青海省共和县农牧民对禁牧政策的认知以及响应差异 |
| 张嗣虎, 刘树林, 康文平, 支莹, 芦瑞杰, 石洋 |
|
Difference of cognition and response of farmers and herdsmen to grazing prohibition policy in Gonghe,Qinghai, China |
| Sihu Zhang, Shulin Liu, Wenping Kang, Ying Zhi, Ruijie Lu, Yang Shi |
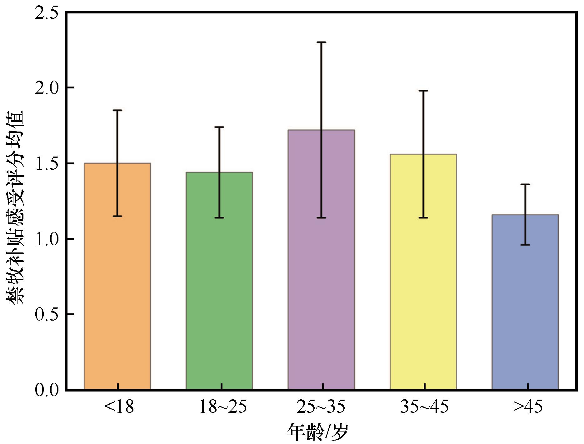
| 图2 不同年龄段对禁牧补贴数量感受评分均值(1.少,2.一般,3.较多) |
| Fig.2 The average value of the perception of the number of grazing prohibition subsidies in different age groups |
|