西安春季沙尘对环境空气质量的影响及来源 |
| 李丽, 肖舜, 董治宝, 吕萍, 王娜, 张佳音, 韩婧, 张壮壮, 米娜, 刘随心, 刘建宝 |
|
Influence and source analysis of Spring dust storm on ambient air quality in Xi'an, China |
| Li Li, Shun Xiao, Zhibao Dong, Ping Lv, Na Wang, Jiayin Zhang, Jing Han, Zhuangzhuang Zhang, Na Mi, Suixin Liu, Jianbao Liu |
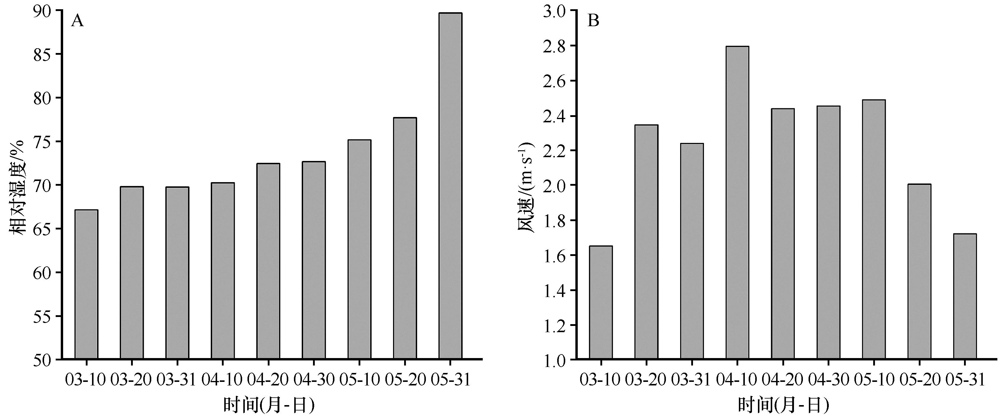
| 图5 2023年春季西安市平均风速、相对湿度变化 |
| Fig.5 Changes of average wind speed and relative humidity in Xi'an in Spring of 2023 |
|