img

官方微信

高级检索

中国沙漠 ›› 2022, Vol. 42 ›› Issue (2): 25-35.DOI: 10.7522/j.issn.1000-694X.2021.00112

• • 上一篇    下一篇

沙地樟子松( Pinus sylvestris var. mongolica )物候特征及其对气候的响应

刘轩1,2,3(), 赵珮杉1,2,3, 高广磊1,2,3,4(), 赵媛媛1,2,3,4, 丁国栋1,2,3,4, 糜万林5   

  1. 1.北京林业大学,水土保持学院,北京 100083
    2.北京林业大学,林业生态工程教育部工程研究中心,北京 100083
    3.北京林业大学,宁夏盐池毛乌素沙地生态系统国家定位观测研究站,北京 100083
    4.北京林业大学,水土保持国家林业和草原局重点实验室,北京 100083
    5.巴彦淖尔市封育飞播管理站,内蒙古 巴彦淖尔 015000
  • 收稿日期:2021-07-09 修回日期:2021-09-01 出版日期:2022-03-20 发布日期:2022-03-30
  • 通讯作者: 高广磊
  • 作者简介:高广磊(E-mail: gaoguanglei@bjfu.edu.cn
    刘轩(1998—),女,黑龙江巴彦人,硕士研究生,主要研究方向为荒漠化防治。E-mail: liuxuan@bjfu.edu.cn
  • 基金资助:
    中央高校基本科研业务费项目(2021ZY47);国家自然科学基金项目(41971130);国家重点研发计划项目(2018YFC0507102);内蒙古自治区中央引导地方科技项目“浑善达克沙地生态文化产业关键技术研究与示范”

Variations in phenology of Pinus sylvestris var. mongolica and the response to climate factors

Xuan Liu1,2,3(), Peishan Zhao1,2,3, Guanglei Gao1,2,3,4(), Yuanyuan Zhao1,2,3,4, Guodong Ding1,2,3,4, Wanlin Mi5   

  1. 1.School of Soil and Water Conservation /, Beijing Forestry University,Beijing 100083,China
    2.Ministry of Education Engineering Research Center of Forestry Ecological Engineering /, Beijing Forestry University,Beijing 100083,China
    3.Yanchi Ecology Research Station of the Mu Us Desert /, Beijing Forestry University,Beijing 100083,China
    4.Key Laboratory of Soil and Water Conservation, Beijing Forestry University,Beijing 100083,China
    5.Management Station for Enclosure and Aerial Seedling of Bayannur City,Bayannur 015000,Inner Mongolia,China
  • Received:2021-07-09 Revised:2021-09-01 Online:2022-03-20 Published:2022-03-30
  • Contact: Guanglei Gao

摘要:

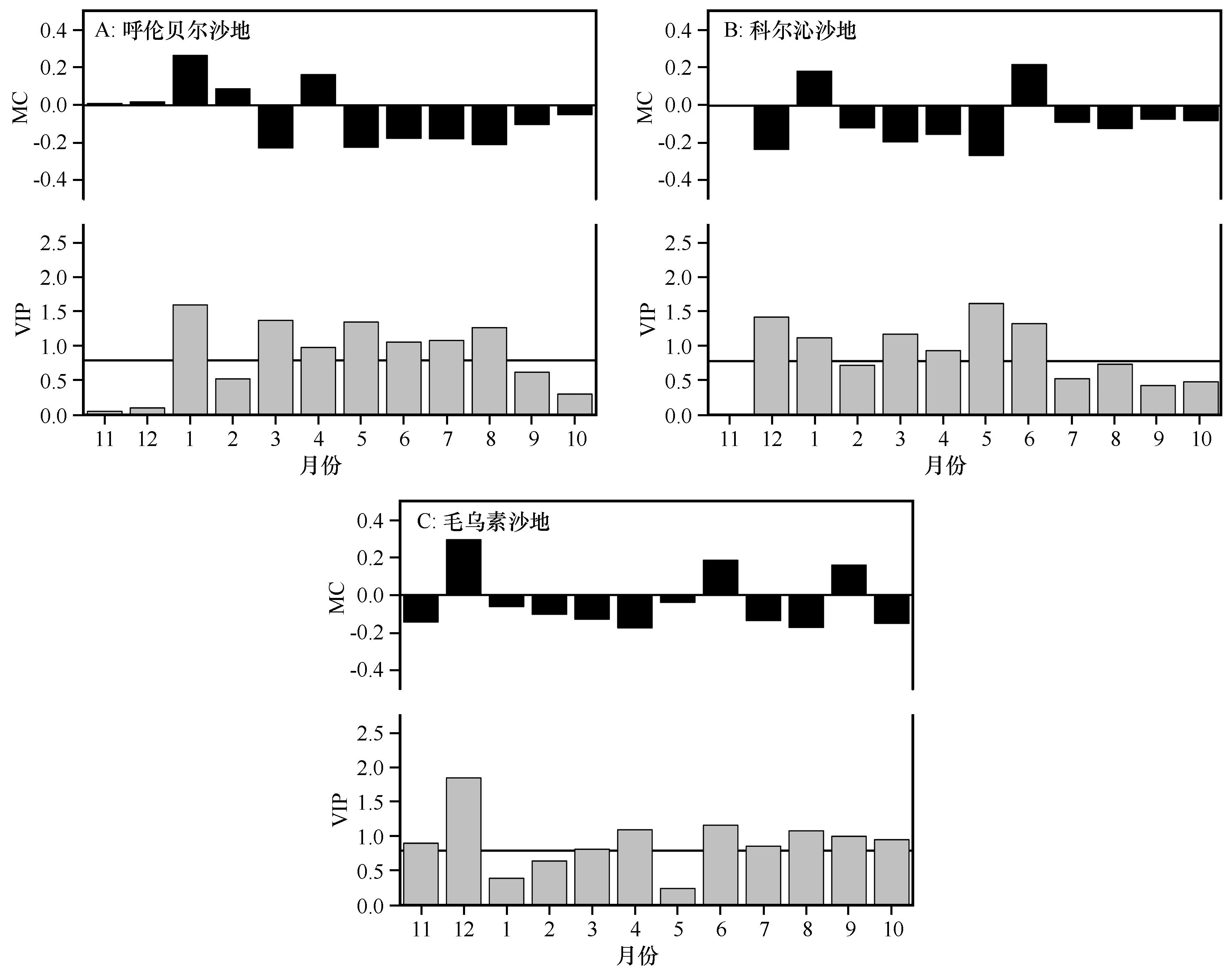
物候反映植被对环境变化的响应。沙地樟子松(Pinus sylvestris var. mongolica)被广泛引种栽植于中国北方风沙区,但引种区气候条件差异对沙地樟子松物候的影响仍然尚不明确。基于2001—2020年MOD13Q1数据和气象数据,分别采用最大斜率法和趋势分析方法提取沙地樟子松植被遥感物候信息并比较物候时空动态特征差异,以偏最小二乘回归方法分析沙地樟子松遥感物候对气象因子变化的响应。结果表明:(1)呼伦贝尔、科尔沁、毛乌素沙地樟子松生长季分别始于第100—150、120—140、100—140天;生长季分别止于第300—340、270—315、260—310天;生长季长度分别为170—220、140—180、150—200 d。(2)呼伦贝尔、科尔沁、毛乌素沙地樟子松生长季始期显著提前(P<0.05),变化率分别为-15.7、-5.7、-13.9 d/10a;科尔沁、毛乌素沙地樟子松生长季末期显著提前(P<0.05),变化率分别为-11.7、 -16.8 d/10a;呼伦贝尔沙地樟子松生长季长度显著延长(P<0.05),变化率为9.8 d/10a。(3)呼伦贝尔沙地樟子松生长季始期提前主要受上年8月气温降低和3月降水减少影响,生长季末期提前主要受1月降水减少影响;科尔沁沙地樟子松生长季始期和末期提前分别受上年7月降水减少和5月降水增加影响;毛乌素沙地生长季始期提前主要受3月气温升高和上年12月降水减少影响,生长季末期提前主要受9月气温上升和上年12月降水减少影响。研究结果可为深入理解沙地樟子松物候特征和人工林经营管理提供理论依据。

关键词: 植被物候, 生长季, 沙地樟子松(Pinus sylvestris var. mongolica), 气侯因子, 偏最小二乘回归

Abstract:

Vegetation phenology reflects the direct response of vegetation to environmental change. Although Pinus sylvestris var. mongolica were widely introduced in the desertified northern China, the effects of climate conditions of introduction area on the phenology still remain unclear. Based on the MOD13Q1 products, and meteorological data (2001-2020), the phenology information and the temporal and spatial dynamic of P. sylvestris were explored using the maximum slope and trend analysis method, respectively. Moreover, the relations between phenology and climate factors were identified using the partial least squares regression. The results showed that: (1) The growing season of P. sylvestris started at the 100-150, 120-140, 100-140 DOY (day of year) and ended in 300-340, 270-315, 260-315 DOY in the Hulunbuir, Horqin and Mu Us Sandy Land respectively. The growing season was 170-220, 140-180, 150-200 days, respectively. (2) The initial growing season was significant earlier in the Hulunbuir, Horqin and Mu Us Sandy Land (P<0.05) with the change rates of -15.7, -5.7, -13.9 days every decade, respectively. The end of growing season was significant earlier in the Horqin and Mu Us Sandy Land (P<0.05) with the change rates of -11.7 and -16.8 days every decade, respectively. The growing season increased significantly in the Hulunbuir Sandy Land (P<0.05) with the change rate of 9.8 days every decade. (3) In the Hulunbuir Sandy Land, the early beginning of growing season was affected by the temperature reduction in August last year and the precipitation decrease in March. The late end of growing season was affected by the precipitation decrease in January. In the Horqin Sandy Land, the early beginning and late end of growing season were affected by the precipitation reduction in July last year and precipitation increase in May, respectively. In the Mu Us Sandy Land, the early beginning of growing season was affected by the temperature rise in March and the precipitation decrease in December last year, and the early end of growing season was affected by the temperature rise in September and the precipitation decrease in December last year. This improved information not only provides a better understanding of the phenology of P. sylvestris, but also contributes to the forest management towards a changing world.

Key words: vegetation phenology, growing season, Pinus sylvestris var. mongolica, climate factor, partial least squares regression

中图分类号: