祁连山青海云杉( Picea crassifolia )径向变化对环境因子的响应 |
| 赵书玄, 田全彦, 蔺鹏飞, 杜军, 陈龙飞, 朱喜, 肖生春, 何志斌 |
|
Stem radial changes of Picea crassifolia in response to environmental factors in the Qilian Mountains |
| Shuxuan Zhao, Quanyan Tian, Pengfei Lin, Jun Du, Longfei Chen, Xi Zhu, Shengchun Xiao, Zhibin He |
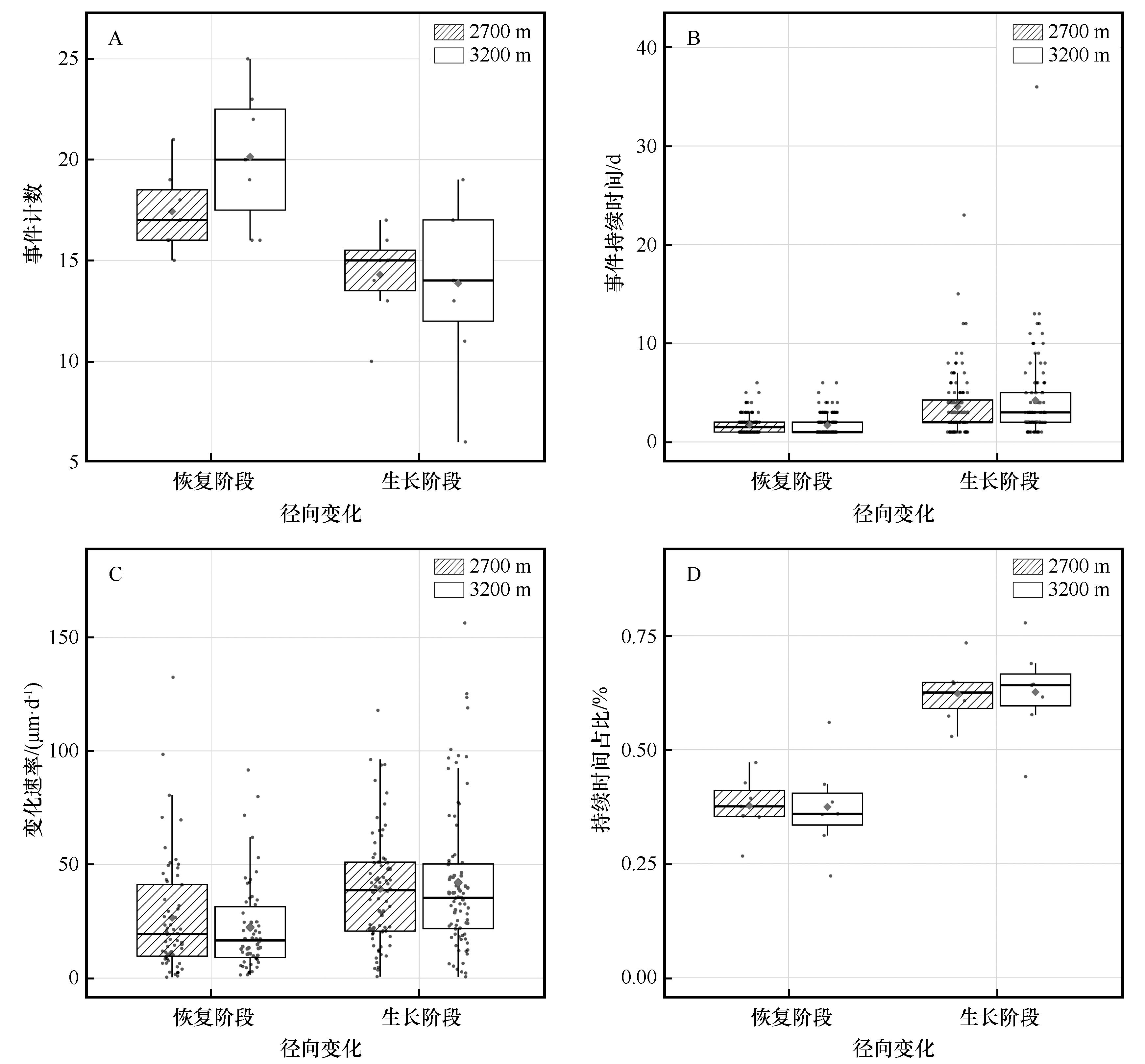
| 图6 海拔2 700 m及3 200 m处青海云杉恢复与生长阶段事件特征 |
| Fig.6 Recovery and growth event characteristics of Picea crassifolia at 2 700 m and 3 200 m |
|