雅鲁藏布江中下游流域宽谷风蚀区土壤质量
宫航, 刘昊, 陈松焱, 丁国栋

Soil quality evaluation of different site types in wind erosion area of wide valley in the middle and lower reaches of Yarlung Zangbo River Basin
Hang Gong, Hao Liu, Songyan Chen, Guodong Ding
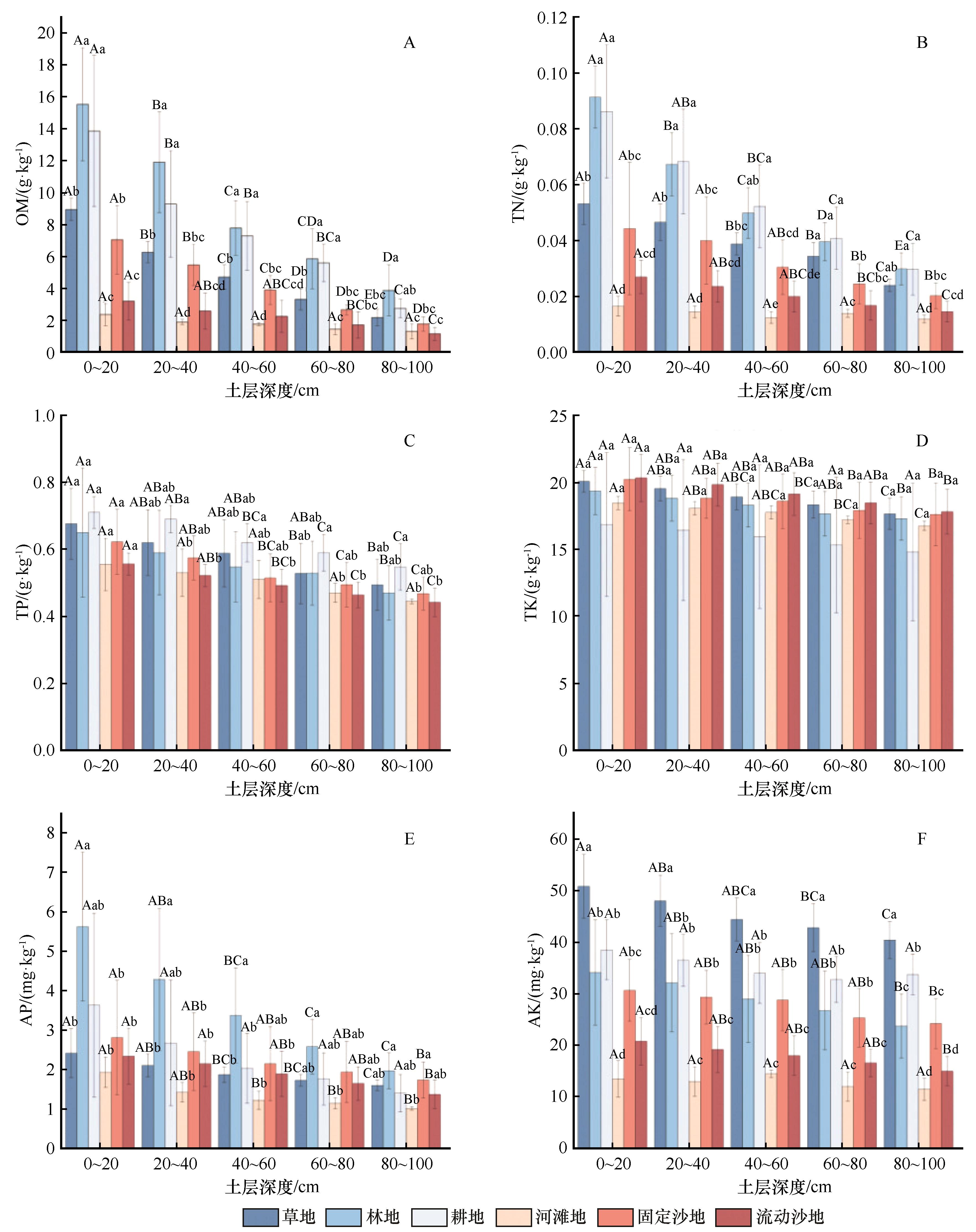
图2 不同立地类型0~100 cm土层土壤化学性质
注:AK为速效钾;OM为有机质;TN为全氮;TK为全钾;TP为全磷;AP为有效磷。不同小写字母表示同一土层深度不同立地类型间差异显著(P<0.05);不同大写字母表示相同立地类型下不同土层深度间差异显著(P<0.05)
Fig.2 Soil chemical properties in 0-100 cm soil layer of different site types