东北典型风蚀区不同土地利用方式下的风沙活动强度特征 |
| 赵馨茹, 韩雪晴, 梁羽石, 张瑜, 王大中, 李庆, 郭中领, 沈海鸥 |
|
Characteristics of aeolian sand activity intensity under different land-use types in a typical wind erosion region of Northeast China |
| Xinru Zhao, Xueqing Han, Yushi Liang, Yu Zhang, Dazhong Wang, Qing Li, Zhongling Guo, Haiou Shen |
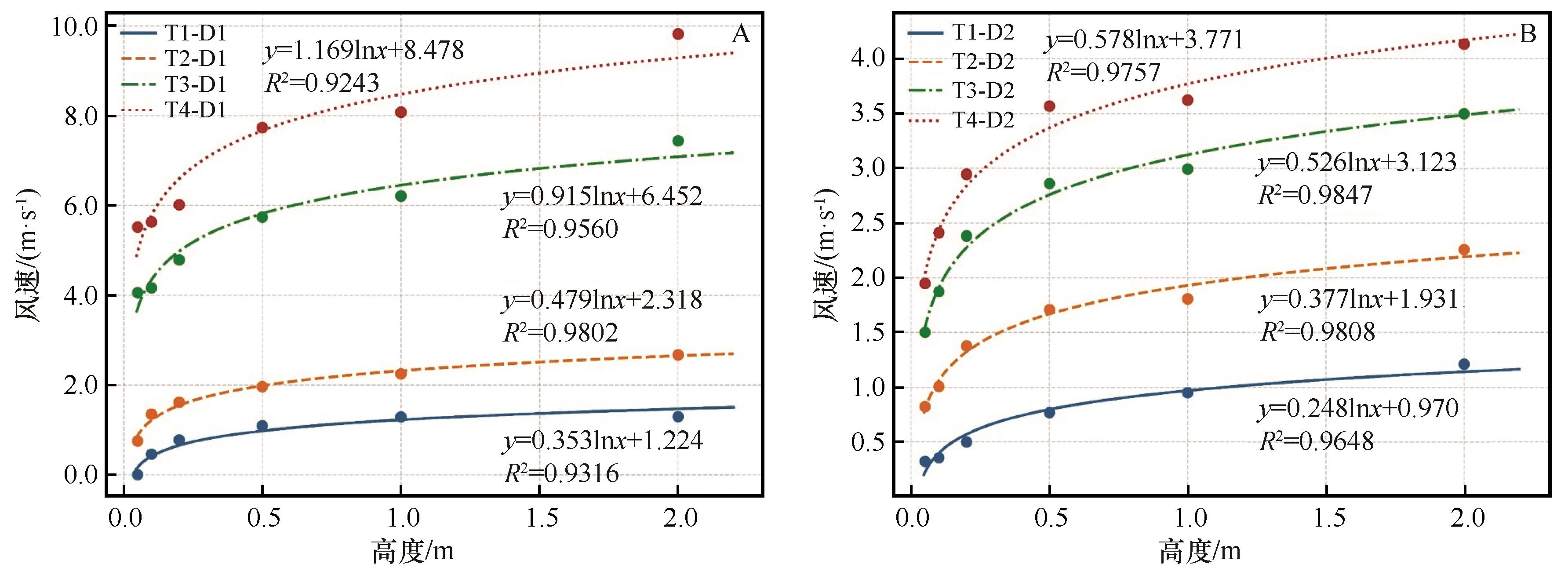
| 图15 D1、D2在4个相同时间间隔内的风速廓线变化 |
| Fig.15 Variation of wind speed profiles for D1 and D2 during four identical time intervals |
|