接种复合藻液对河西走廊工程扰动面生物结皮及土壤性质的影响 |
| 康红梅, 张军, 李鑫, 刘金鹏 |
|
Effects of artificially inoculated composite algal solutions on biological soil crusts and soil properties in engineering-disturbed areas of the Hexi Corridor |
| Hongmei Kang, Jun Zhang, Xin Li, Jinpeng Liu |
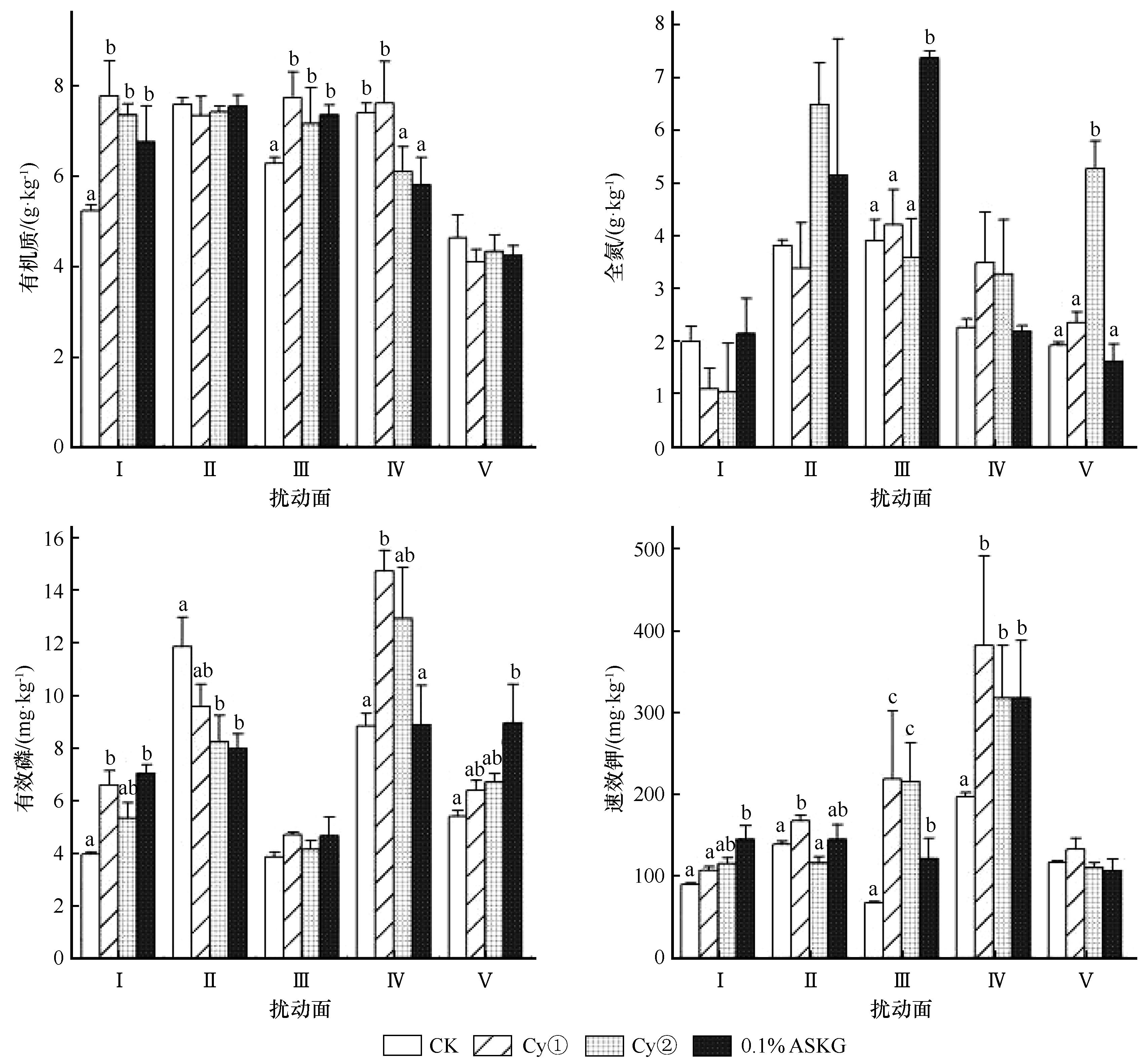
| 图4 2 a时不同扰动面(S)及处理(T)下的土壤养分 |
| Fig.4 Soil nutrients under different disturbed surfaces (S) and treatments (T) after 2 years of inoculation |
|