柠条Caragana korshinskii、花棒Hedysarum scoparium根系生长对土壤含水量的响应
陈炫廷, 周海, 杨淇越, 任珩, 顾虎利, 范明彦

Responses of root growth to soil moisture in Caragana korshinskii and Hedysarum scoparium
Xuanting Chen, Hai Zhou, Qiyue Yang, Heng Ren, Huli Gu, Mingyan Fan
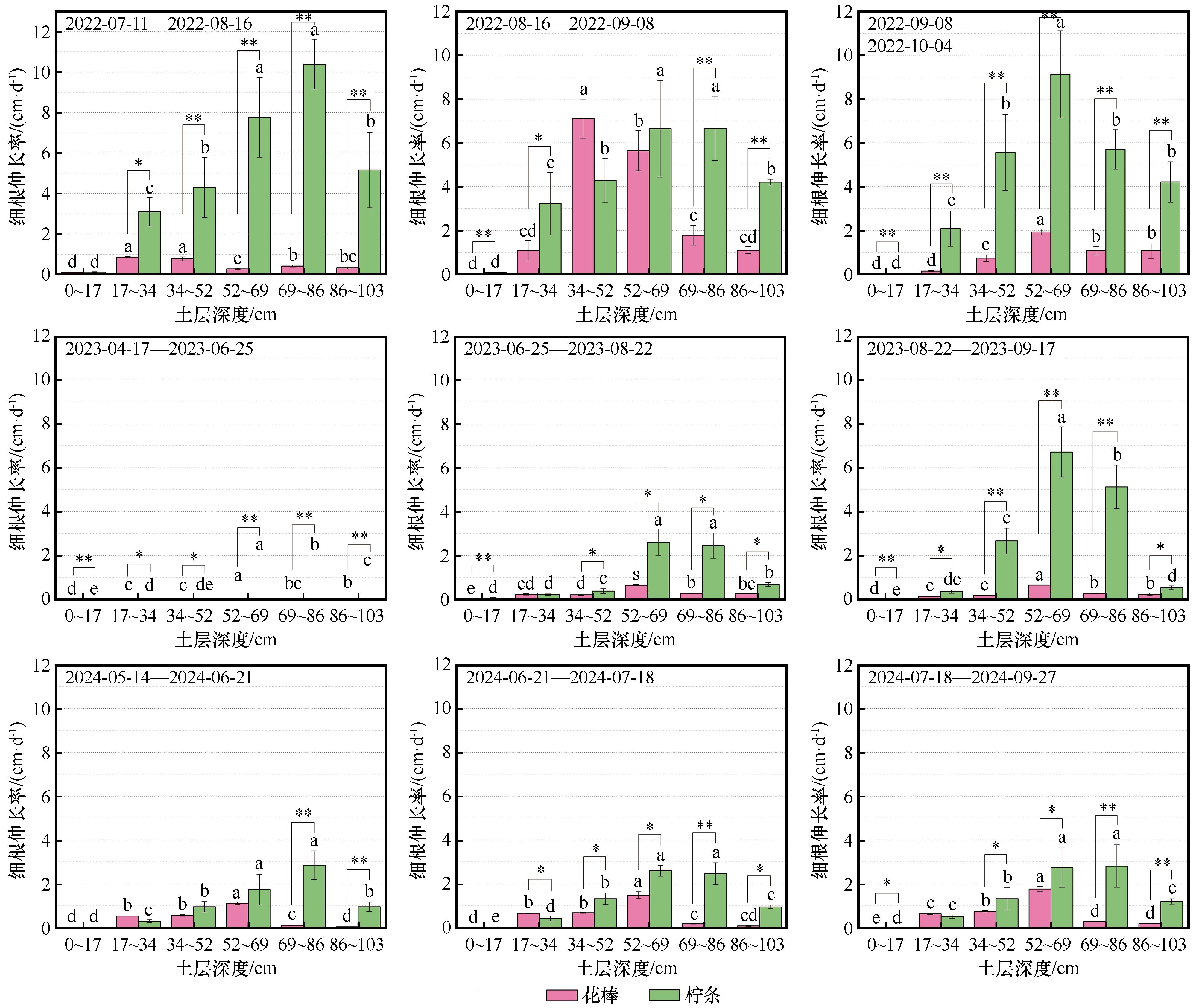
图4 不同土壤深度下两种荒漠植物细根伸长率动态
注:不同小写字母表示相同物种不同土层间差异显著(P<0.05);*表示两个物种差异显著(P<0.05);**表示两个物种差异极显著(P<0.01)
Fig.4 Fine‐root elongation rate of the two species across soil depths