细长柔性植株瞬态阻力的风洞模拟 |
李艳敏, 亢力强 |
Simulation of instantaneous drag force of slender flexible plant model in wind tunnel |
Yanmin Li, Liqiang Kang |
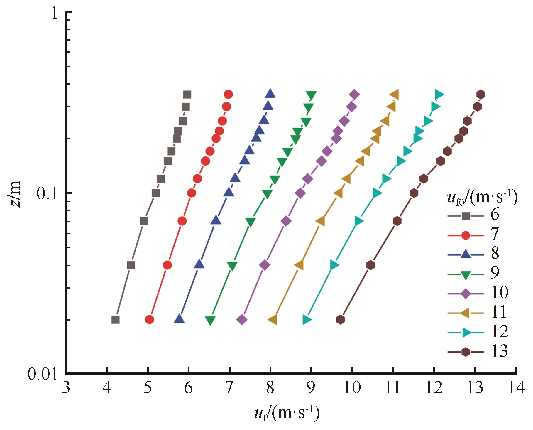
图2 风洞内风速廓线(uf为高度z处的风速,uf0为来流风速) |
Fig.2 Wind speed profiles in wind tunnel (uf is the wind speed at height z, and uf0 is the incoming wind speed) |
![]() |