酒额铁路酒泉至东风段典型沙害区段风沙环境特征 |
| 李强 |
|
Characteristics of aeolian environment in typical sand-hazard sections along the Jiuquan-Dongfeng section of Jiuquan-Ejin Banner Railway |
| Qiang Li |
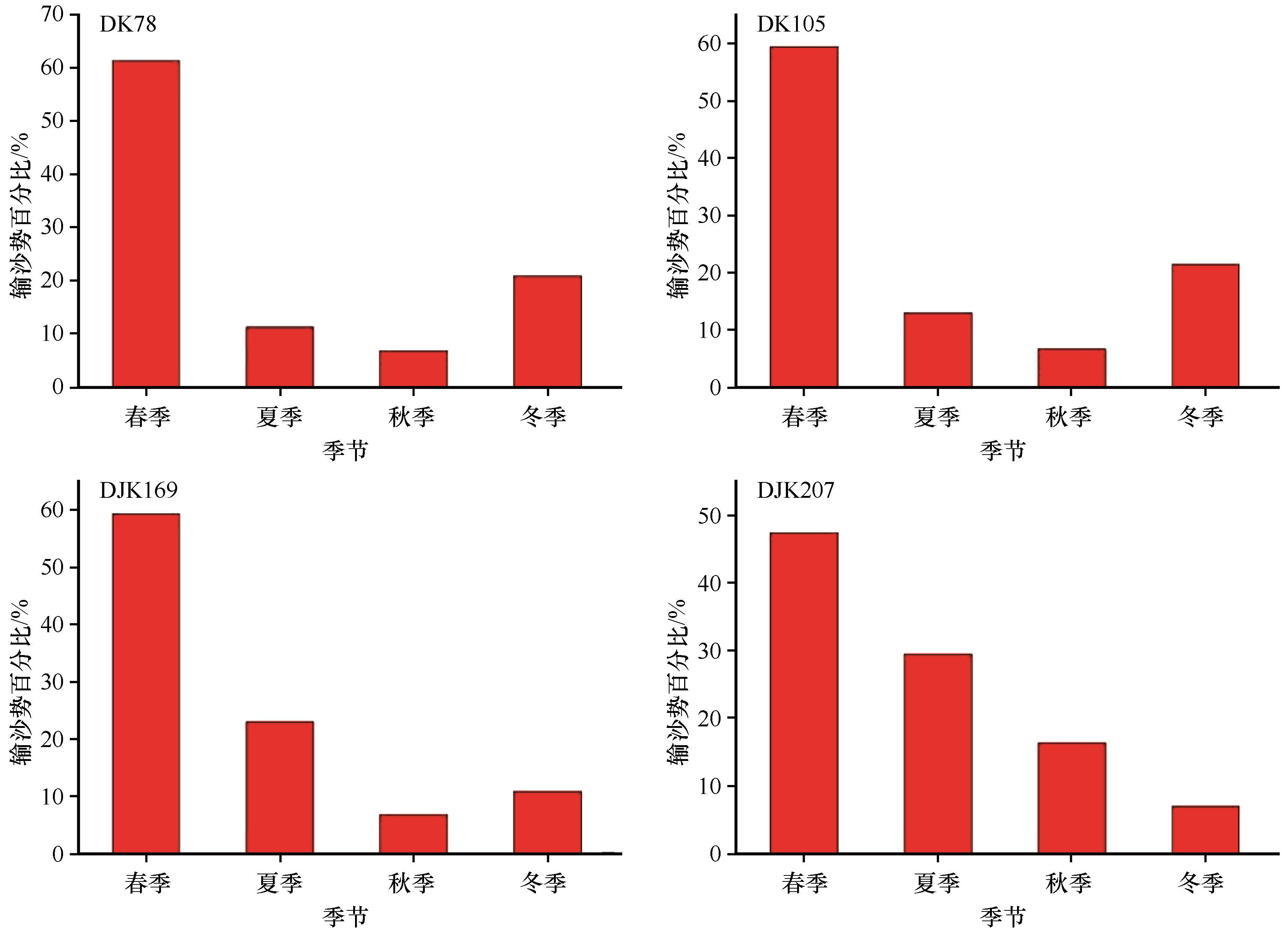
| 图7 2022年酒额铁路酒泉至东风段输沙势随季节变化 |
| Fig.7 Seasonal distribution of sand drift potential along the railway in 2022 |
|