干旱区绿洲-荒漠过渡带蒸散发及其驱动机制
吉喜斌, 金博文, 赵文玥, 周海, 陈锐, 李东生, 赵丽雯, 赵文智

Evapotranspiration and its driving mechanism of an oasis-desert ecotone ecosystem in arid regions
Xibin Ji, Bowen Jin, Wenyue Zhao, Hai Zhou, Rui Chen, Dongsheng Li, Liwen Zhao, Wenzhi Zhao
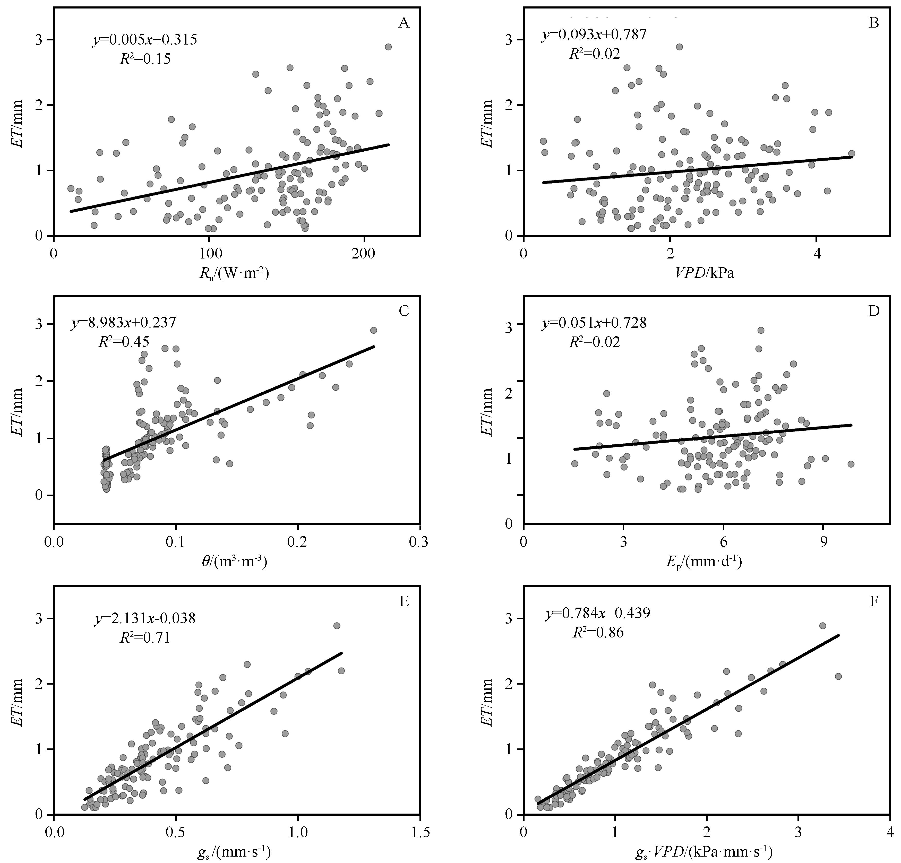
图3 植被生长季日蒸散发量与主要环境驱动因子和表面导度的关系
注:ET为日蒸散发量;Rn为净辐射;VPD为饱和水汽压差;θ为土壤体积含水量;Ep为日潜在蒸散发;gs为表面导度。黑粗直线表示日蒸散发量与各日均环境因子和表面导度的线性拟合(P<0.05)
Fig.3 Interrelations between daily evapotranspiration and key driving environmental factors and surface conductance during the growth season of vegetation (ETRnVPDθEpgs denote daily evapotranspiration, mean daytime net radiation, vapor pressure deficit, soil moisture, potential evapotranspiration, surface conductance, respectively; the bold black lines represent linear regression line between daily evapotranspiration and environmental factors and surface conductance (P<0.05))