基于改进的第一次全国水利普查风蚀模型的河西走廊土壤风蚀时空变化研究 |
| 白荔媛, 李庆, 王洪涛 |
|
Study on the spatiotemporal changes of soil wind erosion in the Hexi Corridor based on the improved soil wind erosion model used in the first water resources census of China |
| Liyuan Bai, Qing Li, Hongtao Wang |
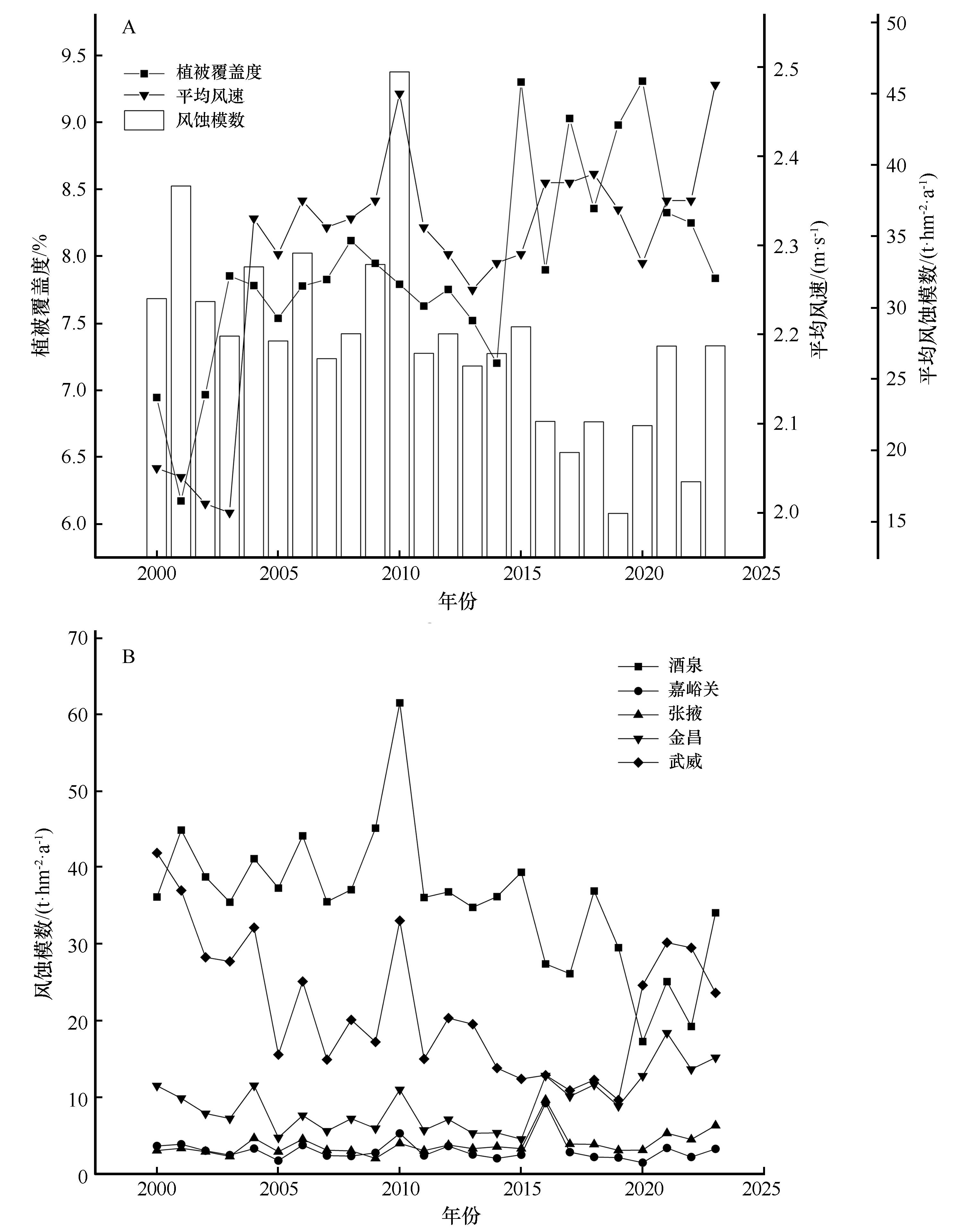
| 图 5 2000—2023年河西走廊平均风蚀模数变化 |
| Fig.5 Variation of the average wind erosion modulus in the Hexi Corridor from 2000 to 2023 |
|