干旱区退化湖盆表土及降尘的微观形貌特征和化学元素组成差异 |
| 邵梅, 罗万银, 顿耀权, 逯军峰, 王芳, 李得禄, 满多清, 雷丰丰, 张彩霞 |
|
Differences in micromorphology and chemical element composition of topsoil and dust from degraded lake basins in arid region |
| Mei Shao, Wanyin Luo, Yaoquan Dun, Junfeng Lu, Fang Wang, Delu Li, Duoqing Man, Fengfeng Lei, Caixia Zhang |
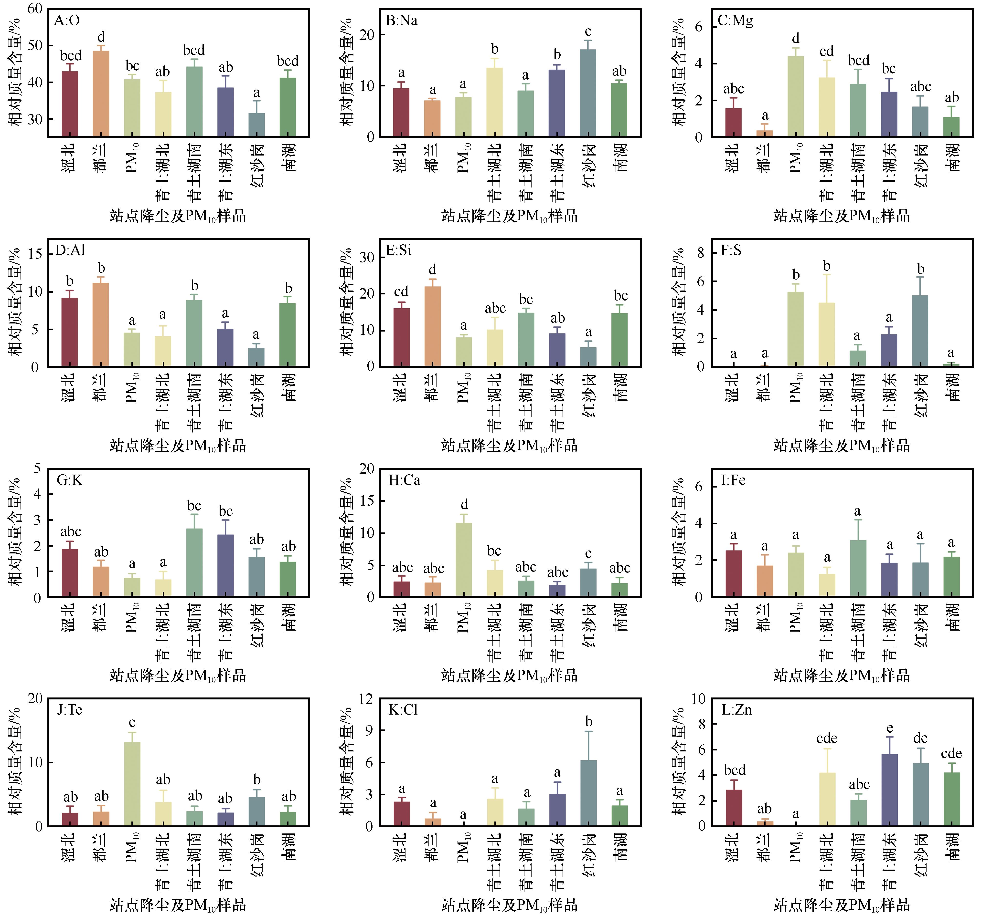
| 图6 不同站点降尘和青土湖北PM10样品中元素相对质量含量(不同的小写字母表示不同样品之间在95%置信水平上差异显著) |
| Fig.6 Relative mass content of dust elements and PM10 at different site (Different lowercase letters in the figure indicate significant differences at the 95% confidence level between different samples) |
|