和山区地下水[27 ] ,降水是径流的主要补给来源,这使径流集中在汛期,在一定程度上使流量年内分配增加.中下游径流年内分配呈上升趋势,这与当地引水灌溉、地下水开采、渠道衬砌等人类活动密不可分.未来石羊河出山径流也呈下降趋势,主要取决于山区降水的减少[28 ] . ...
甘肃河西石羊河流域出山径流分析及来水预测
2
2017
... 石羊河干流和古浪河径流峰值滞后降水峰值1个月,说明降水量并未全部产流,而是将一部分水量储存起来,形成冻土层上水;西营河和金塔河径流峰值提前降水峰值1个月,造成这种现象的原因是全球变暖背景下,导致多年冻土退化,使得土壤抗渗性下降,从而提前汇流时间[26 ] ;其他流域径流峰值和降水峰值基本同步,在每年的8月同时期达到最大值,最小流量和最小降水大部分发生在1月份,具有较好的同步性(图4 ).年内分配上,石羊河上游径流平均年内分配高于中下游,而变化趋势呈现出上游波动下降、中下游波动上升的趋势.这主要是因为上游为高海拔产流区,河流主要补给来源为山区降水、冰雪融水和山区地下水[27 ] ,降水是径流的主要补给来源,这使径流集中在汛期,在一定程度上使流量年内分配增加.中下游径流年内分配呈上升趋势,这与当地引水灌溉、地下水开采、渠道衬砌等人类活动密不可分.未来石羊河出山径流也呈下降趋势,主要取决于山区降水的减少[28 ] . ...
... 石羊河流域是中国西北内陆河流域中人口最集中、水资源供需矛盾最突出的地区,在全球变暖的背景下,严重的水资源短缺致使人民生活、经济发展和生态环境问题更加突出.本研究通过对石羊河流域降水和径流数据分析发现,年径流和季节径流均呈现出下降趋势,与李育鸿等[27 ] 、王文行等[28 ] 的结论一致,受气候变化和人类活动的共同影响;梁鹏飞等[33 ] 认为1990年后黑河流域径流量增加趋势明显加速,并且在黑河干流表现最为明显,花婷等[34 ] 认为黑河与疏勒河流域径流量有增加趋势,徐浩杰等[35 ] 认为讨赖河山区径流量呈微弱减少趋势,程建忠等[36 ] 认为黑河干流出山径流自1945年以来整体上呈小幅增加趋势.由此看出,内陆河流域径流变化因地区存在差异.在突变检验方面,石羊河干流、金塔河、杂木河、黄羊河和古浪河在发生突变之后,径流量均呈显著减少趋势,与人类活动关系密切,东大河和西营河均呈显著增加趋势,可能与降水的增加有关,与郭静等[30 ] 的结论不完全一致,是因为时间序列不一致.在周期变化方面,张晓晓等[13 ] 认为石羊河流域出山年径流存在5、7、19 a左右的周期波动,与本研究周期变化有较小差异. ...
气候变化对祁连山石羊河出山口径流的影响研究
2
2012
... 石羊河干流和古浪河径流峰值滞后降水峰值1个月,说明降水量并未全部产流,而是将一部分水量储存起来,形成冻土层上水;西营河和金塔河径流峰值提前降水峰值1个月,造成这种现象的原因是全球变暖背景下,导致多年冻土退化,使得土壤抗渗性下降,从而提前汇流时间[26 ] ;其他流域径流峰值和降水峰值基本同步,在每年的8月同时期达到最大值,最小流量和最小降水大部分发生在1月份,具有较好的同步性(图4 ).年内分配上,石羊河上游径流平均年内分配高于中下游,而变化趋势呈现出上游波动下降、中下游波动上升的趋势.这主要是因为上游为高海拔产流区,河流主要补给来源为山区降水、冰雪融水和山区地下水[27 ] ,降水是径流的主要补给来源,这使径流集中在汛期,在一定程度上使流量年内分配增加.中下游径流年内分配呈上升趋势,这与当地引水灌溉、地下水开采、渠道衬砌等人类活动密不可分.未来石羊河出山径流也呈下降趋势,主要取决于山区降水的减少[28 ] . ...
... 石羊河流域是中国西北内陆河流域中人口最集中、水资源供需矛盾最突出的地区,在全球变暖的背景下,严重的水资源短缺致使人民生活、经济发展和生态环境问题更加突出.本研究通过对石羊河流域降水和径流数据分析发现,年径流和季节径流均呈现出下降趋势,与李育鸿等[27 ] 、王文行等[28 ] 的结论一致,受气候变化和人类活动的共同影响;梁鹏飞等[33 ] 认为1990年后黑河流域径流量增加趋势明显加速,并且在黑河干流表现最为明显,花婷等[34 ] 认为黑河与疏勒河流域径流量有增加趋势,徐浩杰等[35 ] 认为讨赖河山区径流量呈微弱减少趋势,程建忠等[36 ] 认为黑河干流出山径流自1945年以来整体上呈小幅增加趋势.由此看出,内陆河流域径流变化因地区存在差异.在突变检验方面,石羊河干流、金塔河、杂木河、黄羊河和古浪河在发生突变之后,径流量均呈显著减少趋势,与人类活动关系密切,东大河和西营河均呈显著增加趋势,可能与降水的增加有关,与郭静等[30 ] 的结论不完全一致,是因为时间序列不一致.在周期变化方面,张晓晓等[13 ] 认为石羊河流域出山年径流存在5、7、19 a左右的周期波动,与本研究周期变化有较小差异. ...
石羊河上游1956-2009年出山径流量特征及其对气候变化的响应
2
2012
... 石羊河流域径流量的年际变化具有明显的周期变化,如图5 ~6 所示.从小波系数实部图可以看出不同时间尺度下的丰枯位相结构,表明不同的时间尺度下所对应的径流丰枯变化是不同的,小尺度的丰枯变化表现为镶嵌在大尺度下的较为复杂的丰枯结构[29 ] . ...
... 本研究表明,石羊河流域径流量总体呈减少趋势,主要原因是上游温度升高,蒸发加剧,冰川贮量减少,山区雪线明显上升,融水量减少,从而导致径流量减少;中下游坡面大面积开垦、草场过度放牧等下垫面条件发生改变,导致草原退化、林草植被退化、水土流失、水源涵养功能下降[29 ] ,由此径流量减少.这些是导致石羊河流域生态环境恶化最直接、根本的原因.因此,在未来石羊河流域治理方面,加强居民节水意识,优化用水结构,严格控制用水总量;加大草原综合治理,提升水源涵养能力,鼓励农民使用节水灌溉的工程措施和农艺措施[19 ] ,将节约的水量用于灌溉地,从而促进节水意识,推动节水发展,提高水资源利用率,进而实现水资源的可持续利用[37 ] . ...
石羊河流域出山口径流序列的多时间尺度特征
2
2013
... 因此,石羊河干流和八大支流突变分别发生在1971、2014、2000、2018、1960、1959、1962、1994、1965年,其中石羊河干流、金塔河、杂木河、黄羊河和古浪河突变后径流量减少,西大河、西营河和大靖河突变后径流量增加,东大河不具有突变性.石羊河干流、金塔河、杂木河、黄羊河和古浪河突变点的出现主要受人类活动的影响,20世纪50年代后期,祁连山因政策原因,普遍存在毁林开荒、草场过度放牧的现象,导致水土流失严重,因此上述5条河出现径流量减少的情况[30 ] . ...
... 石羊河流域是中国西北内陆河流域中人口最集中、水资源供需矛盾最突出的地区,在全球变暖的背景下,严重的水资源短缺致使人民生活、经济发展和生态环境问题更加突出.本研究通过对石羊河流域降水和径流数据分析发现,年径流和季节径流均呈现出下降趋势,与李育鸿等[27 ] 、王文行等[28 ] 的结论一致,受气候变化和人类活动的共同影响;梁鹏飞等[33 ] 认为1990年后黑河流域径流量增加趋势明显加速,并且在黑河干流表现最为明显,花婷等[34 ] 认为黑河与疏勒河流域径流量有增加趋势,徐浩杰等[35 ] 认为讨赖河山区径流量呈微弱减少趋势,程建忠等[36 ] 认为黑河干流出山径流自1945年以来整体上呈小幅增加趋势.由此看出,内陆河流域径流变化因地区存在差异.在突变检验方面,石羊河干流、金塔河、杂木河、黄羊河和古浪河在发生突变之后,径流量均呈显著减少趋势,与人类活动关系密切,东大河和西营河均呈显著增加趋势,可能与降水的增加有关,与郭静等[30 ] 的结论不完全一致,是因为时间序列不一致.在周期变化方面,张晓晓等[13 ] 认为石羊河流域出山年径流存在5、7、19 a左右的周期波动,与本研究周期变化有较小差异. ...
1
1999
... 年径流丰平枯水年变化的划分标准采用P-Ⅲ型曲线,W ≤12.5%为特丰水年12.5%<W ≤37.5%为丰水年,37.5%<W ≤62.5%为平丰水年,62.5%<W ≤87.5%为偏枯水年,W >87.5%为特枯水年[31 ] .选取石羊河干流蔡旗站1962—2020年的径流资料,根据丰平枯水年的频率划分标准,确定了石羊河流域丰平枯水年对应的径流量.按照丰平枯水年出现的次数,蔡旗站全年、汛期为丰水年,4月、5月、6月、11月、12月为平水年,非汛期、1月、2月、3月、7月、8月、9月、10月为枯水年. ...
石羊河流域集成水资源管理绩效评价
1
2021
... 上游径流变化主要受控于气候变化,中下游径流影响的主要因素是人类活动,这说明随着人口的增加,生活用水量也随之增加,农业灌溉用水和工业发展耗水的增加使得石羊河中下游径流量持续减少.因此,在未来流域治理方面,上游祁连山区要严格控制人类活动,保护好生态环境,涵养水源;中下游要进一步加强居民节水意识,优化用水结构,严格控制用水总量,加大农业种植结构调整力度,加大节水设施和节水技术尤其是高新灌溉技术的投入强度[32 ] ,提高水资源利用率,进而实现水资源的可持续利用. ...
祁连山黑河径流变化特征及影响因素研究
1
2022
... 石羊河流域是中国西北内陆河流域中人口最集中、水资源供需矛盾最突出的地区,在全球变暖的背景下,严重的水资源短缺致使人民生活、经济发展和生态环境问题更加突出.本研究通过对石羊河流域降水和径流数据分析发现,年径流和季节径流均呈现出下降趋势,与李育鸿等[27 ] 、王文行等[28 ] 的结论一致,受气候变化和人类活动的共同影响;梁鹏飞等[33 ] 认为1990年后黑河流域径流量增加趋势明显加速,并且在黑河干流表现最为明显,花婷等[34 ] 认为黑河与疏勒河流域径流量有增加趋势,徐浩杰等[35 ] 认为讨赖河山区径流量呈微弱减少趋势,程建忠等[36 ] 认为黑河干流出山径流自1945年以来整体上呈小幅增加趋势.由此看出,内陆河流域径流变化因地区存在差异.在突变检验方面,石羊河干流、金塔河、杂木河、黄羊河和古浪河在发生突变之后,径流量均呈显著减少趋势,与人类活动关系密切,东大河和西营河均呈显著增加趋势,可能与降水的增加有关,与郭静等[30 ] 的结论不完全一致,是因为时间序列不一致.在周期变化方面,张晓晓等[13 ] 认为石羊河流域出山年径流存在5、7、19 a左右的周期波动,与本研究周期变化有较小差异. ...
甘肃省气温与降水变化趋势及其对主要流域径流量的影响
1
2015
... 石羊河流域是中国西北内陆河流域中人口最集中、水资源供需矛盾最突出的地区,在全球变暖的背景下,严重的水资源短缺致使人民生活、经济发展和生态环境问题更加突出.本研究通过对石羊河流域降水和径流数据分析发现,年径流和季节径流均呈现出下降趋势,与李育鸿等[27 ] 、王文行等[28 ] 的结论一致,受气候变化和人类活动的共同影响;梁鹏飞等[33 ] 认为1990年后黑河流域径流量增加趋势明显加速,并且在黑河干流表现最为明显,花婷等[34 ] 认为黑河与疏勒河流域径流量有增加趋势,徐浩杰等[35 ] 认为讨赖河山区径流量呈微弱减少趋势,程建忠等[36 ] 认为黑河干流出山径流自1945年以来整体上呈小幅增加趋势.由此看出,内陆河流域径流变化因地区存在差异.在突变检验方面,石羊河干流、金塔河、杂木河、黄羊河和古浪河在发生突变之后,径流量均呈显著减少趋势,与人类活动关系密切,东大河和西营河均呈显著增加趋势,可能与降水的增加有关,与郭静等[30 ] 的结论不完全一致,是因为时间序列不一致.在周期变化方面,张晓晓等[13 ] 认为石羊河流域出山年径流存在5、7、19 a左右的周期波动,与本研究周期变化有较小差异. ...
1961—2010年讨赖河山区径流变化特征及其驱动因素
1
2014
... 石羊河流域是中国西北内陆河流域中人口最集中、水资源供需矛盾最突出的地区,在全球变暖的背景下,严重的水资源短缺致使人民生活、经济发展和生态环境问题更加突出.本研究通过对石羊河流域降水和径流数据分析发现,年径流和季节径流均呈现出下降趋势,与李育鸿等[27 ] 、王文行等[28 ] 的结论一致,受气候变化和人类活动的共同影响;梁鹏飞等[33 ] 认为1990年后黑河流域径流量增加趋势明显加速,并且在黑河干流表现最为明显,花婷等[34 ] 认为黑河与疏勒河流域径流量有增加趋势,徐浩杰等[35 ] 认为讨赖河山区径流量呈微弱减少趋势,程建忠等[36 ] 认为黑河干流出山径流自1945年以来整体上呈小幅增加趋势.由此看出,内陆河流域径流变化因地区存在差异.在突变检验方面,石羊河干流、金塔河、杂木河、黄羊河和古浪河在发生突变之后,径流量均呈显著减少趋势,与人类活动关系密切,东大河和西营河均呈显著增加趋势,可能与降水的增加有关,与郭静等[30 ] 的结论不完全一致,是因为时间序列不一致.在周期变化方面,张晓晓等[13 ] 认为石羊河流域出山年径流存在5、7、19 a左右的周期波动,与本研究周期变化有较小差异. ...
黑河干流上中游径流变化及其原因分析
1
2017
... 石羊河流域是中国西北内陆河流域中人口最集中、水资源供需矛盾最突出的地区,在全球变暖的背景下,严重的水资源短缺致使人民生活、经济发展和生态环境问题更加突出.本研究通过对石羊河流域降水和径流数据分析发现,年径流和季节径流均呈现出下降趋势,与李育鸿等[27 ] 、王文行等[28 ] 的结论一致,受气候变化和人类活动的共同影响;梁鹏飞等[33 ] 认为1990年后黑河流域径流量增加趋势明显加速,并且在黑河干流表现最为明显,花婷等[34 ] 认为黑河与疏勒河流域径流量有增加趋势,徐浩杰等[35 ] 认为讨赖河山区径流量呈微弱减少趋势,程建忠等[36 ] 认为黑河干流出山径流自1945年以来整体上呈小幅增加趋势.由此看出,内陆河流域径流变化因地区存在差异.在突变检验方面,石羊河干流、金塔河、杂木河、黄羊河和古浪河在发生突变之后,径流量均呈显著减少趋势,与人类活动关系密切,东大河和西营河均呈显著增加趋势,可能与降水的增加有关,与郭静等[30 ] 的结论不完全一致,是因为时间序列不一致.在周期变化方面,张晓晓等[13 ] 认为石羊河流域出山年径流存在5、7、19 a左右的周期波动,与本研究周期变化有较小差异. ...
黄河流域气候变化研究综述
1
2021
... 本研究表明,石羊河流域径流量总体呈减少趋势,主要原因是上游温度升高,蒸发加剧,冰川贮量减少,山区雪线明显上升,融水量减少,从而导致径流量减少;中下游坡面大面积开垦、草场过度放牧等下垫面条件发生改变,导致草原退化、林草植被退化、水土流失、水源涵养功能下降[29 ] ,由此径流量减少.这些是导致石羊河流域生态环境恶化最直接、根本的原因.因此,在未来石羊河流域治理方面,加强居民节水意识,优化用水结构,严格控制用水总量;加大草原综合治理,提升水源涵养能力,鼓励农民使用节水灌溉的工程措施和农艺措施[19 ] ,将节约的水量用于灌溉地,从而促进节水意识,推动节水发展,提高水资源利用率,进而实现水资源的可持续利用[37 ] . ...