戈壁沙冬青( Ammopiptanthus mongolicus )群落水分来源的年际动态 |
| 王阿晴, 朱雅娟, 马媛, 蔺方春, 李蕴 |
|
Inter-annual variation of water source of Ammopiptanthus mongolicus community on gobi |
| Aqing Wang, Yajuan Zhu, Yuan Ma, Fangchun Lin, Yun Li |
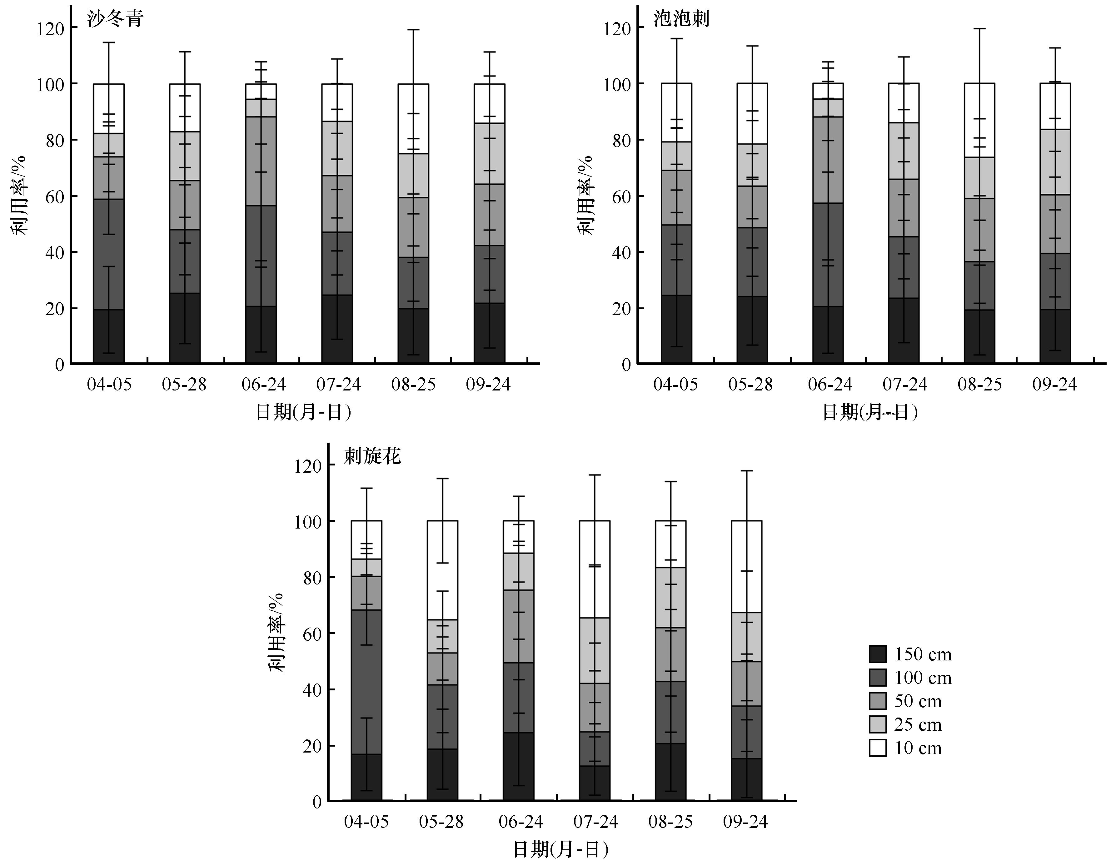
| 图4 2021年戈壁沙冬青群落3种灌木对不同深度土壤水的利用比例(平均值±标准差) |
| Fig.4 Utilization rate of three shrubs of Ammopiptanthus mongolicus community to soil water with different depths on gobi in 2021 (mean ± SD) |
|