荒漠绿洲过渡带人工梭梭(Haloxylon ammodendron)林下草本植物演替特征
王国华, 张晓颖, 王佳琪, 申长盛

Succession of the herbaceous layer in Haloxylon ammodendron woodland in a desert-oasis ecotone of the Hexi Corridor
Guohua Wang, Xiaoying Zhang, Jiaqi Wang, Changsheng Shen
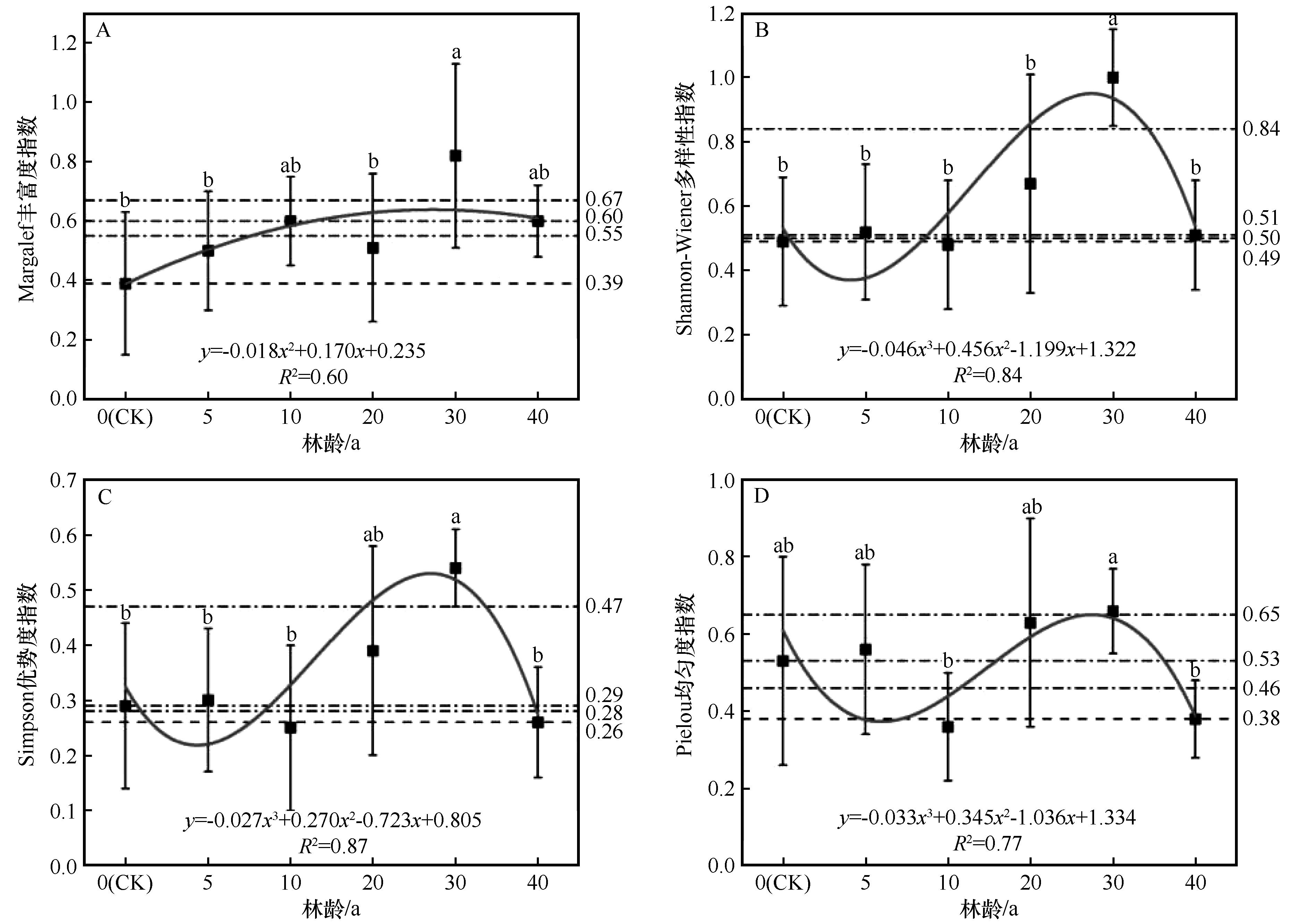
图6 不同林龄梭梭林下草本植物多样性指数变化趋势
注:不同小写字母表示不同林龄土壤理化性质在P<0.05水平差异显著
Fig.6 Changes in herbaceous plant diversity index under Haloxylon ammodendron woodland with different ages