黄河流域生态旅游网络关注度时空演化特征与影响因素
周成 , 1 , 2 , 3 , 任敏敏 4 , 邬超 2 , 靳轶婷 3
1.山西省社会科学院(山西省人民政府发展研究中心),山西 太原 030032
2.山西工商学院 健康管理学院,山西 太原 030006
3.山西财经大学 文化旅游与新闻艺术学院/黄河流域文化和旅游研究院,山西 太原 030006
4.华东师范大学 经济与管理学院,上海 200062
Spatiotemporal evolution characteristics and influencing factors of online attention to ecotourism in the Yellow River Basin
Zhou Cheng , 1 , 2 , 3 , Ren Minmin 4 , Wu Chao 2 , Jin Yiting 3
1.Shanxi Academy of Social Sciences (Shanxi People's Government Development Research Center),Taiyuan 030032,China
2.School of Health Management,Shanxi Technology and Business University,Taiyuan 030006,China
3.School of Culture,Tourism,Journalism and Art / Yellow River Basin Culture and Tourism Research Institute,Shanxi University of Finance and Economics,Taiyuan 030006,China
4.School of Economics and Management,East China Normal University,Shanghai 200062,China
收稿日期: 2025-03-03
修回日期: 2025-03-29
基金资助:
国家社会科学基金一般项目 . 23BGL166
Received: 2025-03-03
Revised: 2025-03-29
作者简介 About authors
周成(1989—),男,山西忻州人,博士(后),副教授,主要从事黄河流域经济地理、生态旅游研究E-mail:zhoutravel@163.com
, E-mail:zhoutravel@163.com
摘要
网络关注度反映了旅游目的地在数字空间的知名度和吸引力,可表征旅游目的地的市场受青睐程度。将网络关注度引入生态旅游研究领域,运用季节强度指数、地理集中指数、赫芬达尔指数、反距离权重插值以及面板向量自回归模型,考察了黄河流域2012—2023年生态旅游网络关注度的时空演化特征及其影响因素。结果表明:(1)黄河流域生态旅游网络关注度在研究期内呈波动上升态势,可细分为快速增长、波动调整和稳步回升等3个发展阶段,年内在3—6月、9—12月呈显著的“双峰型”季节波动特征。(2)网络关注度空间分布上经历了从适度集中向均衡发展的演化过程,在黄河流域表现出南北分异、多核集聚的复合型格局。(3)黄河流域生态旅游网络关注度时空差异由多种影响因素共同作用形成,其中交通通达度和数字化水平对其空间分异的解释程度较高。
关键词:
生态旅游
;
网络关注度
;
动态演化
;
黄河流域
Abstract
Online attention not only reflects the recognition and appeal of tourist destinations in digital space but also serves as a significant indicator of their market preference in actual tourism. This study incorporates online attention into ecotourism research, employing methodologies including time intensity index, geographical concentration, Herfindahl index, inverse distance weighted interpolation, and panel vector autoregression model to investigate the spatiotemporal dynamic evolution characteristics and influencing factors of ecotourism online attention in provinces of the Yellow River Basin from 2012 to 2023. The findings reveal that: (1) The online attention to ecotourism in the Yellow River Basin demonstrated an overall upward trend with fluctuations during the study period, characterized by three distinct phases: rapid growth, adjustment with fluctuations, and steady recovery, exhibiting bimodal seasonal patterns throughout the year. (2) The spatial distribution of ecotourism online attention evolved from relative concentration to progressive equilibrium, forming a composite pattern characterized by north-south differentiation and multi-nuclear agglomeration in the Yellow River Basin. (3) The spatiotemporal variations in ecotourism online attention in the Yellow River Basin result from multiple factors, with transport accessibility and digitalization level demonstrating substantial explanatory significance for spatial differentiation.
Keywords:
ecotourism
;
online attention
;
dynamic evolution
;
Yellow River Basin
本文引用格式
周成, 任敏敏, 邬超, 靳轶婷. 黄河流域生态旅游网络关注度时空演化特征与影响因素 . 中国沙漠 [J], 2025, 45(6): 47-58 doi:10.7522/j.issn.1000-694X.2025.00035
Zhou Cheng, Ren Minmin, Wu Chao, Jin Yiting. Spatiotemporal evolution characteristics and influencing factors of online attention to ecotourism in the Yellow River Basin . Journal of Desert Research [J], 2025, 45(6): 47-58 doi:10.7522/j.issn.1000-694X.2025.00035
0 引言
生态旅游以生态环境保护为前提、以可持续发展为导向,是生态文明建设的重要抓手,也是推动区域高质量发展的关键路径。自20世纪80年代起,中国以自然保护区、森林公园、风景名胜区等为依托,在统筹环境保护与旅游开发的基础上积极探索生态旅游运营模式,为其本土化和纵深化发展打下了良好的基础[1 ] 。20世纪90年代,生态旅游理念引入与实践创新不仅显著提升了公众的生态保护意识,而且很大程度上丰富了中国旅游产品类别与体系[2 ] 。近年来,在习近平生态文明思想指引下,生态旅游已成为协调人与自然和谐共生、促进区域高质量发展的重要载体。《全国生态旅游发展规划(2016—2025)》《关于释放旅游消费潜力推动旅游业高质量发展的若干措施》等进一步为生态旅游发展指明了具体方向。此外,生态旅游相关研究在政府、学界和社会的持续关注下迈入了新阶段[3 ] 。学者们从地理、生态、旅游等学科对其理论机理与实践现状展开了广泛研究,内容聚焦于概念内涵[4 ] 、资源类目[5 ] 、产品开发[6 ] 、利益相关者[7 ] 以及发展对策[8 ] 等多方面,生态旅游呈现多元化、交叉化和融合性的研究特征[9 ] 。黄河流域横跨中国青藏高原、内蒙古高原、黄土高原和华北平原等多个地理单元,不仅是中国重要的生态功能区,也是生态旅游发展的重点区域[10 ] 。流域内拥有丰富的自然与人文要素,生态旅游的资源禀赋优越、发展潜力巨大。2019年9月,习近平总书记在河南郑州主持召开黄河流域生态保护和高质量发展座谈会,将黄河流域生态保护和高质量发展上升为了重大国家战略,为生态旅游创新发展提供了战略机遇和政策保障。
在“互联网+”时代背景下,数字技术与旅游产业的深度融合催生了在线旅游新业态,重塑了传统旅游信息传播模式和消费者行为范式。旅游者通过网络社区获取旅游信息、分享旅游行程、撰写旅游心得[11 ] ,旅游网络关注度成为旅游地市场营销和形象塑造的有效表征并受到学术界的广泛关注。学者们通过谷歌趋势[12 ] 、百度指数[13 ] 、微博游记[14 ] 等搜索引擎测度了特定主题的网络关注度特征机理。其中,百度指数因其数据可得性强、时效性好、覆盖面广等优势在旅游学界得到了广泛应用并产生了诸多成果[15 ] 。旅游网络关注度现有研究内容主要涉及不同时空尺度上的流量分布与变化趋势[16 ] 、网络关注度与实际游客的关联机制[17 ] 、旅游网络关注度的影响因素[18 ] 以及旅游流的网络结构和组织特征[19 ] 等多个方面。研究尺度则涵盖了国家[20 ] 、省域[21 ] 、地市[22 ] 等多个空间层次,并在A级景区、冰雪旅游、研学旅游、民宿旅游等细分市场形成了丰富的案例成果。近年来,随着数字技术的迭代升级和旅游产业的转型发展,一些新的研究议题开始受到了学界的关注。王兆峰等[23 ] 、王琪林等[24 ] 将旅游网络关注度分别与旅游竞争力、旅游资源丰裕度的空间错位现象展开分析。马芳芳等[25 ] 将旅游网络关注度作为虚拟旅游发展度量指标,研究了旅游虚实耦合的空间协调机制。以上研究不仅拓展了网络关注度的研究广度,也为后续研究提供了理论与方法借鉴。
当前,生态旅游和网络关注度相关研究成果日益丰富,但尚未有研究关注到生态旅游网络关注度,其时空动态演化及其影响因素有待进一步探索。另外,以往研究手段多依赖于传统的统计分析法,对空间计量方法和机器学习算法应用不足。基于此,本文立足黄河流域这一重要生态功能区,以2012—2023年生态旅游网络关注度数据为依据,运用季节强度指数、地理集中指数、赫芬达尔指数、反距离权重插值等深入剖析黄河流域生态旅游网络关注度的时空演化特征及其影响因素,以期为黄河流域生态保护和高质量发展提供理论借鉴和实践参考。
1 数据来源与研究方法
1.1 数据来源
选取黄河流域青海、四川、甘肃、宁夏、内蒙古、山西、陕西、河南和山东9个省(自治区)作为分析靶区。数据分为两大部分:一是生态旅游网络关注度数据。考虑到百度搜索引擎在中国搜索市场的主导地位(据Statcounter网站https://statcounter.com/ 数据显示,2023年其市场份额达到66.35%),以百度指数作为搜索工具。生态旅游作为一种强调自然保护、可持续发展和环境教育的旅游形态,涵盖了森林体验、湿地观光、户外徒步露营、动植物观赏、乡村田园体验等多种类型,但考虑到生态旅游作为成熟型和权威型学术概念,能在宏观层面上反映出公众对该类旅游活动的整体关注趋势。另外,从资源、产品和业态等层面选取多类别、交叉性关键词具有数据繁杂性、口径不统一等局限,而单一性关键词能保证长研究周期的数据一致性和可比性。因此,本研究以“生态旅游”作为关键词进行数据采集,时间设置为2012年1月1日至2023年12月31日,搜索得到包含PC端和移动端共计39 447条日尺度观测值,经月度和年度汇总后形成时间序列数据集。二是网络关注度影响因素数据。具体包括地区生产总值、互联网宽带接入用户数等社会经济指标,源于《中国统计年鉴》;地区接待国内外游客数源于《中国文化文物和旅游统计年鉴》;铁路、内河航道、公路里程等基础设施指标源于各省区统计年鉴;国家级自然保护区、国家森林公园、国家生态文明建设示范区、“绿水青山就是金山银山”实践创新基地数量等源于生态环境部发布的统计公报和名录库。其中,针对个别年份存在的数据缺失情况,采用插值法进行补齐,以确保数据序列的连续性和完整性。
1.2 研究方法
1.2.1 季节强度指数
季节强度指数(R )可用于量化时间序列数据中季节性波动强度,被广泛应用于旅游、经济、气象等研究领域[26 ] 。本研究即运用季节强度指数(R )来衡量黄河流域生态旅游网络关注度的年内月季分布特征:
R = ∑ i = 1 12 ( x i - 8.33 ) 2 12 (1)
式中:xi 表示第i 月生态旅游网络关注度占全年的百分点值。R 值越大,表明生态旅游网络关注度月季分配越集中,淡旺差异越大;R 值趋向于0,淡旺差异越小。
1.2.2 地理集中指数
地理集中指数(G )是衡量特定要素在空间上分布集散程度的定量指标,是经济学、地理学和管理学等领域常用的分析工具:
G = 100 × ∑ i = 1 n x i T 2 (2)
式中:xi 为i 省区生态旅游网络关注度;T 为黄河流域9省区生态旅游网络关注度总和。G 值越接近100,表明生态旅游网络关注度的空间分布越集中;反之,则分布越分散。
1.2.3 赫芬达尔指数
赫芬达尔指数(H )被用于综合测量市场或空间集中度,比地理集中指数更敏感于大份额单元的存在,能更好地反映“巨头”的影响[27 ] :
H = ∑ i = 1 n a i 2 (3)
式中:ai 表示黄河流域i 省区生态旅游网络关注度占全国关注度总量的比值。H 值域为[0,1],值越大,表示网络关注度的地区集中度越高;反之,则分布越分散。
1.2.4 变异系数
变异系数(CV )衡量数据离散程度,能够消除量纲影响,便于不同数据集间的比较分析:
C V = ∑ i = 1 n ( x i - x ¯ ) 2 n / x ¯ (4)
式中:xi 为黄河流域i 省区生态旅游网络关注度;x ¯ 为黄河流域各省区生态旅游网络关注度均值。CV 值越大,表示生态旅游网络关注度的区域差异越大。
1.2.5 反距离权重插值
反距离权重插值(IDW )以地理学第一定律为假设,将内插点与样本点之间的距离设为权重参数进行加权平均[28 ] ,能较直观地呈现黄河流域生态旅游差异演化的空间格局。
Z 0 = ∑ i = 1 n Z i 1 d i k ∑ i = 1 n 1 d i k (5)
式中:Z 0 和Zi 分别为估算点和采样点的值;di 为采样点i 与预测点间的距离;n 为估算中用到的采样点数量;K 为指定幂数。
1.2.6 面板向量自回归模型
面板向量自回归(PVAR)模型事先无须考虑变量间的因果关系,在兼顾个体效应和时间效应的基础上可以有效解决个体异质性。通过构建该模型来分析黄河流域生态旅游网络关注度的影响因素。
Y i t = a 0 + ∑ m = 1 p α m Y i , t - m + ∑ m = 1 p β m X i , t - m + f i + e i + u i t (6)
式中:Yit 为生态旅游网络关注度;a 0 为截距项;am 、β m 为因变量的待估系数;Y i , t - m 为生态旅游网络关注度滞后P 阶的因变量;X i , t - m 为生态旅游网络关注度d 的解释变量;fi 、ei 、uit 分别为个体、时间效应和随机误差项。
2 黄河流域生态旅游网络关注度时空演化特征
2.1 时序演化特征
2.1.1 年际演化特征
从总体变化趋势看,2012—2023年黄河流域生态旅游网络关注度呈现波动上升态势,搜索量从2012年的100 284次增长至2023年的165 682次,年均复合增长率为4.66%(图1 )。依据年度增长率拐点特征,可将研究期内网络关注度演化分为3个细分阶段。2012—2017年为快速增长阶段,该阶段年均复合增长率达到9.23%。2012年生态文明建设被正式写入党章,“美丽中国”战略提出并开始推进,流域省区纷纷出台政策鼓励生态旅游发展,使得该阶段生态旅游网络关注度得以快速增长。2018—2020年为波动调整阶段,网络关注度波动震荡与黄河流域生态保护和高质量发展战略的贯彻深化高度相关,各省区在生态优先理念下对旅游项目进行了系统性调整与优化升级,如内蒙古实施草原生态修复工程、青海强化了生态保护区建设、甘肃大力推进黄河水土保持治理等,短期内对游客网络搜索行为产生了一定影响,但也为后续发展奠定了基础。2021—2023年为稳步回升阶段,该时段网络关注度年均复合增长率恢复至5.43%。流域各省区深度挖掘生态旅游与文化资源的融合价值,打造了具有地域特色的生态旅游线路和产品矩阵,如河南“黄河文化游”、宁夏“塞上江南游”、甘肃“丝路体验游”等,实现了生态价值与旅游价值的有机统一,也反映出后疫情时代黄河流域生态旅游的强劲复苏特征。
图1
图1
黄河流域生态旅游网络关注度年际演化
Fig.1
Interannual variation of online attention to ecotourism in the Yellow River Basin
从搜索端口结构看,生态旅游网络关注度呈现出清晰的“双线交叉”演化特征。移动端网络搜索量占比从2012年的14.93%提升到了2023年的56.34%,成为了黄河流域生态旅游网络关注度的主要渠道。2017年,移动端搜索量首次超过PC端,此后持续保持了领先位置,搜索渠道的此消彼长反映了数字技术变革对旅游信息获取方式的重构。究其原因在于,在互联网时代新生代游客占比不断提升,“90后”和“00后”已成为生态旅游消费的新生力量,其信息获取高度依赖于移动设备。其次,碎片化时间利用价值提升,移动端满足了旅游者随时随地获取生态旅游信息的需求。再次,旅游企业数字化转型加速,流域内诸多生态旅游景区大力发展小程序、短视频和直播等移动端营销渠道,有效引导了用户搜索行为的迁移。
2.1.2 月度演化特征
借鉴周成等[29 ] 、秦宏瑶等[30 ] 相关成果,以全年关注度的1/12(8.33%)、1/18(5.55%)为判断标准,大于8.33%为旺季,小于5.55%为淡季,二者之间为平季。由图2 可知,2012—2023年黄河流域生态旅游网络关注度呈现显著的“双峰型”季节波动特征,且两峰之间呈现不对称。具体而言,3—6月的平均网络关注度在全年占比达39.91%,显著高于旺季线,构成全年的第一个高峰期,其中5月表现尤为突出,成为春季生态旅游的关注焦点,该时期生态旅游关注度较高与黄河流域春季气候宜人、生态系统恢复活力、“五一”长假旅游规划需求增长等多重因素密切相关。7—8月网络关注度处于低谷时期,平均值下降至6.58%,与全年峰值月份形成显著对比,原因可能在于,夏季黄河流域高温天气因素对生态旅游活动产生一定的抑制作用,暑期旅游市场的多元化和目的地激烈竞争分散了对该区域生态旅游的专注度。
图2
图2
黄河流域生态旅游网络关注度月度演化
Fig.2
Monthly variation of online attention to ecotourism in the Yellow River Basin
9—12月形成了全年第二个网络关注度高峰,但峰值低于春季时段。其中,11月和12月两个月尤为突出,均值分别达到了9.54%和9.81%。这一时期出现网络关注度的反弹发展与黄河流域独特的季节性景观资源(如黄河沿岸秋色、农作物丰收景观)、适宜的气温环境、“十一”黄金周以及年末假期旅游规划需求等因素关系密切。总体来看,网络关注度的季节性分布规律反映了游客出行意愿对气候条件和自然景观最佳观赏期的高度响应。从长期趋势看,黄河流域生态旅游月度关注度分布结构相对稳定,且波动幅度递减,表明旅游市场日益趋向均衡化方向发展。近年来,黄河流域沿线省区积极推出适应淡季需求的旅游产品,如内蒙古的冬季草原旅游、宁夏的夏季避暑体验以及黄河水域的徒步线路等,有效延长了传统旺季热度,平衡了淡季带来的关注波动。此外,游客获取旅游信息的行为模式也发生了显著变化——随着移动端搜索量占比逐年攀升,游客提前规划、即时决策的特征愈发明显,这进一步缓解了月度关注度分布的非均衡性。
2.2 空间演化特征
2.2.1 整体分布特征
地理集中指数、赫芬达尔指数、变异系数在2012—2023年均处于中低等水平(表1 )。地理集中指数平均值为39.15,表明生态旅游关注度在空间上存在显著差异但未形成高度集中。赫芬达尔指数平均值为0.15,同样反映出网络关注度在不同省区间的多样化分异格局。此外,3项指数呈现出清晰的前期波动上升—中期相对稳定—后期趋于下降演化特征:2012—2016年为空间分异扩大时期,地理集中指数、赫芬达尔指数和变异系呈波动上升态势,网络关注度空间差异逐步放大;2016—2019年为相对稳定时期,网络关注度指标波动幅度减小;2019—2023年成为空间均衡化发展时期,三大指标均呈现下降趋势,这种变化特征反映出黄河流域生态旅游网络关注度的空间分布格局由适度集中向更加均衡方向演进。
生态旅游网络关注度的均衡化发展由多种因素导致形成的。其一,从政策环境看,国家层面的区域协调发展战略,尤其是黄河流域生态保护和高质量发展战略的实施,通过流域系统治理理念,为流域内生态旅游资源的跨区域整合提供了制度保障和政策支撑。其二,从技术赋能看,数字技术普及和“互联网+”战略推进,使得原来信息相对闭塞的生态旅游资源能够更好地被市场感知和关注。随着数字化转型,中上游地区的生态旅游资源得以突破地理限制,被更广泛地感知和关注。其三,从区域合作看,黄河流域沿线“黄河文化旅游带”“丝绸之路经济带”等跨区域旅游合作不断深入,促进了旅游要素的跨区域流动和优化配置,客观上推动了网络关注度的空间均衡发展。总之,黄河流域生态旅游网络关注度的空间分布均衡化演化趋势,既是区域协调发展战略的成果,也为未来构建更加均衡、协同的区域生态旅游发展格局奠定了基础。
2.2.2 省际分布特征
为深入解析黄河流域生态旅游网络关注度的省际空间规律,基于2012—2023年各省区归一化处理后的网络关注度数据,以各省区省会城市地理坐标为基点,运用反距离权重插值法,基于GIS软件构建了生态旅游网络关注度的空间影像图。由图3 可知,黄河流域生态旅游网络关注度呈现出南北分异、多核集聚的复合型空间格局。从南北分异看,流域南部地区的生态旅游网络关注度普遍高于北部地区,这与该地区生态旅游资源与社会经济基础存在较为密切的关系。首先,流域南部地区生态旅游资源禀赋优越,生态环境相对良好,为该区域生态旅游发展提供了坚实基础。其次,该区域经济社会发展水平较高,居民旅游消费意愿和支付能力强,加之交通可达性好,因而形成了较大的生态旅游市场需求,促进了生态旅游网络关注度的提高。从空间集散看,网络关注度形成了以河南山东以及四川为两大区域的核心—边缘空间结构。河南山东核心区的形成得益于区域协同发展战略的深入,两省在黄河生态旅游发展中发挥引领性作用。四川核心区的崛起则主要依托其独特的生态资源优势和文化旅游基础,极大提升了区域生态旅游的网络关注度。
图3
图3
黄河流域生态旅游网络关注度反距离权重插值
注: 基于自然资源部标准地图服务网站下载的审图号为GS(2019)3333号的标准地图制作,底图无修改
Fig.3
Inverse distance weighted interpolation map of online attention to ecotourism in the Yellow River Basin
相对而言,内蒙古中部、宁夏和甘肃等流域北部省区的生态网络关注度相对较低。以上区域气候和生态环境脆弱,生态旅游资源相对有限;数字基础设施建设和智慧旅游发展相对不足,一定程度上影响了其生态旅游的网络曝光度和传播效率。值得注意的是,近年来随着国家生态文明建设以及黄河流域生态保护和高质量发展等战略的深入推进,黄河流域北部地区在生态环境修复和生态旅游开发方面取得了显著性进展。2020年以后,流域北部地区的生态旅游网络关注度增速明显快于流域南部地区,南北间的空间差异有收敛趋势,这反映出互联网时代的数字技术和网络传播对黄河流域生态旅游的区域协同发展具有拉动作用。
3 黄河流域生态旅游网络关注度的影响因素
借鉴相关研究成果[31 -33 ] 基础上,构建出一个由经济基础、数字赋能、产业支撑、空间联系和资源禀赋五大维度构成的影响因素指标体系(表2 )。其中,经济基础是生态旅游网络关注度的物质前提和形成条件。经济发展水平(X 1 )直接决定了居民生态消费能力和生态旅游消费意愿,选取地区生产总值作为衡量区域经济发展水平的指标,以反映经济基础对生态旅游网络关注度的支撑作用。数字赋能为网络关注度的形成提供技术支撑。根据信息传播和数字经济理论,数字化水平(X 2 )一定程度上决定了生态旅游信息的传播效率以及触及范围,选取互联网宽带接入用户数作为衡量区域数字化发展水平的指标。进一步,产业支撑为网络关注度的维持和提升奠定了产业基础。旅游接待水平(X 3 )不仅表征了区域旅游产业的整体发展水平,更反映了包括住宿、餐饮、交通、娱乐等在内的旅游服务配套能力,选取接待国内外游客数作为地区旅游接待水平的指标,以印证旅游产业对生态旅游网络关注度的支撑作用。
空间联系在网络关注度转化为实际旅游行为中扮演着关键角色。交通通达度(X 4 )刻画了生态旅游目的地的可达能力和吸引半径,本研究以区域铁路、内河航道、公路总里程加以表征。资源禀赋则是生态旅游网络关注度形成的核心要素,生态旅游资源(X 5 )是生态旅游地形成吸引力的根本所在,国家级自然保护区、森林公园等高品质生态空间不仅代表了区域生态资源的丰富程度,也是生态旅游产品开发的基础。借鉴段雪岩等[34 ] 、高玉娟等[35 ] 的研究成果,用国家级自然保护区、森林公园、生态文明建设示范区以及“绿水青山就是金山银山”实践创新基地数量衡量生态旅游资源因素。进一步,运用SPSS统计软件进行Pearson相关性分析,识别各因素与网络关注度之间的相关强度和显著性水平。其次,构建面板向量自回归(PVAR)模型,以深入探究各影响因素对网络关注度的动态作用机制和传导路径。
3.1 平稳性检验和最佳滞后阶数
在构建PVAR模型之前需要对变量平稳性进行检验,以避免出现伪回归问题。通过STATA 16.0软件对生态旅游网络关注度(Y )及5个潜在影响因素进行LLC、IPS和HT互补性检验(表3 )。初始检验结果显示,数字化水平(X 2 )、旅游接待水平(X 3 )、生态旅游资源丰裕度(X 5 )变量序列存在非平稳特征,未能在传统显著性水平上拒原假设。为确保模型估计的可靠性,本研究对所有变量进行一阶差分处理,并重新进行单位根检验。差分后的检验结果(表4 )表明,6个变量均通过了平稳性检验,满足了PVAR模型构建的基本前提条件。
接下来确定最佳滞后阶数,通常根据AIC、BIC、HQIC统计量最小值阶数决定,结果显示,PVAR模型滞后阶数为1阶时三者统计值均最低(表4 )。因此,本文研究模型最佳滞后阶数为1阶。
3.2 脉冲响应分析
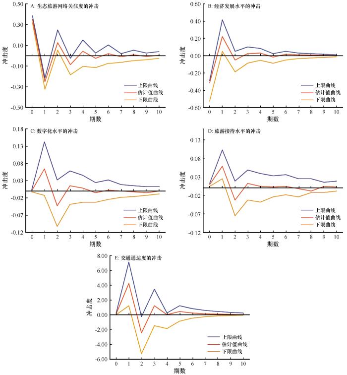
按照最佳滞后1阶进行PVAR模型的GMM估计,研究发现经济发展水平、数字化水平、旅游接待水平、交通通达度、生态旅游资源解释变量对黄河流域生态旅游网络关注度的参数估计均显著。此外,通过格兰杰因果检验以衡量上述5个解释变量与被解释变量之间是否存在因果关系,结果显示除生态旅游资源外(P =0.486),其余变量均是生态旅游网络关注度的格兰杰原因,且通过了显著性检验。进一步,为了确定各解释变量与生态旅游网络关注度的具体动态关系,通过脉冲响应分别描述其余4个解释变量及生态旅游网络关注度自身随着时间推移对生态旅游网络关注度的动态冲击和影响路径,本文生产10期脉冲响应函数(图4 )。
图4
图4
脉冲响应函数解析
Fig.4
Impulse response function analysis
生态旅游网络关注度对自身的脉冲响应(图4 A)呈现典型的高波动—渐趋稳定特征,初始冲击即达到峰值,之后在正负波动中逐渐收敛,并在第8期后收敛至0值附近,这种自我调节机制反映出黄河流域生态旅游市场已形成相对成熟的需求调节体系。经济发展水平的冲击效应表现出中强度—持续性特征(图4 B),在第1期时达到峰值随后进入持续收敛通道,在第6期时影响作用逐渐趋于平稳,这表明生态旅游发展离不开区域经济支持,良好的经济条件从资金与技术等层面推动生态旅游可持续发展。数字化水平和旅游接待水平(图4 C~D)初始冲击均接近0值,第1期时达到峰值,第2期由正转负,从第3期之后保持相对平缓的波动特征,长期影响较轻微。上述表明短期内数字化水平和区域旅游接待规模又会对生态旅游的网络关注度产生明显的推动作用,基于网络快速传播和市场不断拓展,有助于其网络关注度的快速跃升,但从长远来看二者的推动作用会趋于减弱。交通通达度(图4 E)对生态旅游网络关注度的冲击效应最强且幅度最大,在第1期时达到峰值(约7个单位),随后第2期到第4期间出现了剧烈波动,这种显著波动特征凸显了交通基础设施在生态旅游发展中的关键作用,与近年来黄河流域各省区大力推进旅游交通基础设施建设的实践经验相吻合。
3.3 方差分解
为准确地考察各解释变量与黄河流域生态旅游网络关注度之间的作用程度,对所有因素进行方差分解(分析期数为10期)。结果显示,生态旅游网络关注度对其自身的解释能力较强,10期的贡献率均在70%以上,由第1期的100%变化至第10期的74.2%,这表明生态旅游网络关注度对其自身的解释程度较强,虽然解释程度有所减弱但并不影响其自身的主导地位。除生态旅游网络关注度自身影响外,其余各因素的解释程度为:交通通达度>数字化水平>旅游接待水平>经济发展水平。
交通通达度对生态旅游网络关注度的解释程度从第2期开始显现,由2.3%增加至第10期的10.6%且趋于稳定,可见黄河流域省区交通网络的变动能较大程度地影响其生态旅游网络关注度的变化;数字化水平对生态旅游网络关注度的解释程度次之,随期数延长其方差贡献度由2.1%增强至7.4%;旅游接待水平对其解释的贡献率处于中等位置,第2期开始始终保持在5%左右水平,即生态旅游网络关注度预测方差5%可由旅游接待水平的变动加以解释。经济发展水平对生态旅游网络关注度的贡献度在第10期为2.7%,这说明经济发展水平对生态旅游网络关注度的影响作用较有限。
4 讨论
生态旅游是推进黄河流域生态保护和高质量发展的重要举措。本文将网络关注度引入生态旅游研究领域,考察了黄河流域沿线省区生态旅游网络关注度的时空动态演化,不仅一定程度上丰富了区域生态旅游的理论研究体系,更为生态旅游市场潜力开发提供了新思路。此外,本文发现的黄河流域生态旅游网络关注度阶段性特征与葛励闻[36 ] 对中国旅游经济宏观发展、郭强等[37 ] 对省域旅游高质量发展的阶段划分具有相似性,这表明网络关注度作为旅游市场的先导性指标,能够有效反映区域旅游产业阶段性特征。网络关注度的季节性周期特征与卢长宝等[38 ] 对微旅游、毛志莹等[39 ] 对武夷山国家公园、王钦安等[40 ] 对安徽红色旅游网络关注度的分析结论相一致,但淡旺季分布存在一定的差异,这主要归因于案例地存在显著的南北方地域差异。进一步,通过建构基于经济基础、数字赋能、产业支撑、空间联系和资源禀赋在内的生态旅游网络关注度PVAR模型,系统揭示了黄河流域生态旅游网络关注度的影响因素作用机制,突破了以往网络关注度影响因素静态分析的局限性[41 -42 ] 。另外,本研究发现交通通达度和数字化水平对生态旅游网络关注度产生显著性影响,这一结论不仅验证了已有研究关于基础设施建设对区域旅游发展的推动作用[43 ] ,也侧面反映了黄河流域生态旅游具有如下特性,即生态旅游地往往相对偏远并受交通制约较强,游客生态旅游体验更易受预期构建和网络信息获取的影响。
与此同时,本文也存在如下不足和需改善之处:其一,考虑到百度指数在网络搜索市场上的主导地位,本研究将其作为生态旅游网络关注度的数据获取主渠道,但单一数据渠道可能导致对黄河流域生态旅游网络关注度刻画不够全面,未来可以考虑将微博、抖音、快手等多平台数据进行整合,构建更为综合和全面的网络关注度评价体系,以更准确、更科学地反映不同年龄层次、不同区域人群对黄河流域生态旅游的偏好。其二,网络关注度影响因素分析重点关注了宏观层面的社会经济和基础设施等指标,对微观层面的游客行为和决策等因素关注不足。事实上,游客环境意识、消费能力、出游行为等会显著影响其对生态旅游的网络关注度。未来可以结合网络文本分析和游客深度访谈等混合研究法,深入探索和建构黄河流域生态旅游网络关注度的微观影响机制。
5 结论
2012—2023年黄河流域生态旅游网络关注度呈现波动上升态势,具体可分为2012—2017年的快速增长、2018—2020年的波动调整以及2021—2023年的稳步回升等3个发展阶段。从季节变化看,生态旅游网络关注度呈现显著的“双峰型”季节波动特征,即3—6月、9—12月属于一年中的两个高峰期。
黄河流域生态旅游网络关注度的空间分布格局经历了从适度集中向均衡化的方向演进,并由政策环境、技术赋能、区域合作等多种因素引致形成。从省际分布来看,生态旅游网络关注度在黄河流域呈现出南北分异、多核集聚的复合型格局,形成了以河南山东以及四川为两大区域的核心-边缘空间结构。
黄河流域生态旅游网络关注度时空差异由多种影响因素共同作用形成。除生态旅游资源外,其余5个解释变量均为生态旅游网络关注度的格兰杰原因。此外,生态旅游网络关注度对其自身的解释程度较强,其余因素的解释程度交通通达度>数字化水平>旅游接待水平>经济发展水平。
参考文献
View Option
[1]
钟林生 ,李猛 .中国生态旅游研究热点演变与趋势:基于CiteSpace知识图谱分析
[J].中国生态旅游 ,2021 ,11 (1 ):95 -110 .
[本文引用: 1]
[2]
何星 .川西北高原藏区乡村生态旅游发展及扶贫效应研究
[D].成都 :西南民族大学 ,2020 .
[本文引用: 1]
[3]
邱成梁 .生态旅游发展中生态保护的法律保障
[J].旅游学刊 ,2021 ,36 (9 ):10 -12 .
[本文引用: 1]
[4]
钟林生 ,马向远 ,曾瑜皙 .中国生态旅游研究进展与展望
[J].地理科学进展 ,2016 ,35 (6 ):679 -690 .
[本文引用: 1]
[5]
更群东主 ,羊进拉毛 .国家公园生态旅游可持续发展的多元主体共治模式:对黄河源国家公园的考察
[J].青海民族大学学报(社会科学版) ,2024 ,50 (4 ):48 -56 .
[本文引用: 1]
[6]
管芸 ,唐仲霞 ,陈正逸 .祁连山国家公园青海片区生态旅游开发适宜性研究
[J].干旱区资源与环境 ,2023 ,37 (12 ):151 -161 .
[本文引用: 1]
[7]
袁利 .基于“利益平衡”的生态旅游正义及实现路径
[J].生态经济 ,2022 ,38 (3 ):149 -156 .
[本文引用: 1]
[8]
李志远 ,冯学钢 ,何静 ,等 .中国旅游生态韧性空间关联网络结构及其驱动因素
[J].地理研究 ,2024 ,43 (5 ):1146 -1165 .
[本文引用: 1]
[9]
刘艳侠 ,石霖 ,王洋 .生物多样性与当地知识促进偏远农村地区生态旅游发展的路径
[J].西南大学学报(自然科学版) ,2024 ,46 (6 ):123 -133 .
[本文引用: 1]
[10]
生延超 ,谭左思 ,李倩 ,等 .数字经济能否促进黄河流域旅游经济韧性提升?
[J].干旱区地理 ,2023 ,46 (10 ):1704 -1713 .
[本文引用: 1]
[11]
陈莹盈 ,林德荣 .强关系网络移动社交平台旅游分享行为研究:基于微信与QQ用户的资料分析
[J].旅游学刊 ,2020 ,35 (4 ):89 -103 .
[本文引用: 1]
[12]
Padhi S S , Pati R K .Quantifying potential tourist behavior in choice of destination using Google Trends
[J].Tourism Management Perspectives ,2017 ,24 :34 -47 .
[本文引用: 1]
[13]
李会琴 ,惠余杰 ,代姗姗 ,等 .中国5A级旅游景区网络关注度时空格局演变与影响因素
[J].中国生态旅游 ,2024 ,14 (1 ):151 -166 .
[本文引用: 1]
[14]
曾铭 .中国会展城市网络关注度时空分布特征及其影响因素研究
[D].长沙 :湖南师范大学 ,2019 .
[本文引用: 1]
[15]
徐珩 ,张佑印 .中国海滨浴场网络关注度时空演变及影响因素研究
[J].旅游论坛 ,2024 ,17 (3 ):13 -25 .
[本文引用: 1]
[16]
王秋龙 ,潘立新 ,吕俭 ,等 .基于网络关注度的安徽省居民省内旅游需求时空特征分析
[J].地域研究与开发 ,2021 ,40 (1 ):120 -125 .
[本文引用: 1]
[17]
孙烨 ,张宏磊 ,刘培学 ,等 .基于旅游者网络关注度的旅游景区日游客量预测研究:以不同客户端百度指数为例
[J].人文地理 ,2017 ,32 (3 ):152 -160 .
[本文引用: 1]
[18]
李磊 ,陶卓民 ,赖志城 ,等 .长征国家文化公园红色旅游资源网络关注度及其旅游流网络结构分析
[J].自然资源学报 ,2021 ,36 (7 ):1811 -1824 .
[本文引用: 1]
[19]
马丽君 ,肖洋 .典型城市居民国内旅游流网络结构特征
[J].经济地理 ,2018 ,38 (2 ):197 -205 .
[本文引用: 1]
[20]
焦珊珊 ,李明 ,田逢军 ,等 .中国红色旅游经典景区网络关注度分布格局及驱动机制
[J].经济地理 ,2022 ,42 (1 ):211 -220 .
[本文引用: 1]
[21]
赵芮 ,赵恒 ,丁志伟 .基于网络关注度的中国沙漠型A级景区空间格局及其影响因素分析
[J].中国沙漠 ,2022 ,42 (5 ):101 -113 .
[本文引用: 1]
[22]
陆利军 ,戴湘毅 .基于百度指数的湖南旅游目的地城市旅游者网络关注度及其空间格局研究
[J].长江流域资源与环境 ,2020 ,29 (4 ):836 -849 .
[本文引用: 1]
[23]
王兆峰 ,汤桂林 .中国省域旅游竞争力与旅游网络关注度空间错位研究
[J].地理与地理信息科学 ,2024 ,40 (2 ):142 -150 .
[本文引用: 1]
[24]
王琪林 ,杨霞 ,方怡 .四川省旅游资源丰裕度与旅游网络关注度空间错位演变及影响因素分析
[J].旅游科学 ,2023 ,37 (1 ):43 -58 .
[本文引用: 1]
[25]
马芳芳 ,王世鹏 ,王芳 ,等 .黄河流域城市旅游虚实耦合协调水平的空间差异
[J].经济地理 ,2024 ,44 (5 ):222 -229 .
[本文引用: 1]
[26]
吕平安 ,周青云 ,先建春 ,等 .安徽省季节干旱时空特征及对大气环流的响应
[J].水利水电技术(中英文) ,2023 ,54 (12 ):93 -105 .
[本文引用: 1]
[27]
周韩梅 ,刘新智 .我国八大城市群空间结构的演化特征及其驱动因素
[J].经济问题探索 ,2023 (10 ):73 -84 .
[本文引用: 1]
[28]
蔡永龙 ,陈忠暖 ,梅茂婷 .20世纪末以来欧洲联盟区域经济差异演变特征及空间分异
[J].世界地理研究 ,2017 ,26 (4 ):31 -39 .
[本文引用: 1]
[29]
周成 ,冯学钢 .泰国旅华市场时空结构与拓展策略研究
[J].世界地理研究 ,2015 ,24 (4 ):142 -151 .
[本文引用: 1]
[30]
秦宏瑶 ,唐勇 .基于季节指数的四川省旅游季节性研究
[J].资源开发与市场 ,2014 ,30 (3 ):374 -377 .
[本文引用: 1]
[31]
高原 ,邢婷婷 ,马瑛敏 .黄河流域旅游韧性时空演变及驱动因子分析
[J].西北大学学报(哲学社会科学版) ,2024 ,54 (6 ):124 -136 .
[本文引用: 1]
[32]
杜娅明 ,白永平 ,梁建设 ,等 .黄河流域旅游业碳排放效率综合测度及影响因素研究
[J].干旱区地理 ,2023 ,46 (12 ):2074 -2085 .
[33]
孙久文 ,陈超君 ,孙铮 .黄河流域城市经济韧性研究和影响因素分析:基于不同城市类型的视角
[J].经济地理 ,2022 ,42 (5 ):1 -10 .
[本文引用: 1]
[34]
段雪岩 ,黄志强 .生态旅游背景下自然保护区农户生计策略转变意愿研究:以庐山国家级自然保护区为例
[J].干旱区资源与环境 ,2023 ,37 (7 ):48 -56 .
[本文引用: 1]
[35]
高玉娟 ,高瑞晨 ,陈文慧 .基于重要性-绩效分析法的生态旅游公共信息服务满意度实证研究:以6个国家森林公园景区为例
[J].林业经济 ,2022 ,44 (9 ):35 -49 .
[本文引用: 1]
[36]
葛励闻 .吉林省沿边地区生态资源转化旅游经济发展研究
[J].延边党校学报 ,2024 ,40 (1 ):73 -77 .
[本文引用: 1]
[37]
郭强 ,李秋哲 .中国省域旅游业高质量发展综合评价与时空演化
[J/OL].旅游科学 ,1 -29 [2025-03-22 ]..
[本文引用: 1]
[38]
卢长宝 ,张羽 ,王储 .微旅游代表性形式网络关注度时空特征及其影响因素
[J].地域研究与开发 ,2024 ,43 (5 ):67 -73 .
[本文引用: 1]
[39]
毛志莹 ,罗镁玲 ,董思宁 ,等 .基于百度指数的武夷山国家公园网络关注度时空特征研究
[J].四川林业科技 ,2023 ,44 (2 ):94 -102 .
[本文引用: 1]
[40]
王钦安 ,曹炜 ,张丽惠 .安徽省红色旅游网络关注度时空分布研究
[J].资源开发与市场 ,2022 ,38 (5 ):627 -633 .
[本文引用: 1]
[41]
李娜 ,汪海 .中国徒步旅游网络关注度的时空特征及影响因素
[J].体育教育学刊 ,2024 ,40 (5 ):53 -60 .
[本文引用: 1]
[42]
罗婉琳 ,于佳甜 ,王世鹏 ,等 .湖南省红色景区网络关注度的空间差异及其影响因素
[J].湖南师范大学自然科学学报 ,2024 ,47 (6 ):34 -43 .
[本文引用: 1]
[43]
周成 ,赵亚玲 ,任敏敏 ,等 .黄河流域国家湿地公园时空分异、重心演化与驱动因素分析
[J].干旱区地理 ,2024 ,47 (3 ):506 -514 .
[本文引用: 1]
中国生态旅游研究热点演变与趋势:基于CiteSpace知识图谱分析
1
2021
... 生态旅游以生态环境保护为前提、以可持续发展为导向,是生态文明建设的重要抓手,也是推动区域高质量发展的关键路径.自20世纪80年代起,中国以自然保护区、森林公园、风景名胜区等为依托,在统筹环境保护与旅游开发的基础上积极探索生态旅游运营模式,为其本土化和纵深化发展打下了良好的基础[1 ] .20世纪90年代,生态旅游理念引入与实践创新不仅显著提升了公众的生态保护意识,而且很大程度上丰富了中国旅游产品类别与体系[2 ] .近年来,在习近平生态文明思想指引下,生态旅游已成为协调人与自然和谐共生、促进区域高质量发展的重要载体.《全国生态旅游发展规划(2016—2025)》《关于释放旅游消费潜力推动旅游业高质量发展的若干措施》等进一步为生态旅游发展指明了具体方向.此外,生态旅游相关研究在政府、学界和社会的持续关注下迈入了新阶段[3 ] .学者们从地理、生态、旅游等学科对其理论机理与实践现状展开了广泛研究,内容聚焦于概念内涵[4 ] 、资源类目[5 ] 、产品开发[6 ] 、利益相关者[7 ] 以及发展对策[8 ] 等多方面,生态旅游呈现多元化、交叉化和融合性的研究特征[9 ] .黄河流域横跨中国青藏高原、内蒙古高原、黄土高原和华北平原等多个地理单元,不仅是中国重要的生态功能区,也是生态旅游发展的重点区域[10 ] .流域内拥有丰富的自然与人文要素,生态旅游的资源禀赋优越、发展潜力巨大.2019年9月,习近平总书记在河南郑州主持召开黄河流域生态保护和高质量发展座谈会,将黄河流域生态保护和高质量发展上升为了重大国家战略,为生态旅游创新发展提供了战略机遇和政策保障. ...
川西北高原藏区乡村生态旅游发展及扶贫效应研究
1
2020
... 生态旅游以生态环境保护为前提、以可持续发展为导向,是生态文明建设的重要抓手,也是推动区域高质量发展的关键路径.自20世纪80年代起,中国以自然保护区、森林公园、风景名胜区等为依托,在统筹环境保护与旅游开发的基础上积极探索生态旅游运营模式,为其本土化和纵深化发展打下了良好的基础[1 ] .20世纪90年代,生态旅游理念引入与实践创新不仅显著提升了公众的生态保护意识,而且很大程度上丰富了中国旅游产品类别与体系[2 ] .近年来,在习近平生态文明思想指引下,生态旅游已成为协调人与自然和谐共生、促进区域高质量发展的重要载体.《全国生态旅游发展规划(2016—2025)》《关于释放旅游消费潜力推动旅游业高质量发展的若干措施》等进一步为生态旅游发展指明了具体方向.此外,生态旅游相关研究在政府、学界和社会的持续关注下迈入了新阶段[3 ] .学者们从地理、生态、旅游等学科对其理论机理与实践现状展开了广泛研究,内容聚焦于概念内涵[4 ] 、资源类目[5 ] 、产品开发[6 ] 、利益相关者[7 ] 以及发展对策[8 ] 等多方面,生态旅游呈现多元化、交叉化和融合性的研究特征[9 ] .黄河流域横跨中国青藏高原、内蒙古高原、黄土高原和华北平原等多个地理单元,不仅是中国重要的生态功能区,也是生态旅游发展的重点区域[10 ] .流域内拥有丰富的自然与人文要素,生态旅游的资源禀赋优越、发展潜力巨大.2019年9月,习近平总书记在河南郑州主持召开黄河流域生态保护和高质量发展座谈会,将黄河流域生态保护和高质量发展上升为了重大国家战略,为生态旅游创新发展提供了战略机遇和政策保障. ...
生态旅游发展中生态保护的法律保障
1
2021
... 生态旅游以生态环境保护为前提、以可持续发展为导向,是生态文明建设的重要抓手,也是推动区域高质量发展的关键路径.自20世纪80年代起,中国以自然保护区、森林公园、风景名胜区等为依托,在统筹环境保护与旅游开发的基础上积极探索生态旅游运营模式,为其本土化和纵深化发展打下了良好的基础[1 ] .20世纪90年代,生态旅游理念引入与实践创新不仅显著提升了公众的生态保护意识,而且很大程度上丰富了中国旅游产品类别与体系[2 ] .近年来,在习近平生态文明思想指引下,生态旅游已成为协调人与自然和谐共生、促进区域高质量发展的重要载体.《全国生态旅游发展规划(2016—2025)》《关于释放旅游消费潜力推动旅游业高质量发展的若干措施》等进一步为生态旅游发展指明了具体方向.此外,生态旅游相关研究在政府、学界和社会的持续关注下迈入了新阶段[3 ] .学者们从地理、生态、旅游等学科对其理论机理与实践现状展开了广泛研究,内容聚焦于概念内涵[4 ] 、资源类目[5 ] 、产品开发[6 ] 、利益相关者[7 ] 以及发展对策[8 ] 等多方面,生态旅游呈现多元化、交叉化和融合性的研究特征[9 ] .黄河流域横跨中国青藏高原、内蒙古高原、黄土高原和华北平原等多个地理单元,不仅是中国重要的生态功能区,也是生态旅游发展的重点区域[10 ] .流域内拥有丰富的自然与人文要素,生态旅游的资源禀赋优越、发展潜力巨大.2019年9月,习近平总书记在河南郑州主持召开黄河流域生态保护和高质量发展座谈会,将黄河流域生态保护和高质量发展上升为了重大国家战略,为生态旅游创新发展提供了战略机遇和政策保障. ...
中国生态旅游研究进展与展望
1
2016
... 生态旅游以生态环境保护为前提、以可持续发展为导向,是生态文明建设的重要抓手,也是推动区域高质量发展的关键路径.自20世纪80年代起,中国以自然保护区、森林公园、风景名胜区等为依托,在统筹环境保护与旅游开发的基础上积极探索生态旅游运营模式,为其本土化和纵深化发展打下了良好的基础[1 ] .20世纪90年代,生态旅游理念引入与实践创新不仅显著提升了公众的生态保护意识,而且很大程度上丰富了中国旅游产品类别与体系[2 ] .近年来,在习近平生态文明思想指引下,生态旅游已成为协调人与自然和谐共生、促进区域高质量发展的重要载体.《全国生态旅游发展规划(2016—2025)》《关于释放旅游消费潜力推动旅游业高质量发展的若干措施》等进一步为生态旅游发展指明了具体方向.此外,生态旅游相关研究在政府、学界和社会的持续关注下迈入了新阶段[3 ] .学者们从地理、生态、旅游等学科对其理论机理与实践现状展开了广泛研究,内容聚焦于概念内涵[4 ] 、资源类目[5 ] 、产品开发[6 ] 、利益相关者[7 ] 以及发展对策[8 ] 等多方面,生态旅游呈现多元化、交叉化和融合性的研究特征[9 ] .黄河流域横跨中国青藏高原、内蒙古高原、黄土高原和华北平原等多个地理单元,不仅是中国重要的生态功能区,也是生态旅游发展的重点区域[10 ] .流域内拥有丰富的自然与人文要素,生态旅游的资源禀赋优越、发展潜力巨大.2019年9月,习近平总书记在河南郑州主持召开黄河流域生态保护和高质量发展座谈会,将黄河流域生态保护和高质量发展上升为了重大国家战略,为生态旅游创新发展提供了战略机遇和政策保障. ...
国家公园生态旅游可持续发展的多元主体共治模式:对黄河源国家公园的考察
1
2024
... 生态旅游以生态环境保护为前提、以可持续发展为导向,是生态文明建设的重要抓手,也是推动区域高质量发展的关键路径.自20世纪80年代起,中国以自然保护区、森林公园、风景名胜区等为依托,在统筹环境保护与旅游开发的基础上积极探索生态旅游运营模式,为其本土化和纵深化发展打下了良好的基础[1 ] .20世纪90年代,生态旅游理念引入与实践创新不仅显著提升了公众的生态保护意识,而且很大程度上丰富了中国旅游产品类别与体系[2 ] .近年来,在习近平生态文明思想指引下,生态旅游已成为协调人与自然和谐共生、促进区域高质量发展的重要载体.《全国生态旅游发展规划(2016—2025)》《关于释放旅游消费潜力推动旅游业高质量发展的若干措施》等进一步为生态旅游发展指明了具体方向.此外,生态旅游相关研究在政府、学界和社会的持续关注下迈入了新阶段[3 ] .学者们从地理、生态、旅游等学科对其理论机理与实践现状展开了广泛研究,内容聚焦于概念内涵[4 ] 、资源类目[5 ] 、产品开发[6 ] 、利益相关者[7 ] 以及发展对策[8 ] 等多方面,生态旅游呈现多元化、交叉化和融合性的研究特征[9 ] .黄河流域横跨中国青藏高原、内蒙古高原、黄土高原和华北平原等多个地理单元,不仅是中国重要的生态功能区,也是生态旅游发展的重点区域[10 ] .流域内拥有丰富的自然与人文要素,生态旅游的资源禀赋优越、发展潜力巨大.2019年9月,习近平总书记在河南郑州主持召开黄河流域生态保护和高质量发展座谈会,将黄河流域生态保护和高质量发展上升为了重大国家战略,为生态旅游创新发展提供了战略机遇和政策保障. ...
祁连山国家公园青海片区生态旅游开发适宜性研究
1
2023
... 生态旅游以生态环境保护为前提、以可持续发展为导向,是生态文明建设的重要抓手,也是推动区域高质量发展的关键路径.自20世纪80年代起,中国以自然保护区、森林公园、风景名胜区等为依托,在统筹环境保护与旅游开发的基础上积极探索生态旅游运营模式,为其本土化和纵深化发展打下了良好的基础[1 ] .20世纪90年代,生态旅游理念引入与实践创新不仅显著提升了公众的生态保护意识,而且很大程度上丰富了中国旅游产品类别与体系[2 ] .近年来,在习近平生态文明思想指引下,生态旅游已成为协调人与自然和谐共生、促进区域高质量发展的重要载体.《全国生态旅游发展规划(2016—2025)》《关于释放旅游消费潜力推动旅游业高质量发展的若干措施》等进一步为生态旅游发展指明了具体方向.此外,生态旅游相关研究在政府、学界和社会的持续关注下迈入了新阶段[3 ] .学者们从地理、生态、旅游等学科对其理论机理与实践现状展开了广泛研究,内容聚焦于概念内涵[4 ] 、资源类目[5 ] 、产品开发[6 ] 、利益相关者[7 ] 以及发展对策[8 ] 等多方面,生态旅游呈现多元化、交叉化和融合性的研究特征[9 ] .黄河流域横跨中国青藏高原、内蒙古高原、黄土高原和华北平原等多个地理单元,不仅是中国重要的生态功能区,也是生态旅游发展的重点区域[10 ] .流域内拥有丰富的自然与人文要素,生态旅游的资源禀赋优越、发展潜力巨大.2019年9月,习近平总书记在河南郑州主持召开黄河流域生态保护和高质量发展座谈会,将黄河流域生态保护和高质量发展上升为了重大国家战略,为生态旅游创新发展提供了战略机遇和政策保障. ...
基于“利益平衡”的生态旅游正义及实现路径
1
2022
... 生态旅游以生态环境保护为前提、以可持续发展为导向,是生态文明建设的重要抓手,也是推动区域高质量发展的关键路径.自20世纪80年代起,中国以自然保护区、森林公园、风景名胜区等为依托,在统筹环境保护与旅游开发的基础上积极探索生态旅游运营模式,为其本土化和纵深化发展打下了良好的基础[1 ] .20世纪90年代,生态旅游理念引入与实践创新不仅显著提升了公众的生态保护意识,而且很大程度上丰富了中国旅游产品类别与体系[2 ] .近年来,在习近平生态文明思想指引下,生态旅游已成为协调人与自然和谐共生、促进区域高质量发展的重要载体.《全国生态旅游发展规划(2016—2025)》《关于释放旅游消费潜力推动旅游业高质量发展的若干措施》等进一步为生态旅游发展指明了具体方向.此外,生态旅游相关研究在政府、学界和社会的持续关注下迈入了新阶段[3 ] .学者们从地理、生态、旅游等学科对其理论机理与实践现状展开了广泛研究,内容聚焦于概念内涵[4 ] 、资源类目[5 ] 、产品开发[6 ] 、利益相关者[7 ] 以及发展对策[8 ] 等多方面,生态旅游呈现多元化、交叉化和融合性的研究特征[9 ] .黄河流域横跨中国青藏高原、内蒙古高原、黄土高原和华北平原等多个地理单元,不仅是中国重要的生态功能区,也是生态旅游发展的重点区域[10 ] .流域内拥有丰富的自然与人文要素,生态旅游的资源禀赋优越、发展潜力巨大.2019年9月,习近平总书记在河南郑州主持召开黄河流域生态保护和高质量发展座谈会,将黄河流域生态保护和高质量发展上升为了重大国家战略,为生态旅游创新发展提供了战略机遇和政策保障. ...
中国旅游生态韧性空间关联网络结构及其驱动因素
1
2024
... 生态旅游以生态环境保护为前提、以可持续发展为导向,是生态文明建设的重要抓手,也是推动区域高质量发展的关键路径.自20世纪80年代起,中国以自然保护区、森林公园、风景名胜区等为依托,在统筹环境保护与旅游开发的基础上积极探索生态旅游运营模式,为其本土化和纵深化发展打下了良好的基础[1 ] .20世纪90年代,生态旅游理念引入与实践创新不仅显著提升了公众的生态保护意识,而且很大程度上丰富了中国旅游产品类别与体系[2 ] .近年来,在习近平生态文明思想指引下,生态旅游已成为协调人与自然和谐共生、促进区域高质量发展的重要载体.《全国生态旅游发展规划(2016—2025)》《关于释放旅游消费潜力推动旅游业高质量发展的若干措施》等进一步为生态旅游发展指明了具体方向.此外,生态旅游相关研究在政府、学界和社会的持续关注下迈入了新阶段[3 ] .学者们从地理、生态、旅游等学科对其理论机理与实践现状展开了广泛研究,内容聚焦于概念内涵[4 ] 、资源类目[5 ] 、产品开发[6 ] 、利益相关者[7 ] 以及发展对策[8 ] 等多方面,生态旅游呈现多元化、交叉化和融合性的研究特征[9 ] .黄河流域横跨中国青藏高原、内蒙古高原、黄土高原和华北平原等多个地理单元,不仅是中国重要的生态功能区,也是生态旅游发展的重点区域[10 ] .流域内拥有丰富的自然与人文要素,生态旅游的资源禀赋优越、发展潜力巨大.2019年9月,习近平总书记在河南郑州主持召开黄河流域生态保护和高质量发展座谈会,将黄河流域生态保护和高质量发展上升为了重大国家战略,为生态旅游创新发展提供了战略机遇和政策保障. ...
生物多样性与当地知识促进偏远农村地区生态旅游发展的路径
1
2024
... 生态旅游以生态环境保护为前提、以可持续发展为导向,是生态文明建设的重要抓手,也是推动区域高质量发展的关键路径.自20世纪80年代起,中国以自然保护区、森林公园、风景名胜区等为依托,在统筹环境保护与旅游开发的基础上积极探索生态旅游运营模式,为其本土化和纵深化发展打下了良好的基础[1 ] .20世纪90年代,生态旅游理念引入与实践创新不仅显著提升了公众的生态保护意识,而且很大程度上丰富了中国旅游产品类别与体系[2 ] .近年来,在习近平生态文明思想指引下,生态旅游已成为协调人与自然和谐共生、促进区域高质量发展的重要载体.《全国生态旅游发展规划(2016—2025)》《关于释放旅游消费潜力推动旅游业高质量发展的若干措施》等进一步为生态旅游发展指明了具体方向.此外,生态旅游相关研究在政府、学界和社会的持续关注下迈入了新阶段[3 ] .学者们从地理、生态、旅游等学科对其理论机理与实践现状展开了广泛研究,内容聚焦于概念内涵[4 ] 、资源类目[5 ] 、产品开发[6 ] 、利益相关者[7 ] 以及发展对策[8 ] 等多方面,生态旅游呈现多元化、交叉化和融合性的研究特征[9 ] .黄河流域横跨中国青藏高原、内蒙古高原、黄土高原和华北平原等多个地理单元,不仅是中国重要的生态功能区,也是生态旅游发展的重点区域[10 ] .流域内拥有丰富的自然与人文要素,生态旅游的资源禀赋优越、发展潜力巨大.2019年9月,习近平总书记在河南郑州主持召开黄河流域生态保护和高质量发展座谈会,将黄河流域生态保护和高质量发展上升为了重大国家战略,为生态旅游创新发展提供了战略机遇和政策保障. ...
数字经济能否促进黄河流域旅游经济韧性提升?
1
2023
... 生态旅游以生态环境保护为前提、以可持续发展为导向,是生态文明建设的重要抓手,也是推动区域高质量发展的关键路径.自20世纪80年代起,中国以自然保护区、森林公园、风景名胜区等为依托,在统筹环境保护与旅游开发的基础上积极探索生态旅游运营模式,为其本土化和纵深化发展打下了良好的基础[1 ] .20世纪90年代,生态旅游理念引入与实践创新不仅显著提升了公众的生态保护意识,而且很大程度上丰富了中国旅游产品类别与体系[2 ] .近年来,在习近平生态文明思想指引下,生态旅游已成为协调人与自然和谐共生、促进区域高质量发展的重要载体.《全国生态旅游发展规划(2016—2025)》《关于释放旅游消费潜力推动旅游业高质量发展的若干措施》等进一步为生态旅游发展指明了具体方向.此外,生态旅游相关研究在政府、学界和社会的持续关注下迈入了新阶段[3 ] .学者们从地理、生态、旅游等学科对其理论机理与实践现状展开了广泛研究,内容聚焦于概念内涵[4 ] 、资源类目[5 ] 、产品开发[6 ] 、利益相关者[7 ] 以及发展对策[8 ] 等多方面,生态旅游呈现多元化、交叉化和融合性的研究特征[9 ] .黄河流域横跨中国青藏高原、内蒙古高原、黄土高原和华北平原等多个地理单元,不仅是中国重要的生态功能区,也是生态旅游发展的重点区域[10 ] .流域内拥有丰富的自然与人文要素,生态旅游的资源禀赋优越、发展潜力巨大.2019年9月,习近平总书记在河南郑州主持召开黄河流域生态保护和高质量发展座谈会,将黄河流域生态保护和高质量发展上升为了重大国家战略,为生态旅游创新发展提供了战略机遇和政策保障. ...
强关系网络移动社交平台旅游分享行为研究:基于微信与QQ用户的资料分析
1
2020
... 在“互联网+”时代背景下,数字技术与旅游产业的深度融合催生了在线旅游新业态,重塑了传统旅游信息传播模式和消费者行为范式.旅游者通过网络社区获取旅游信息、分享旅游行程、撰写旅游心得[11 ] ,旅游网络关注度成为旅游地市场营销和形象塑造的有效表征并受到学术界的广泛关注.学者们通过谷歌趋势[12 ] 、百度指数[13 ] 、微博游记[14 ] 等搜索引擎测度了特定主题的网络关注度特征机理.其中,百度指数因其数据可得性强、时效性好、覆盖面广等优势在旅游学界得到了广泛应用并产生了诸多成果[15 ] .旅游网络关注度现有研究内容主要涉及不同时空尺度上的流量分布与变化趋势[16 ] 、网络关注度与实际游客的关联机制[17 ] 、旅游网络关注度的影响因素[18 ] 以及旅游流的网络结构和组织特征[19 ] 等多个方面.研究尺度则涵盖了国家[20 ] 、省域[21 ] 、地市[22 ] 等多个空间层次,并在A级景区、冰雪旅游、研学旅游、民宿旅游等细分市场形成了丰富的案例成果.近年来,随着数字技术的迭代升级和旅游产业的转型发展,一些新的研究议题开始受到了学界的关注.王兆峰等[23 ] 、王琪林等[24 ] 将旅游网络关注度分别与旅游竞争力、旅游资源丰裕度的空间错位现象展开分析.马芳芳等[25 ] 将旅游网络关注度作为虚拟旅游发展度量指标,研究了旅游虚实耦合的空间协调机制.以上研究不仅拓展了网络关注度的研究广度,也为后续研究提供了理论与方法借鉴. ...
Quantifying potential tourist behavior in choice of destination using Google Trends
1
2017
... 在“互联网+”时代背景下,数字技术与旅游产业的深度融合催生了在线旅游新业态,重塑了传统旅游信息传播模式和消费者行为范式.旅游者通过网络社区获取旅游信息、分享旅游行程、撰写旅游心得[11 ] ,旅游网络关注度成为旅游地市场营销和形象塑造的有效表征并受到学术界的广泛关注.学者们通过谷歌趋势[12 ] 、百度指数[13 ] 、微博游记[14 ] 等搜索引擎测度了特定主题的网络关注度特征机理.其中,百度指数因其数据可得性强、时效性好、覆盖面广等优势在旅游学界得到了广泛应用并产生了诸多成果[15 ] .旅游网络关注度现有研究内容主要涉及不同时空尺度上的流量分布与变化趋势[16 ] 、网络关注度与实际游客的关联机制[17 ] 、旅游网络关注度的影响因素[18 ] 以及旅游流的网络结构和组织特征[19 ] 等多个方面.研究尺度则涵盖了国家[20 ] 、省域[21 ] 、地市[22 ] 等多个空间层次,并在A级景区、冰雪旅游、研学旅游、民宿旅游等细分市场形成了丰富的案例成果.近年来,随着数字技术的迭代升级和旅游产业的转型发展,一些新的研究议题开始受到了学界的关注.王兆峰等[23 ] 、王琪林等[24 ] 将旅游网络关注度分别与旅游竞争力、旅游资源丰裕度的空间错位现象展开分析.马芳芳等[25 ] 将旅游网络关注度作为虚拟旅游发展度量指标,研究了旅游虚实耦合的空间协调机制.以上研究不仅拓展了网络关注度的研究广度,也为后续研究提供了理论与方法借鉴. ...
中国5A级旅游景区网络关注度时空格局演变与影响因素
1
2024
... 在“互联网+”时代背景下,数字技术与旅游产业的深度融合催生了在线旅游新业态,重塑了传统旅游信息传播模式和消费者行为范式.旅游者通过网络社区获取旅游信息、分享旅游行程、撰写旅游心得[11 ] ,旅游网络关注度成为旅游地市场营销和形象塑造的有效表征并受到学术界的广泛关注.学者们通过谷歌趋势[12 ] 、百度指数[13 ] 、微博游记[14 ] 等搜索引擎测度了特定主题的网络关注度特征机理.其中,百度指数因其数据可得性强、时效性好、覆盖面广等优势在旅游学界得到了广泛应用并产生了诸多成果[15 ] .旅游网络关注度现有研究内容主要涉及不同时空尺度上的流量分布与变化趋势[16 ] 、网络关注度与实际游客的关联机制[17 ] 、旅游网络关注度的影响因素[18 ] 以及旅游流的网络结构和组织特征[19 ] 等多个方面.研究尺度则涵盖了国家[20 ] 、省域[21 ] 、地市[22 ] 等多个空间层次,并在A级景区、冰雪旅游、研学旅游、民宿旅游等细分市场形成了丰富的案例成果.近年来,随着数字技术的迭代升级和旅游产业的转型发展,一些新的研究议题开始受到了学界的关注.王兆峰等[23 ] 、王琪林等[24 ] 将旅游网络关注度分别与旅游竞争力、旅游资源丰裕度的空间错位现象展开分析.马芳芳等[25 ] 将旅游网络关注度作为虚拟旅游发展度量指标,研究了旅游虚实耦合的空间协调机制.以上研究不仅拓展了网络关注度的研究广度,也为后续研究提供了理论与方法借鉴. ...
中国会展城市网络关注度时空分布特征及其影响因素研究
1
2019
... 在“互联网+”时代背景下,数字技术与旅游产业的深度融合催生了在线旅游新业态,重塑了传统旅游信息传播模式和消费者行为范式.旅游者通过网络社区获取旅游信息、分享旅游行程、撰写旅游心得[11 ] ,旅游网络关注度成为旅游地市场营销和形象塑造的有效表征并受到学术界的广泛关注.学者们通过谷歌趋势[12 ] 、百度指数[13 ] 、微博游记[14 ] 等搜索引擎测度了特定主题的网络关注度特征机理.其中,百度指数因其数据可得性强、时效性好、覆盖面广等优势在旅游学界得到了广泛应用并产生了诸多成果[15 ] .旅游网络关注度现有研究内容主要涉及不同时空尺度上的流量分布与变化趋势[16 ] 、网络关注度与实际游客的关联机制[17 ] 、旅游网络关注度的影响因素[18 ] 以及旅游流的网络结构和组织特征[19 ] 等多个方面.研究尺度则涵盖了国家[20 ] 、省域[21 ] 、地市[22 ] 等多个空间层次,并在A级景区、冰雪旅游、研学旅游、民宿旅游等细分市场形成了丰富的案例成果.近年来,随着数字技术的迭代升级和旅游产业的转型发展,一些新的研究议题开始受到了学界的关注.王兆峰等[23 ] 、王琪林等[24 ] 将旅游网络关注度分别与旅游竞争力、旅游资源丰裕度的空间错位现象展开分析.马芳芳等[25 ] 将旅游网络关注度作为虚拟旅游发展度量指标,研究了旅游虚实耦合的空间协调机制.以上研究不仅拓展了网络关注度的研究广度,也为后续研究提供了理论与方法借鉴. ...
中国海滨浴场网络关注度时空演变及影响因素研究
1
2024
... 在“互联网+”时代背景下,数字技术与旅游产业的深度融合催生了在线旅游新业态,重塑了传统旅游信息传播模式和消费者行为范式.旅游者通过网络社区获取旅游信息、分享旅游行程、撰写旅游心得[11 ] ,旅游网络关注度成为旅游地市场营销和形象塑造的有效表征并受到学术界的广泛关注.学者们通过谷歌趋势[12 ] 、百度指数[13 ] 、微博游记[14 ] 等搜索引擎测度了特定主题的网络关注度特征机理.其中,百度指数因其数据可得性强、时效性好、覆盖面广等优势在旅游学界得到了广泛应用并产生了诸多成果[15 ] .旅游网络关注度现有研究内容主要涉及不同时空尺度上的流量分布与变化趋势[16 ] 、网络关注度与实际游客的关联机制[17 ] 、旅游网络关注度的影响因素[18 ] 以及旅游流的网络结构和组织特征[19 ] 等多个方面.研究尺度则涵盖了国家[20 ] 、省域[21 ] 、地市[22 ] 等多个空间层次,并在A级景区、冰雪旅游、研学旅游、民宿旅游等细分市场形成了丰富的案例成果.近年来,随着数字技术的迭代升级和旅游产业的转型发展,一些新的研究议题开始受到了学界的关注.王兆峰等[23 ] 、王琪林等[24 ] 将旅游网络关注度分别与旅游竞争力、旅游资源丰裕度的空间错位现象展开分析.马芳芳等[25 ] 将旅游网络关注度作为虚拟旅游发展度量指标,研究了旅游虚实耦合的空间协调机制.以上研究不仅拓展了网络关注度的研究广度,也为后续研究提供了理论与方法借鉴. ...
基于网络关注度的安徽省居民省内旅游需求时空特征分析
1
2021
... 在“互联网+”时代背景下,数字技术与旅游产业的深度融合催生了在线旅游新业态,重塑了传统旅游信息传播模式和消费者行为范式.旅游者通过网络社区获取旅游信息、分享旅游行程、撰写旅游心得[11 ] ,旅游网络关注度成为旅游地市场营销和形象塑造的有效表征并受到学术界的广泛关注.学者们通过谷歌趋势[12 ] 、百度指数[13 ] 、微博游记[14 ] 等搜索引擎测度了特定主题的网络关注度特征机理.其中,百度指数因其数据可得性强、时效性好、覆盖面广等优势在旅游学界得到了广泛应用并产生了诸多成果[15 ] .旅游网络关注度现有研究内容主要涉及不同时空尺度上的流量分布与变化趋势[16 ] 、网络关注度与实际游客的关联机制[17 ] 、旅游网络关注度的影响因素[18 ] 以及旅游流的网络结构和组织特征[19 ] 等多个方面.研究尺度则涵盖了国家[20 ] 、省域[21 ] 、地市[22 ] 等多个空间层次,并在A级景区、冰雪旅游、研学旅游、民宿旅游等细分市场形成了丰富的案例成果.近年来,随着数字技术的迭代升级和旅游产业的转型发展,一些新的研究议题开始受到了学界的关注.王兆峰等[23 ] 、王琪林等[24 ] 将旅游网络关注度分别与旅游竞争力、旅游资源丰裕度的空间错位现象展开分析.马芳芳等[25 ] 将旅游网络关注度作为虚拟旅游发展度量指标,研究了旅游虚实耦合的空间协调机制.以上研究不仅拓展了网络关注度的研究广度,也为后续研究提供了理论与方法借鉴. ...
基于旅游者网络关注度的旅游景区日游客量预测研究:以不同客户端百度指数为例
1
2017
... 在“互联网+”时代背景下,数字技术与旅游产业的深度融合催生了在线旅游新业态,重塑了传统旅游信息传播模式和消费者行为范式.旅游者通过网络社区获取旅游信息、分享旅游行程、撰写旅游心得[11 ] ,旅游网络关注度成为旅游地市场营销和形象塑造的有效表征并受到学术界的广泛关注.学者们通过谷歌趋势[12 ] 、百度指数[13 ] 、微博游记[14 ] 等搜索引擎测度了特定主题的网络关注度特征机理.其中,百度指数因其数据可得性强、时效性好、覆盖面广等优势在旅游学界得到了广泛应用并产生了诸多成果[15 ] .旅游网络关注度现有研究内容主要涉及不同时空尺度上的流量分布与变化趋势[16 ] 、网络关注度与实际游客的关联机制[17 ] 、旅游网络关注度的影响因素[18 ] 以及旅游流的网络结构和组织特征[19 ] 等多个方面.研究尺度则涵盖了国家[20 ] 、省域[21 ] 、地市[22 ] 等多个空间层次,并在A级景区、冰雪旅游、研学旅游、民宿旅游等细分市场形成了丰富的案例成果.近年来,随着数字技术的迭代升级和旅游产业的转型发展,一些新的研究议题开始受到了学界的关注.王兆峰等[23 ] 、王琪林等[24 ] 将旅游网络关注度分别与旅游竞争力、旅游资源丰裕度的空间错位现象展开分析.马芳芳等[25 ] 将旅游网络关注度作为虚拟旅游发展度量指标,研究了旅游虚实耦合的空间协调机制.以上研究不仅拓展了网络关注度的研究广度,也为后续研究提供了理论与方法借鉴. ...
长征国家文化公园红色旅游资源网络关注度及其旅游流网络结构分析
1
2021
... 在“互联网+”时代背景下,数字技术与旅游产业的深度融合催生了在线旅游新业态,重塑了传统旅游信息传播模式和消费者行为范式.旅游者通过网络社区获取旅游信息、分享旅游行程、撰写旅游心得[11 ] ,旅游网络关注度成为旅游地市场营销和形象塑造的有效表征并受到学术界的广泛关注.学者们通过谷歌趋势[12 ] 、百度指数[13 ] 、微博游记[14 ] 等搜索引擎测度了特定主题的网络关注度特征机理.其中,百度指数因其数据可得性强、时效性好、覆盖面广等优势在旅游学界得到了广泛应用并产生了诸多成果[15 ] .旅游网络关注度现有研究内容主要涉及不同时空尺度上的流量分布与变化趋势[16 ] 、网络关注度与实际游客的关联机制[17 ] 、旅游网络关注度的影响因素[18 ] 以及旅游流的网络结构和组织特征[19 ] 等多个方面.研究尺度则涵盖了国家[20 ] 、省域[21 ] 、地市[22 ] 等多个空间层次,并在A级景区、冰雪旅游、研学旅游、民宿旅游等细分市场形成了丰富的案例成果.近年来,随着数字技术的迭代升级和旅游产业的转型发展,一些新的研究议题开始受到了学界的关注.王兆峰等[23 ] 、王琪林等[24 ] 将旅游网络关注度分别与旅游竞争力、旅游资源丰裕度的空间错位现象展开分析.马芳芳等[25 ] 将旅游网络关注度作为虚拟旅游发展度量指标,研究了旅游虚实耦合的空间协调机制.以上研究不仅拓展了网络关注度的研究广度,也为后续研究提供了理论与方法借鉴. ...
典型城市居民国内旅游流网络结构特征
1
2018
... 在“互联网+”时代背景下,数字技术与旅游产业的深度融合催生了在线旅游新业态,重塑了传统旅游信息传播模式和消费者行为范式.旅游者通过网络社区获取旅游信息、分享旅游行程、撰写旅游心得[11 ] ,旅游网络关注度成为旅游地市场营销和形象塑造的有效表征并受到学术界的广泛关注.学者们通过谷歌趋势[12 ] 、百度指数[13 ] 、微博游记[14 ] 等搜索引擎测度了特定主题的网络关注度特征机理.其中,百度指数因其数据可得性强、时效性好、覆盖面广等优势在旅游学界得到了广泛应用并产生了诸多成果[15 ] .旅游网络关注度现有研究内容主要涉及不同时空尺度上的流量分布与变化趋势[16 ] 、网络关注度与实际游客的关联机制[17 ] 、旅游网络关注度的影响因素[18 ] 以及旅游流的网络结构和组织特征[19 ] 等多个方面.研究尺度则涵盖了国家[20 ] 、省域[21 ] 、地市[22 ] 等多个空间层次,并在A级景区、冰雪旅游、研学旅游、民宿旅游等细分市场形成了丰富的案例成果.近年来,随着数字技术的迭代升级和旅游产业的转型发展,一些新的研究议题开始受到了学界的关注.王兆峰等[23 ] 、王琪林等[24 ] 将旅游网络关注度分别与旅游竞争力、旅游资源丰裕度的空间错位现象展开分析.马芳芳等[25 ] 将旅游网络关注度作为虚拟旅游发展度量指标,研究了旅游虚实耦合的空间协调机制.以上研究不仅拓展了网络关注度的研究广度,也为后续研究提供了理论与方法借鉴. ...
中国红色旅游经典景区网络关注度分布格局及驱动机制
1
2022
... 在“互联网+”时代背景下,数字技术与旅游产业的深度融合催生了在线旅游新业态,重塑了传统旅游信息传播模式和消费者行为范式.旅游者通过网络社区获取旅游信息、分享旅游行程、撰写旅游心得[11 ] ,旅游网络关注度成为旅游地市场营销和形象塑造的有效表征并受到学术界的广泛关注.学者们通过谷歌趋势[12 ] 、百度指数[13 ] 、微博游记[14 ] 等搜索引擎测度了特定主题的网络关注度特征机理.其中,百度指数因其数据可得性强、时效性好、覆盖面广等优势在旅游学界得到了广泛应用并产生了诸多成果[15 ] .旅游网络关注度现有研究内容主要涉及不同时空尺度上的流量分布与变化趋势[16 ] 、网络关注度与实际游客的关联机制[17 ] 、旅游网络关注度的影响因素[18 ] 以及旅游流的网络结构和组织特征[19 ] 等多个方面.研究尺度则涵盖了国家[20 ] 、省域[21 ] 、地市[22 ] 等多个空间层次,并在A级景区、冰雪旅游、研学旅游、民宿旅游等细分市场形成了丰富的案例成果.近年来,随着数字技术的迭代升级和旅游产业的转型发展,一些新的研究议题开始受到了学界的关注.王兆峰等[23 ] 、王琪林等[24 ] 将旅游网络关注度分别与旅游竞争力、旅游资源丰裕度的空间错位现象展开分析.马芳芳等[25 ] 将旅游网络关注度作为虚拟旅游发展度量指标,研究了旅游虚实耦合的空间协调机制.以上研究不仅拓展了网络关注度的研究广度,也为后续研究提供了理论与方法借鉴. ...
基于网络关注度的中国沙漠型A级景区空间格局及其影响因素分析
1
2022
... 在“互联网+”时代背景下,数字技术与旅游产业的深度融合催生了在线旅游新业态,重塑了传统旅游信息传播模式和消费者行为范式.旅游者通过网络社区获取旅游信息、分享旅游行程、撰写旅游心得[11 ] ,旅游网络关注度成为旅游地市场营销和形象塑造的有效表征并受到学术界的广泛关注.学者们通过谷歌趋势[12 ] 、百度指数[13 ] 、微博游记[14 ] 等搜索引擎测度了特定主题的网络关注度特征机理.其中,百度指数因其数据可得性强、时效性好、覆盖面广等优势在旅游学界得到了广泛应用并产生了诸多成果[15 ] .旅游网络关注度现有研究内容主要涉及不同时空尺度上的流量分布与变化趋势[16 ] 、网络关注度与实际游客的关联机制[17 ] 、旅游网络关注度的影响因素[18 ] 以及旅游流的网络结构和组织特征[19 ] 等多个方面.研究尺度则涵盖了国家[20 ] 、省域[21 ] 、地市[22 ] 等多个空间层次,并在A级景区、冰雪旅游、研学旅游、民宿旅游等细分市场形成了丰富的案例成果.近年来,随着数字技术的迭代升级和旅游产业的转型发展,一些新的研究议题开始受到了学界的关注.王兆峰等[23 ] 、王琪林等[24 ] 将旅游网络关注度分别与旅游竞争力、旅游资源丰裕度的空间错位现象展开分析.马芳芳等[25 ] 将旅游网络关注度作为虚拟旅游发展度量指标,研究了旅游虚实耦合的空间协调机制.以上研究不仅拓展了网络关注度的研究广度,也为后续研究提供了理论与方法借鉴. ...
基于百度指数的湖南旅游目的地城市旅游者网络关注度及其空间格局研究
1
2020
... 在“互联网+”时代背景下,数字技术与旅游产业的深度融合催生了在线旅游新业态,重塑了传统旅游信息传播模式和消费者行为范式.旅游者通过网络社区获取旅游信息、分享旅游行程、撰写旅游心得[11 ] ,旅游网络关注度成为旅游地市场营销和形象塑造的有效表征并受到学术界的广泛关注.学者们通过谷歌趋势[12 ] 、百度指数[13 ] 、微博游记[14 ] 等搜索引擎测度了特定主题的网络关注度特征机理.其中,百度指数因其数据可得性强、时效性好、覆盖面广等优势在旅游学界得到了广泛应用并产生了诸多成果[15 ] .旅游网络关注度现有研究内容主要涉及不同时空尺度上的流量分布与变化趋势[16 ] 、网络关注度与实际游客的关联机制[17 ] 、旅游网络关注度的影响因素[18 ] 以及旅游流的网络结构和组织特征[19 ] 等多个方面.研究尺度则涵盖了国家[20 ] 、省域[21 ] 、地市[22 ] 等多个空间层次,并在A级景区、冰雪旅游、研学旅游、民宿旅游等细分市场形成了丰富的案例成果.近年来,随着数字技术的迭代升级和旅游产业的转型发展,一些新的研究议题开始受到了学界的关注.王兆峰等[23 ] 、王琪林等[24 ] 将旅游网络关注度分别与旅游竞争力、旅游资源丰裕度的空间错位现象展开分析.马芳芳等[25 ] 将旅游网络关注度作为虚拟旅游发展度量指标,研究了旅游虚实耦合的空间协调机制.以上研究不仅拓展了网络关注度的研究广度,也为后续研究提供了理论与方法借鉴. ...
中国省域旅游竞争力与旅游网络关注度空间错位研究
1
2024
... 在“互联网+”时代背景下,数字技术与旅游产业的深度融合催生了在线旅游新业态,重塑了传统旅游信息传播模式和消费者行为范式.旅游者通过网络社区获取旅游信息、分享旅游行程、撰写旅游心得[11 ] ,旅游网络关注度成为旅游地市场营销和形象塑造的有效表征并受到学术界的广泛关注.学者们通过谷歌趋势[12 ] 、百度指数[13 ] 、微博游记[14 ] 等搜索引擎测度了特定主题的网络关注度特征机理.其中,百度指数因其数据可得性强、时效性好、覆盖面广等优势在旅游学界得到了广泛应用并产生了诸多成果[15 ] .旅游网络关注度现有研究内容主要涉及不同时空尺度上的流量分布与变化趋势[16 ] 、网络关注度与实际游客的关联机制[17 ] 、旅游网络关注度的影响因素[18 ] 以及旅游流的网络结构和组织特征[19 ] 等多个方面.研究尺度则涵盖了国家[20 ] 、省域[21 ] 、地市[22 ] 等多个空间层次,并在A级景区、冰雪旅游、研学旅游、民宿旅游等细分市场形成了丰富的案例成果.近年来,随着数字技术的迭代升级和旅游产业的转型发展,一些新的研究议题开始受到了学界的关注.王兆峰等[23 ] 、王琪林等[24 ] 将旅游网络关注度分别与旅游竞争力、旅游资源丰裕度的空间错位现象展开分析.马芳芳等[25 ] 将旅游网络关注度作为虚拟旅游发展度量指标,研究了旅游虚实耦合的空间协调机制.以上研究不仅拓展了网络关注度的研究广度,也为后续研究提供了理论与方法借鉴. ...
四川省旅游资源丰裕度与旅游网络关注度空间错位演变及影响因素分析
1
2023
... 在“互联网+”时代背景下,数字技术与旅游产业的深度融合催生了在线旅游新业态,重塑了传统旅游信息传播模式和消费者行为范式.旅游者通过网络社区获取旅游信息、分享旅游行程、撰写旅游心得[11 ] ,旅游网络关注度成为旅游地市场营销和形象塑造的有效表征并受到学术界的广泛关注.学者们通过谷歌趋势[12 ] 、百度指数[13 ] 、微博游记[14 ] 等搜索引擎测度了特定主题的网络关注度特征机理.其中,百度指数因其数据可得性强、时效性好、覆盖面广等优势在旅游学界得到了广泛应用并产生了诸多成果[15 ] .旅游网络关注度现有研究内容主要涉及不同时空尺度上的流量分布与变化趋势[16 ] 、网络关注度与实际游客的关联机制[17 ] 、旅游网络关注度的影响因素[18 ] 以及旅游流的网络结构和组织特征[19 ] 等多个方面.研究尺度则涵盖了国家[20 ] 、省域[21 ] 、地市[22 ] 等多个空间层次,并在A级景区、冰雪旅游、研学旅游、民宿旅游等细分市场形成了丰富的案例成果.近年来,随着数字技术的迭代升级和旅游产业的转型发展,一些新的研究议题开始受到了学界的关注.王兆峰等[23 ] 、王琪林等[24 ] 将旅游网络关注度分别与旅游竞争力、旅游资源丰裕度的空间错位现象展开分析.马芳芳等[25 ] 将旅游网络关注度作为虚拟旅游发展度量指标,研究了旅游虚实耦合的空间协调机制.以上研究不仅拓展了网络关注度的研究广度,也为后续研究提供了理论与方法借鉴. ...
黄河流域城市旅游虚实耦合协调水平的空间差异
1
2024
... 在“互联网+”时代背景下,数字技术与旅游产业的深度融合催生了在线旅游新业态,重塑了传统旅游信息传播模式和消费者行为范式.旅游者通过网络社区获取旅游信息、分享旅游行程、撰写旅游心得[11 ] ,旅游网络关注度成为旅游地市场营销和形象塑造的有效表征并受到学术界的广泛关注.学者们通过谷歌趋势[12 ] 、百度指数[13 ] 、微博游记[14 ] 等搜索引擎测度了特定主题的网络关注度特征机理.其中,百度指数因其数据可得性强、时效性好、覆盖面广等优势在旅游学界得到了广泛应用并产生了诸多成果[15 ] .旅游网络关注度现有研究内容主要涉及不同时空尺度上的流量分布与变化趋势[16 ] 、网络关注度与实际游客的关联机制[17 ] 、旅游网络关注度的影响因素[18 ] 以及旅游流的网络结构和组织特征[19 ] 等多个方面.研究尺度则涵盖了国家[20 ] 、省域[21 ] 、地市[22 ] 等多个空间层次,并在A级景区、冰雪旅游、研学旅游、民宿旅游等细分市场形成了丰富的案例成果.近年来,随着数字技术的迭代升级和旅游产业的转型发展,一些新的研究议题开始受到了学界的关注.王兆峰等[23 ] 、王琪林等[24 ] 将旅游网络关注度分别与旅游竞争力、旅游资源丰裕度的空间错位现象展开分析.马芳芳等[25 ] 将旅游网络关注度作为虚拟旅游发展度量指标,研究了旅游虚实耦合的空间协调机制.以上研究不仅拓展了网络关注度的研究广度,也为后续研究提供了理论与方法借鉴. ...
安徽省季节干旱时空特征及对大气环流的响应
1
2023
... 季节强度指数(R )可用于量化时间序列数据中季节性波动强度,被广泛应用于旅游、经济、气象等研究领域[26 ] .本研究即运用季节强度指数(R )来衡量黄河流域生态旅游网络关注度的年内月季分布特征: ...
我国八大城市群空间结构的演化特征及其驱动因素
1
2023
... 赫芬达尔指数(H )被用于综合测量市场或空间集中度,比地理集中指数更敏感于大份额单元的存在,能更好地反映“巨头”的影响[27 ] : ...
20世纪末以来欧洲联盟区域经济差异演变特征及空间分异
1
2017
... 反距离权重插值(IDW )以地理学第一定律为假设,将内插点与样本点之间的距离设为权重参数进行加权平均[28 ] ,能较直观地呈现黄河流域生态旅游差异演化的空间格局. ...
泰国旅华市场时空结构与拓展策略研究
1
2015
... 借鉴周成等[29 ] 、秦宏瑶等[30 ] 相关成果,以全年关注度的1/12(8.33%)、1/18(5.55%)为判断标准,大于8.33%为旺季,小于5.55%为淡季,二者之间为平季.由图2 可知,2012—2023年黄河流域生态旅游网络关注度呈现显著的“双峰型”季节波动特征,且两峰之间呈现不对称.具体而言,3—6月的平均网络关注度在全年占比达39.91%,显著高于旺季线,构成全年的第一个高峰期,其中5月表现尤为突出,成为春季生态旅游的关注焦点,该时期生态旅游关注度较高与黄河流域春季气候宜人、生态系统恢复活力、“五一”长假旅游规划需求增长等多重因素密切相关.7—8月网络关注度处于低谷时期,平均值下降至6.58%,与全年峰值月份形成显著对比,原因可能在于,夏季黄河流域高温天气因素对生态旅游活动产生一定的抑制作用,暑期旅游市场的多元化和目的地激烈竞争分散了对该区域生态旅游的专注度. ...
基于季节指数的四川省旅游季节性研究
1
2014
... 借鉴周成等[29 ] 、秦宏瑶等[30 ] 相关成果,以全年关注度的1/12(8.33%)、1/18(5.55%)为判断标准,大于8.33%为旺季,小于5.55%为淡季,二者之间为平季.由图2 可知,2012—2023年黄河流域生态旅游网络关注度呈现显著的“双峰型”季节波动特征,且两峰之间呈现不对称.具体而言,3—6月的平均网络关注度在全年占比达39.91%,显著高于旺季线,构成全年的第一个高峰期,其中5月表现尤为突出,成为春季生态旅游的关注焦点,该时期生态旅游关注度较高与黄河流域春季气候宜人、生态系统恢复活力、“五一”长假旅游规划需求增长等多重因素密切相关.7—8月网络关注度处于低谷时期,平均值下降至6.58%,与全年峰值月份形成显著对比,原因可能在于,夏季黄河流域高温天气因素对生态旅游活动产生一定的抑制作用,暑期旅游市场的多元化和目的地激烈竞争分散了对该区域生态旅游的专注度. ...
黄河流域旅游韧性时空演变及驱动因子分析
1
2024
... 借鉴相关研究成果[31 -33 ] 基础上,构建出一个由经济基础、数字赋能、产业支撑、空间联系和资源禀赋五大维度构成的影响因素指标体系(表2 ).其中,经济基础是生态旅游网络关注度的物质前提和形成条件.经济发展水平(X 1 )直接决定了居民生态消费能力和生态旅游消费意愿,选取地区生产总值作为衡量区域经济发展水平的指标,以反映经济基础对生态旅游网络关注度的支撑作用.数字赋能为网络关注度的形成提供技术支撑.根据信息传播和数字经济理论,数字化水平(X 2 )一定程度上决定了生态旅游信息的传播效率以及触及范围,选取互联网宽带接入用户数作为衡量区域数字化发展水平的指标.进一步,产业支撑为网络关注度的维持和提升奠定了产业基础.旅游接待水平(X 3 )不仅表征了区域旅游产业的整体发展水平,更反映了包括住宿、餐饮、交通、娱乐等在内的旅游服务配套能力,选取接待国内外游客数作为地区旅游接待水平的指标,以印证旅游产业对生态旅游网络关注度的支撑作用. ...
黄河流域旅游业碳排放效率综合测度及影响因素研究
0
2023
黄河流域城市经济韧性研究和影响因素分析:基于不同城市类型的视角
1
2022
... 借鉴相关研究成果[31 -33 ] 基础上,构建出一个由经济基础、数字赋能、产业支撑、空间联系和资源禀赋五大维度构成的影响因素指标体系(表2 ).其中,经济基础是生态旅游网络关注度的物质前提和形成条件.经济发展水平(X 1 )直接决定了居民生态消费能力和生态旅游消费意愿,选取地区生产总值作为衡量区域经济发展水平的指标,以反映经济基础对生态旅游网络关注度的支撑作用.数字赋能为网络关注度的形成提供技术支撑.根据信息传播和数字经济理论,数字化水平(X 2 )一定程度上决定了生态旅游信息的传播效率以及触及范围,选取互联网宽带接入用户数作为衡量区域数字化发展水平的指标.进一步,产业支撑为网络关注度的维持和提升奠定了产业基础.旅游接待水平(X 3 )不仅表征了区域旅游产业的整体发展水平,更反映了包括住宿、餐饮、交通、娱乐等在内的旅游服务配套能力,选取接待国内外游客数作为地区旅游接待水平的指标,以印证旅游产业对生态旅游网络关注度的支撑作用. ...
生态旅游背景下自然保护区农户生计策略转变意愿研究:以庐山国家级自然保护区为例
1
2023
... 空间联系在网络关注度转化为实际旅游行为中扮演着关键角色.交通通达度(X 4 )刻画了生态旅游目的地的可达能力和吸引半径,本研究以区域铁路、内河航道、公路总里程加以表征.资源禀赋则是生态旅游网络关注度形成的核心要素,生态旅游资源(X 5 )是生态旅游地形成吸引力的根本所在,国家级自然保护区、森林公园等高品质生态空间不仅代表了区域生态资源的丰富程度,也是生态旅游产品开发的基础.借鉴段雪岩等[34 ] 、高玉娟等[35 ] 的研究成果,用国家级自然保护区、森林公园、生态文明建设示范区以及“绿水青山就是金山银山”实践创新基地数量衡量生态旅游资源因素.进一步,运用SPSS统计软件进行Pearson相关性分析,识别各因素与网络关注度之间的相关强度和显著性水平.其次,构建面板向量自回归(PVAR)模型,以深入探究各影响因素对网络关注度的动态作用机制和传导路径. ...
基于重要性-绩效分析法的生态旅游公共信息服务满意度实证研究:以6个国家森林公园景区为例
1
2022
... 空间联系在网络关注度转化为实际旅游行为中扮演着关键角色.交通通达度(X 4 )刻画了生态旅游目的地的可达能力和吸引半径,本研究以区域铁路、内河航道、公路总里程加以表征.资源禀赋则是生态旅游网络关注度形成的核心要素,生态旅游资源(X 5 )是生态旅游地形成吸引力的根本所在,国家级自然保护区、森林公园等高品质生态空间不仅代表了区域生态资源的丰富程度,也是生态旅游产品开发的基础.借鉴段雪岩等[34 ] 、高玉娟等[35 ] 的研究成果,用国家级自然保护区、森林公园、生态文明建设示范区以及“绿水青山就是金山银山”实践创新基地数量衡量生态旅游资源因素.进一步,运用SPSS统计软件进行Pearson相关性分析,识别各因素与网络关注度之间的相关强度和显著性水平.其次,构建面板向量自回归(PVAR)模型,以深入探究各影响因素对网络关注度的动态作用机制和传导路径. ...
吉林省沿边地区生态资源转化旅游经济发展研究
1
2024
... 生态旅游是推进黄河流域生态保护和高质量发展的重要举措.本文将网络关注度引入生态旅游研究领域,考察了黄河流域沿线省区生态旅游网络关注度的时空动态演化,不仅一定程度上丰富了区域生态旅游的理论研究体系,更为生态旅游市场潜力开发提供了新思路.此外,本文发现的黄河流域生态旅游网络关注度阶段性特征与葛励闻[36 ] 对中国旅游经济宏观发展、郭强等[37 ] 对省域旅游高质量发展的阶段划分具有相似性,这表明网络关注度作为旅游市场的先导性指标,能够有效反映区域旅游产业阶段性特征.网络关注度的季节性周期特征与卢长宝等[38 ] 对微旅游、毛志莹等[39 ] 对武夷山国家公园、王钦安等[40 ] 对安徽红色旅游网络关注度的分析结论相一致,但淡旺季分布存在一定的差异,这主要归因于案例地存在显著的南北方地域差异.进一步,通过建构基于经济基础、数字赋能、产业支撑、空间联系和资源禀赋在内的生态旅游网络关注度PVAR模型,系统揭示了黄河流域生态旅游网络关注度的影响因素作用机制,突破了以往网络关注度影响因素静态分析的局限性[41 -42 ] .另外,本研究发现交通通达度和数字化水平对生态旅游网络关注度产生显著性影响,这一结论不仅验证了已有研究关于基础设施建设对区域旅游发展的推动作用[43 ] ,也侧面反映了黄河流域生态旅游具有如下特性,即生态旅游地往往相对偏远并受交通制约较强,游客生态旅游体验更易受预期构建和网络信息获取的影响. ...
中国省域旅游业高质量发展综合评价与时空演化
1
1
... 生态旅游是推进黄河流域生态保护和高质量发展的重要举措.本文将网络关注度引入生态旅游研究领域,考察了黄河流域沿线省区生态旅游网络关注度的时空动态演化,不仅一定程度上丰富了区域生态旅游的理论研究体系,更为生态旅游市场潜力开发提供了新思路.此外,本文发现的黄河流域生态旅游网络关注度阶段性特征与葛励闻[36 ] 对中国旅游经济宏观发展、郭强等[37 ] 对省域旅游高质量发展的阶段划分具有相似性,这表明网络关注度作为旅游市场的先导性指标,能够有效反映区域旅游产业阶段性特征.网络关注度的季节性周期特征与卢长宝等[38 ] 对微旅游、毛志莹等[39 ] 对武夷山国家公园、王钦安等[40 ] 对安徽红色旅游网络关注度的分析结论相一致,但淡旺季分布存在一定的差异,这主要归因于案例地存在显著的南北方地域差异.进一步,通过建构基于经济基础、数字赋能、产业支撑、空间联系和资源禀赋在内的生态旅游网络关注度PVAR模型,系统揭示了黄河流域生态旅游网络关注度的影响因素作用机制,突破了以往网络关注度影响因素静态分析的局限性[41 -42 ] .另外,本研究发现交通通达度和数字化水平对生态旅游网络关注度产生显著性影响,这一结论不仅验证了已有研究关于基础设施建设对区域旅游发展的推动作用[43 ] ,也侧面反映了黄河流域生态旅游具有如下特性,即生态旅游地往往相对偏远并受交通制约较强,游客生态旅游体验更易受预期构建和网络信息获取的影响. ...
微旅游代表性形式网络关注度时空特征及其影响因素
1
2024
... 生态旅游是推进黄河流域生态保护和高质量发展的重要举措.本文将网络关注度引入生态旅游研究领域,考察了黄河流域沿线省区生态旅游网络关注度的时空动态演化,不仅一定程度上丰富了区域生态旅游的理论研究体系,更为生态旅游市场潜力开发提供了新思路.此外,本文发现的黄河流域生态旅游网络关注度阶段性特征与葛励闻[36 ] 对中国旅游经济宏观发展、郭强等[37 ] 对省域旅游高质量发展的阶段划分具有相似性,这表明网络关注度作为旅游市场的先导性指标,能够有效反映区域旅游产业阶段性特征.网络关注度的季节性周期特征与卢长宝等[38 ] 对微旅游、毛志莹等[39 ] 对武夷山国家公园、王钦安等[40 ] 对安徽红色旅游网络关注度的分析结论相一致,但淡旺季分布存在一定的差异,这主要归因于案例地存在显著的南北方地域差异.进一步,通过建构基于经济基础、数字赋能、产业支撑、空间联系和资源禀赋在内的生态旅游网络关注度PVAR模型,系统揭示了黄河流域生态旅游网络关注度的影响因素作用机制,突破了以往网络关注度影响因素静态分析的局限性[41 -42 ] .另外,本研究发现交通通达度和数字化水平对生态旅游网络关注度产生显著性影响,这一结论不仅验证了已有研究关于基础设施建设对区域旅游发展的推动作用[43 ] ,也侧面反映了黄河流域生态旅游具有如下特性,即生态旅游地往往相对偏远并受交通制约较强,游客生态旅游体验更易受预期构建和网络信息获取的影响. ...
基于百度指数的武夷山国家公园网络关注度时空特征研究
1
2023
... 生态旅游是推进黄河流域生态保护和高质量发展的重要举措.本文将网络关注度引入生态旅游研究领域,考察了黄河流域沿线省区生态旅游网络关注度的时空动态演化,不仅一定程度上丰富了区域生态旅游的理论研究体系,更为生态旅游市场潜力开发提供了新思路.此外,本文发现的黄河流域生态旅游网络关注度阶段性特征与葛励闻[36 ] 对中国旅游经济宏观发展、郭强等[37 ] 对省域旅游高质量发展的阶段划分具有相似性,这表明网络关注度作为旅游市场的先导性指标,能够有效反映区域旅游产业阶段性特征.网络关注度的季节性周期特征与卢长宝等[38 ] 对微旅游、毛志莹等[39 ] 对武夷山国家公园、王钦安等[40 ] 对安徽红色旅游网络关注度的分析结论相一致,但淡旺季分布存在一定的差异,这主要归因于案例地存在显著的南北方地域差异.进一步,通过建构基于经济基础、数字赋能、产业支撑、空间联系和资源禀赋在内的生态旅游网络关注度PVAR模型,系统揭示了黄河流域生态旅游网络关注度的影响因素作用机制,突破了以往网络关注度影响因素静态分析的局限性[41 -42 ] .另外,本研究发现交通通达度和数字化水平对生态旅游网络关注度产生显著性影响,这一结论不仅验证了已有研究关于基础设施建设对区域旅游发展的推动作用[43 ] ,也侧面反映了黄河流域生态旅游具有如下特性,即生态旅游地往往相对偏远并受交通制约较强,游客生态旅游体验更易受预期构建和网络信息获取的影响. ...
安徽省红色旅游网络关注度时空分布研究
1
2022
... 生态旅游是推进黄河流域生态保护和高质量发展的重要举措.本文将网络关注度引入生态旅游研究领域,考察了黄河流域沿线省区生态旅游网络关注度的时空动态演化,不仅一定程度上丰富了区域生态旅游的理论研究体系,更为生态旅游市场潜力开发提供了新思路.此外,本文发现的黄河流域生态旅游网络关注度阶段性特征与葛励闻[36 ] 对中国旅游经济宏观发展、郭强等[37 ] 对省域旅游高质量发展的阶段划分具有相似性,这表明网络关注度作为旅游市场的先导性指标,能够有效反映区域旅游产业阶段性特征.网络关注度的季节性周期特征与卢长宝等[38 ] 对微旅游、毛志莹等[39 ] 对武夷山国家公园、王钦安等[40 ] 对安徽红色旅游网络关注度的分析结论相一致,但淡旺季分布存在一定的差异,这主要归因于案例地存在显著的南北方地域差异.进一步,通过建构基于经济基础、数字赋能、产业支撑、空间联系和资源禀赋在内的生态旅游网络关注度PVAR模型,系统揭示了黄河流域生态旅游网络关注度的影响因素作用机制,突破了以往网络关注度影响因素静态分析的局限性[41 -42 ] .另外,本研究发现交通通达度和数字化水平对生态旅游网络关注度产生显著性影响,这一结论不仅验证了已有研究关于基础设施建设对区域旅游发展的推动作用[43 ] ,也侧面反映了黄河流域生态旅游具有如下特性,即生态旅游地往往相对偏远并受交通制约较强,游客生态旅游体验更易受预期构建和网络信息获取的影响. ...
中国徒步旅游网络关注度的时空特征及影响因素
1
2024
... 生态旅游是推进黄河流域生态保护和高质量发展的重要举措.本文将网络关注度引入生态旅游研究领域,考察了黄河流域沿线省区生态旅游网络关注度的时空动态演化,不仅一定程度上丰富了区域生态旅游的理论研究体系,更为生态旅游市场潜力开发提供了新思路.此外,本文发现的黄河流域生态旅游网络关注度阶段性特征与葛励闻[36 ] 对中国旅游经济宏观发展、郭强等[37 ] 对省域旅游高质量发展的阶段划分具有相似性,这表明网络关注度作为旅游市场的先导性指标,能够有效反映区域旅游产业阶段性特征.网络关注度的季节性周期特征与卢长宝等[38 ] 对微旅游、毛志莹等[39 ] 对武夷山国家公园、王钦安等[40 ] 对安徽红色旅游网络关注度的分析结论相一致,但淡旺季分布存在一定的差异,这主要归因于案例地存在显著的南北方地域差异.进一步,通过建构基于经济基础、数字赋能、产业支撑、空间联系和资源禀赋在内的生态旅游网络关注度PVAR模型,系统揭示了黄河流域生态旅游网络关注度的影响因素作用机制,突破了以往网络关注度影响因素静态分析的局限性[41 -42 ] .另外,本研究发现交通通达度和数字化水平对生态旅游网络关注度产生显著性影响,这一结论不仅验证了已有研究关于基础设施建设对区域旅游发展的推动作用[43 ] ,也侧面反映了黄河流域生态旅游具有如下特性,即生态旅游地往往相对偏远并受交通制约较强,游客生态旅游体验更易受预期构建和网络信息获取的影响. ...
湖南省红色景区网络关注度的空间差异及其影响因素
1
2024
... 生态旅游是推进黄河流域生态保护和高质量发展的重要举措.本文将网络关注度引入生态旅游研究领域,考察了黄河流域沿线省区生态旅游网络关注度的时空动态演化,不仅一定程度上丰富了区域生态旅游的理论研究体系,更为生态旅游市场潜力开发提供了新思路.此外,本文发现的黄河流域生态旅游网络关注度阶段性特征与葛励闻[36 ] 对中国旅游经济宏观发展、郭强等[37 ] 对省域旅游高质量发展的阶段划分具有相似性,这表明网络关注度作为旅游市场的先导性指标,能够有效反映区域旅游产业阶段性特征.网络关注度的季节性周期特征与卢长宝等[38 ] 对微旅游、毛志莹等[39 ] 对武夷山国家公园、王钦安等[40 ] 对安徽红色旅游网络关注度的分析结论相一致,但淡旺季分布存在一定的差异,这主要归因于案例地存在显著的南北方地域差异.进一步,通过建构基于经济基础、数字赋能、产业支撑、空间联系和资源禀赋在内的生态旅游网络关注度PVAR模型,系统揭示了黄河流域生态旅游网络关注度的影响因素作用机制,突破了以往网络关注度影响因素静态分析的局限性[41 -42 ] .另外,本研究发现交通通达度和数字化水平对生态旅游网络关注度产生显著性影响,这一结论不仅验证了已有研究关于基础设施建设对区域旅游发展的推动作用[43 ] ,也侧面反映了黄河流域生态旅游具有如下特性,即生态旅游地往往相对偏远并受交通制约较强,游客生态旅游体验更易受预期构建和网络信息获取的影响. ...
黄河流域国家湿地公园时空分异、重心演化与驱动因素分析
1
2024
... 生态旅游是推进黄河流域生态保护和高质量发展的重要举措.本文将网络关注度引入生态旅游研究领域,考察了黄河流域沿线省区生态旅游网络关注度的时空动态演化,不仅一定程度上丰富了区域生态旅游的理论研究体系,更为生态旅游市场潜力开发提供了新思路.此外,本文发现的黄河流域生态旅游网络关注度阶段性特征与葛励闻[36 ] 对中国旅游经济宏观发展、郭强等[37 ] 对省域旅游高质量发展的阶段划分具有相似性,这表明网络关注度作为旅游市场的先导性指标,能够有效反映区域旅游产业阶段性特征.网络关注度的季节性周期特征与卢长宝等[38 ] 对微旅游、毛志莹等[39 ] 对武夷山国家公园、王钦安等[40 ] 对安徽红色旅游网络关注度的分析结论相一致,但淡旺季分布存在一定的差异,这主要归因于案例地存在显著的南北方地域差异.进一步,通过建构基于经济基础、数字赋能、产业支撑、空间联系和资源禀赋在内的生态旅游网络关注度PVAR模型,系统揭示了黄河流域生态旅游网络关注度的影响因素作用机制,突破了以往网络关注度影响因素静态分析的局限性[41 -42 ] .另外,本研究发现交通通达度和数字化水平对生态旅游网络关注度产生显著性影响,这一结论不仅验证了已有研究关于基础设施建设对区域旅游发展的推动作用[43 ] ,也侧面反映了黄河流域生态旅游具有如下特性,即生态旅游地往往相对偏远并受交通制约较强,游客生态旅游体验更易受预期构建和网络信息获取的影响. ...