柳格高速公路沿线风沙环境特征 |
张可盈, 张娴, 谢胜波 |
Environmental characteristics of wind-sand along the Liuyuan-Golmud Expressway |
Keying Zhang, Xian Zhang, Shengbo Xie |
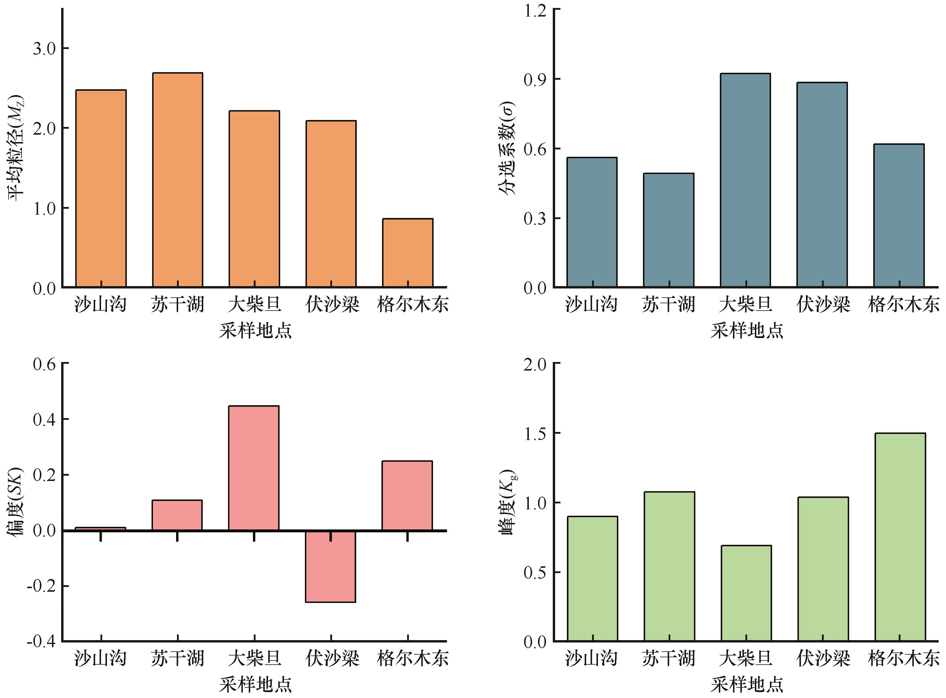
图13 研究区各观测点沉积物粒度参数对比 |
Fig.13 Comparison of particle size parameters of sediment at the observed points in the study area |
![]() |