黑河中游荒漠-绿洲过渡带典型固沙植物周围风沙运动模拟 |
| 何娜娜, 胡广录, 陈坤, 靳涛阳, 田凯夫 |
|
Numerical simulation of wind-sand movement around typical sand-fixing plants in the middle reaches of the Heihe River desert-oasis transition zone |
| Nana He, Guanglu Hu, Kun Chen, Taoyang Jin, Kaifu Tian |
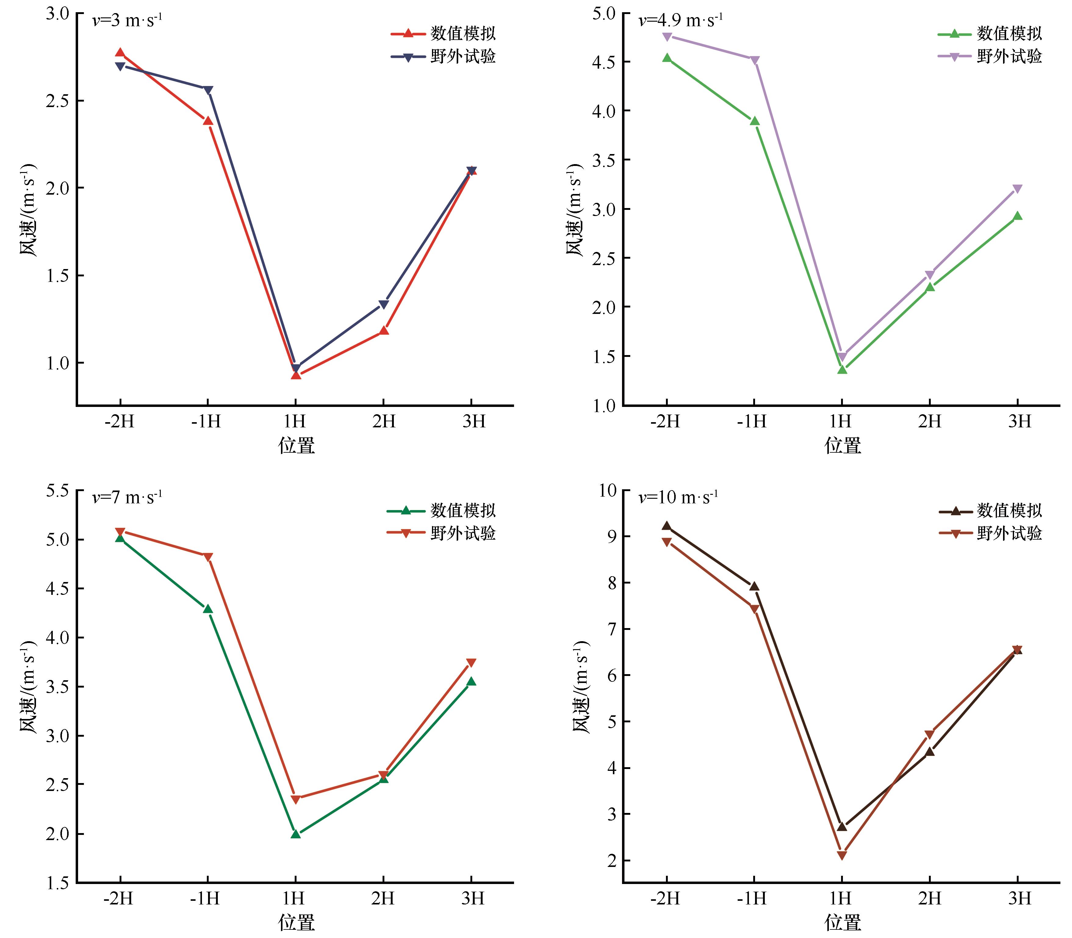
| 图3 梭梭0.5 m高度处风速对比曲线 |
| Fig.3 Comparison curve of wind speed at 0.5 m height of Shuttle |
|