河西走廊酒泉绿洲农田防护林格局与结构
吕王亦庄, 赵文智

The structure and pattern of farmland shelterbelts in Jiuquan Oasis of Hexi Corridor
Wangyizhuang Lv, Wenzhi Zhao
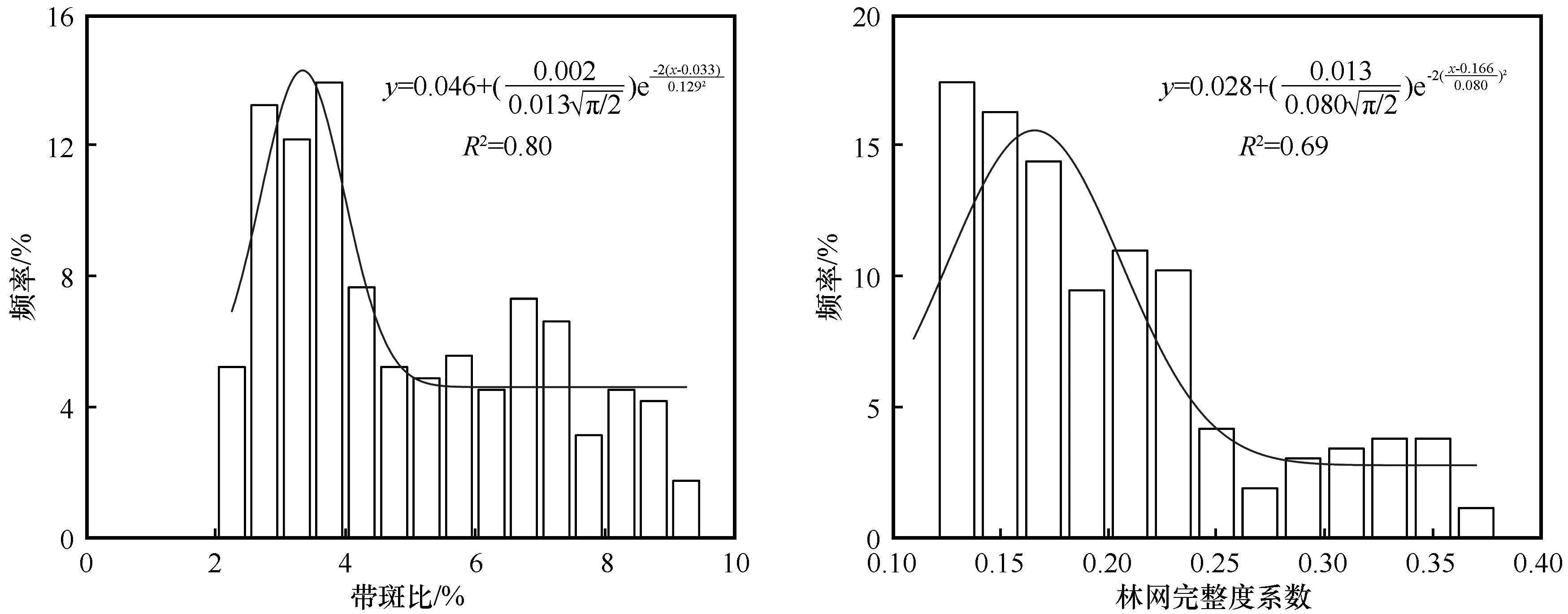
图6 2 km粒度下景观结构指数的频率分布
Fig.6 Frequency distribution of indexes at 2 km grain