农业光伏体系耦合滴灌措施对沙漠土壤环境的影响
卫仕奇, 刘银珠, 余启杰, 苏洁琼, 胡亚虎
Effects of agrivoltaic systems coupled with drip irrigation on desert soil environment
Shiqi Wei, Yinzhu Liu, Qijie Yu, Jieqiong Su, Yahu Hu
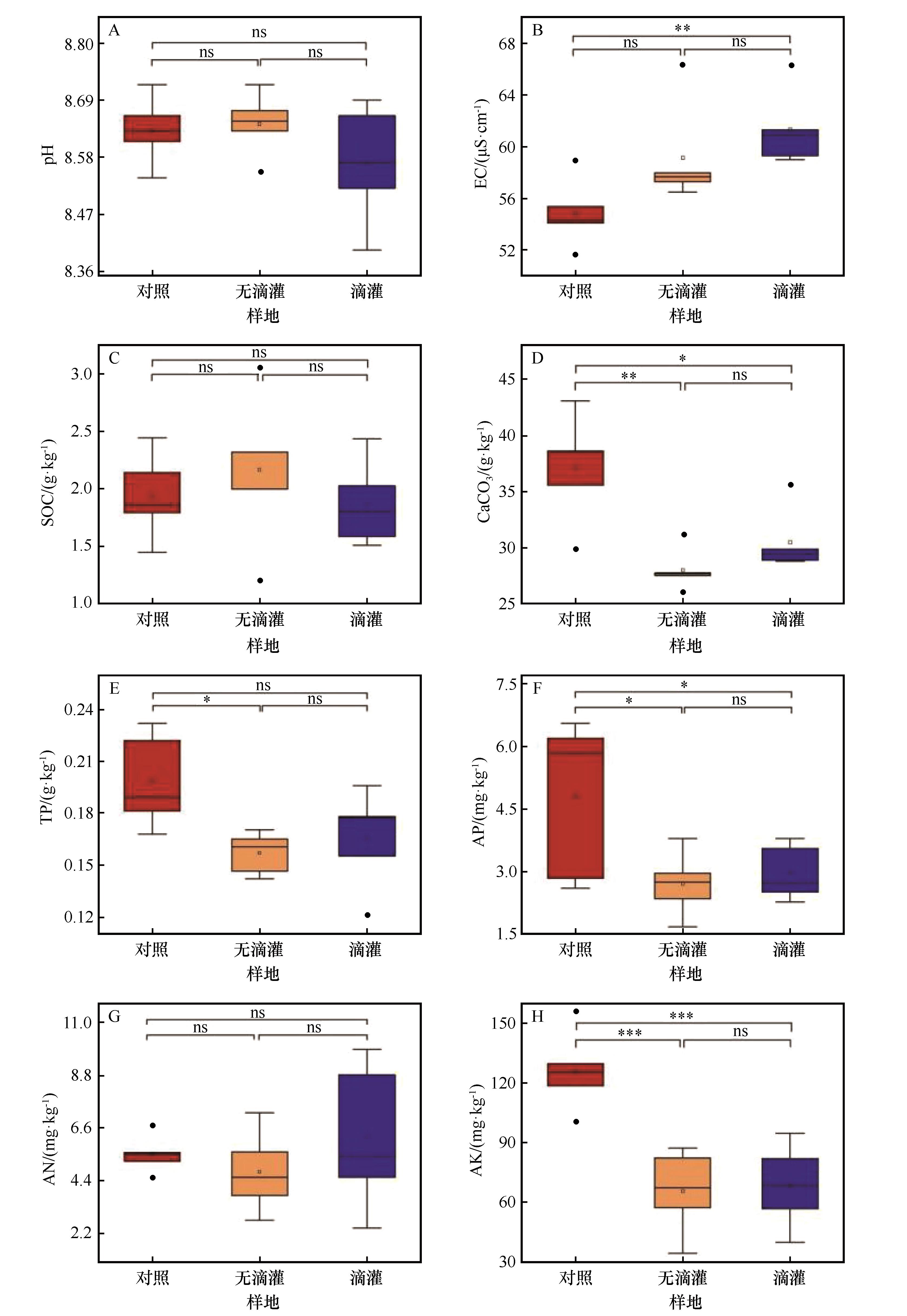
图3
土壤化学性质
注:
pH为土壤pH;EC为土壤电导率;SOC为土壤有机碳含量;CaCO
3
为碳酸钙含量;TP为土壤总磷量;AP为有效磷含量;AN为碱解氮含量;AK为速效钾含量。*为
P
<0.05;**为
P
<0.01;***为
P
<0.001;ns为
P
>0.05
Fig.3
Soil chemical properties