裸露农田近地表风速脉动特征
张慧 , , 张春来 , , 刘欣宇 , 代豫杰 , 岑松勃 , 沈亚萍
北京师范大学 地理科学学部 地表过程与资源生态国家重点实验室 / 防沙治沙教育部工程研究中心,北京 100875
Characteristics of wind speed pulsation above a bare farmland surface
Zhang Hui , , Zhang Chunlai , , Liu Xinyu , Dai Yujie , Cen Songbo , Shen Yaping
State Key Laboratory of Earth Surface Processes and Resource Ecology / MOE Engineering Research Center of Desertification and Blown-sand Control,Faculty of Geographical Science,Beijing Normal University,Beijing 100875,China
通讯作者: 张春来(E-mail: clzhang@bnu.edu.cn )
收稿日期: 2020-04-20
修回日期: 2020-05-12
网络出版日期: 2020-09-28
基金资助:
国家自然科学基金项目 . 41630747
Received: 2020-04-20
Revised: 2020-05-12
Online: 2020-09-28
摘要
利用河北坝上地区裸露农田近地层风速的连续观测资料,分析了净风与风沙环境下近地表风速脉动特征。结果表明:地表风速脉动强度(uv )随平均风速的增加而增大,净风环境下脉动强度随风速的增大比风沙环境增加的更快,反映了运动沙粒对风速脉动过程具有一定的抑制作用。湍流度随平均风速的变化呈现幂函数递减趋势,净风环境的湍流度大于风沙环境。脉动风速的分布范围、概率分布集中性以及脉动强度与风速统计时距(Δt )有关。时距越小,脉动风速的分布范围越小,概率分布越集中。u v _ m a x / u v ¯ 随时距增大表现出先迅速减小(Δt < 5 min)后趋于稳定(Δt > 5 min)的变化趋势,< 5 min的风速时距能较好地反映风速脉动特性。考虑到风速数据获取的可行性,在计算输沙率时,采用1~5 min时距的风速统计资料较为合理。
关键词:
农田
;
风速脉动
;
湍流度
;
平均风速的时距
Abstract
Based on the continuous observation of wind speed above a bare farmland surface in the Bashang regions, characteristics of wind speed pulsation in the net wind and blown sand environment were analyzed. The results show that the pulsation intensity (uv ) is positively related to the average wind speed (u ¯ ), and uv increases with u faster in the net wind than in the blown sand environment, indicating that the blown sand has a inhibitory effect on the wind speed pulsation.The change of turbulence intensity (g ) with the average wind speed shows a decreasing trend in power law. The distribution range of wind speed pulsation and the concentration of its probability distribution are related to the time interval (Δt ) for averaging wind speed. The smaller the time interval, the smaller the distribution range of pulsating speed and the more concentrated the probability distribution. As Δt increases, u v _ m a x / u v ¯ shows a trend of rapid decrease when Δt < 5 min and tends to be stable when Δt > 5 min, implying that wind data averaged with Δt < 5 min can reflect the characteristics of wind pulsation well. Considering the feasibility in data access, it is reasonable to use the wind speed data of 1-5 min time interval in calculating the sediment transport rate which is influenced by wind pulsation.
Keywords:
farmland
;
wind speed pulsation
;
turbulence intensity
;
time interval for averaging wind speed
本文引用格式
张慧, 张春来, 刘欣宇, 代豫杰, 岑松勃, 沈亚萍. 裸露农田近地表风速脉动特征 . 中国沙漠 [J], 2020, 40(5): 57-64 doi:10.7522/j.issn.1000-694X.2020.00050
Zhang Hui, Zhang Chunlai, Liu Xinyu, Dai Yujie, Cen Songbo, Shen Yaping. Characteristics of wind speed pulsation above a bare farmland surface . Journal of Desert Research [J], 2020, 40(5): 57-64 doi:10.7522/j.issn.1000-694X.2020.00050
0 引言
作为塑造风沙地貌形态的基本营力和沙粒运动的动力条件,风速和风向都表现出一定的脉动和阵性特征[1 ] 。风沙活动与风速脉动密切相关,风速脉动对床面沙粒的跃移上升力和剪切力具有显著的作用[2 ] ,而剪切力与输沙率具有良好的相关性[3 ] 。沙粒运动也可以对风速脉动产生反作用,进而影响沙粒自身的输移[3 -4 ] 。在不同下垫面、不同风速条件下风沙流的风速脉动特征方面,张克存等[5 ] 观测发现戈壁和流沙地表风速脉动强度随风速的增大而增大,而湍流度只是高度的函数,与风速无关。王雪芹等[6 ] 分析了塔克拉玛干沙漠南缘策勒绿洲的裸沙、柽柳及骆驼刺3种下垫面的风速脉动特征,发现风向脉动幅度随植物覆盖度的增加而增大,而植被的存在对风速脉动分布规律没有影响,3种下垫面的脉动风速均近似服从高斯分布,脉动强度也随风速增加而增大。郑先念等[7 ] 利用塔中地区人工绿地近地层80 m的风速观测资料,发现沙尘暴天气的风速脉动强度随距离地表高度的增大而呈现先减小后增加的趋势,湍流度随高度的增加则逐渐减小。安志山等[8 ] 发现,不同天气下脉动风速的变化规律相近,脉动风速的分布范围以及脉动强度随风速呈正比,但是沙尘暴天气下的风速脉动强度更大。上述研究中,部分结论是通过风洞实验(风速、下垫面等人为可控)得到的,而关于自然条件下风速脉动的研究集中在沙漠、绿洲及其过渡带[9 -12 ] ,缺少农田地表风速脉动研究。农田的地表属性与沙漠明显不同,对农田风速脉动特征的研究,有助于进一步了解风沙互馈机制,对农田土壤风蚀的研究具有重要意义。
对一定时间内各物理量取平均值是对风沙运动定量研究的传统做法。在评估风速大小或利用风速资料估算输沙率时,一般采用一定时距的平均风速,很少采用瞬时风速[13 -14 ] 。采用平均风速的优点是便于了解风速变化的宏观特征。然而,不同时距的风速取值直接影响风沙运动的定量研究,尤其在输沙率、起动风速、输沙势计算中产生的偏差不容忽视[15 -17 ] 。近年来,部分学者也在积极探索利用小波相干分析等其他方法探究野外非稳定风况情形下的输沙过程,例如Wang等[18 ] 利用时均小波相干系数对整个时间序列下风速和颗粒跃移之间的相互作用进行检测,发现这些相互作用主要发生在几十到数百秒的时间尺度上。因此合理的时距选取对于准确揭示风沙运动规律和科学防沙治沙具有重要的科学意义与现实意义。目前在基于气象站记录风速进行的输沙率、输沙势计算中,风速数据最小时距为1 h(实际为每小时最初10 min的平均风速),这主要与气象站风速统计数据的局限性有关。究竟多大的时距相对较为合理,仍是风沙运动宏观研究领域需要讨论的问题。
半干旱农牧交错地区的旱作农田,是中国北方主要的风蚀地表类型[19 ] 。通过对坝上地区裸露农田近地表1 m高度风速的连续观测,分析了近地表风速脉动特征以及脉动强度随平均风速统计时距的变化规律,并探讨了风速统计的合理时距范围,为农田土壤风蚀量的准确估算提供理论依据。
1 研究方法
观测点(42°07'53″N,114°48'22″E)位于河北省张家口市康保县北部。该区地处冀蒙结合部、内蒙古高原的东南缘,俗称“坝上高原”,平均海拔1 450 m,全年多受蒙古高压控制,大陆性气候特征显著,年均降水量为350 mm,年均风速为3.0 m·s-1 ,大风天气主要发生在春季(3—5月),风向多为NW和SW,年均沙尘暴日数14 d,是中国农田风蚀的典型区。观测农田地块宽度为140 m,长度为250 m,地形平坦,地表裸露无植被,有垄状耕作形成的微地形,农田周围为植被低矮稀疏的天然草地和退耕还林灌木林带(图1 A)。
图1
图1
研究区位置(A)和三维超声风速仪(B)
Fig.1
Location of field measurement site(A) and the placement of Sonic anemometer(B)
风速测量仪器为三维超声风速仪(R.M. Young Co.,USA),测量频率为10 HZ ,测量高度为1 m(图1 B)。风速数据由CR1000数据采集器自动记录。观测时间为2019年5月3—15日,期间5月6日、8日、9日、12日、13日、15日平均风速均达到了4.6 m·s-1 ,日最大风速均超过8.7 m·s-1 ,地表风蚀起沙明显,因此选择这6天的观测数据进行分析。
三维超声风速仪测量数据u 、v 、w 分别为x 、y 、z 坐标系下3个方向的风速。野外观测中,地表的细微倾斜和仪器安置都可能导致仪器水平位置和方向的偏差,因此需要采用坐标转换纠正这种误差,从而使超声风速仪坐标系所获取的风速与实际相符。参考Boxel等[20 ] 方法,对观测数据依次进行了偏航旋转和俯仰校正两次旋转校正。校正后得到新坐标系下的来流风速,在此基础上进行风速脉动等相关计算。
地表风速脉动特征采用脉动风速、风速脉动强度、湍流度(风速脉动相对值)3个指标来表征。脉动风速(u′ )是瞬时风速(u )与平均风速(u ¯ )之差(式1),它反映了风速脉动幅度。本文采用1、2、5、10、20、30 min等6个时距分别计算平均风速。
u ' = u - u ¯
风速脉动强度(uv )是瞬时风速概率分布函数的标准差,即脉动风速的均方根(式2)[5 ] ,它反映了瞬时风速脉动范围的宽窄。风速脉动相对值即湍流度(g )采用脉动风速标准差与平均风速之比来定量表示 [14 ] 。
u v = u ' 2 ¯ = 1 n ∑ i = 1 n ( u i - u ¯ ) 2
g = u ' 2 ¯ u ¯
式中:u 为瞬时风速(m·s-1 );u ' 为脉动风速(m·s-1 ); u ¯ 为平均风速(m·s-1 ); u v 为风速脉动强度;n 为采集到的风速样本数;g 为湍流度。
2 结果与分析
2.1 风速脉动强度和湍流度与平均风速的关系
平均风速即给定时段内瞬时风速的平均值,可以反映风速的整体变化趋势。时距是风况资料统计中的普遍问题,不同时距的风况资料反映真实情况的准确度不同。在1、2、5、10、20、30 min等6个时距下,平均风速计算结果差异明显。以5月12日为例,07:00—17:00的平均风速整体变化趋势表现为先缓慢减小,后逐渐增大。平均风速统计时距为1 min时,距农田地表1 m高度的最大风速为14.3 m·s-1 ,最小风速为4.6 m·s-1 ;时距为30 min时,最大风速为11.3 m·s-1 ,最小风速为7.6 m·s-1 。可见随着时距的增大,平均风速的最大值逐渐减小,而最小值则逐渐增大。这是因为平均风速的统计时距越小,越接近瞬时风速状态,平均风速的最大值也越大。时距取值越大,平均风速的变化范围对实时风速的描述越粗糙。
总体上,不同时距下的风速脉动强度与平均风速之间均呈正相关关系,即平均风速越大,风速脉动强度也越大,与戈壁地表类似[21 ] 。但是,风速较小时风速脉动强度增大较快,而风速逐渐增大时,风速脉动强度增加的趋势变缓(图2 )。
图2
图2
风速脉动强度(uv )与不同时距(Δt )平均风速(u ¯ ) 的关系
Fig.2
The relationship between the pulsation intensity and the average wind speed at different time inteval
根据观测,1 m高度的1 min平均风速达到6.0 m·s-1 时,测点所在的农田地表可以观察到风蚀起沙现象,因此本文将该区春季干燥时期农田地表1 m高度的临界侵蚀风速确定为6.0 m·s-1 ,并据此定义风速<6.0 m·s-1 为净风环境,≥6.0 m·s-1 为风沙环境。以风速6.0 m·s-1 为界,对脉动强度与平均风速进行分段拟合,可以明显发现净风环境和风沙环境下风速脉动强度增加的幅度不同,两种环境下相关曲线的斜率发生明显变化。无论哪个时距,风沙环境下风速脉动强度与风速关系曲线的斜率(0.134~0.147)始终小于净风环境(0.169~0.217),表明净风条件下脉动强度随着风速的增大增加更快,可见风沙环境气流中沙尘的存在对风速脉动具有一定的抑制作用。
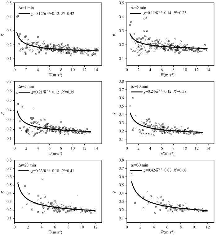
统计时距为1、2、5、10、20、30 min条件下,湍流度0.12~0.63,属于高湍流强度[21 ] 。不同时距下,湍流度随平均风速整体上呈现先迅速减小后趋于稳定的幂函数递减趋势(P <0.05,图3 )。这与张克存等[5 ] 利用野外风洞模拟戈壁、流沙地表分析得出的湍流度与风速无关的结论不同,原因可能有两方面。一方面研究方法不同,张克存等[5 ] 是利用风洞进行模拟实验,采样频率为0.5 Hz,而本文采用野外观测的方法,且采样频率为10 Hz,二者的采样频率差别较大;另一方面研究所选的时空尺度不同,本文研究的是近地表1 m高度时长60 h的野外风速数据,而张克存等[5 ] 选取的是近沙床0.5 m高度范围内约20 min的风洞实验数据。
图3
图3
湍流度(g )与不同时距(Δt )平均风速(u ¯ ) 的关系
Fig.3
The relationship between the turbulence intensity and the average wind speed at different time intevals
2.2 风速统计时距与风速脉动的关系
不同时距下,风速脉动的概率分布均符合高斯分布(图4 ),这与王雪芹等[6 ] 的结果一致。平均风速的统计时距越小,风速脉动的概率分布越集中,风速脉动分布越集中。以5月12日为例,1、2、5、10、20、30 min时距下,±3 m·s-1 范围内的脉动风速占全部脉动风速的比例分别为93.6%、92.1%、90.6%、89.5%、89.0%、88.5%(表1 )。总体上看,脉动风速的分布范围随时距的增大而波动增大,说明统计时距越大,平均风速与瞬时风速的差距就越大。其中5月12日与5月15日在1 min与2 min时距上脉动风速分布范围明显偏大,是因为观测期间出现持续时间不足1 s的强风。可见,时距的改变并不影响脉动风速随风速的整体变化规律,但可以改变脉动风速的分布范围和概率分布的集中程度。
图4
图4
1 m高度脉动风速(u′ )概率分布
Fig.4
Probability distribution of the wind speed pulsation at the height of 1 m above the ground
类似地,时距并未改变风速脉动强度随平均风速的变化趋势,但改变了脉动强度及其随平均风速变化的速度(图2 )。时距从1 min增大到5 min时,净风环境下脉动强度与风速关系曲线的斜率从0.169增大到0.208,即脉动强度随平均风速的增大增加得更快;当时距从5 min增大到30 min时,关系曲线的斜率只是略有增大(0.208增大到0.217),表明脉动强度随平均风速的增大而增大的速度趋于稳定。
野外观测过程中,近地层大气风的运动始终具有湍流的特点,瞬时风速变化均表现出一定的阵性特征。观测期间湍流度0.12~0.63,属于较高湍流强度,可见近地表大气湍流运动强烈。阵风因子是反映大气稳定性和风的湍流性的一个重要技术指标,通过短时距Δt 内平均风速的最大值与拟参考ΔT 时段内风速均值的比值来计算。童祎巍等[22 ] 基于实测风速数据研究发现,短时距Δt 的取值对阵风因子的计算结果是有影响的,且二者之间的关系并不是线性规律。本文借鉴其方法,通过计算时距Δt 内风速脉动强度的最大值、参考ΔT 时段内脉动强度均值以及二者之间的比值,来分析湍流风情形下风速脉动与平均风速时距的关系。
利用同一天内风向相对稳定、既包含大风速也包含小风速的连续实测风速数据,计算了不同时距的平均脉动强度(u v ¯ )、最大脉动强度(u v _ m a x )以及二者之间的比值(u v _ m a x / u v ¯ )。结果表明,湍流风情形下,u v ¯ 、u v _ m a x 以及u v _ m a x / u v ¯ 随时距的增大均呈非线性变化特征。u v ¯ 随着时距的增大而增大,当时距增大到5 min以后,逐渐趋于稳定。较高风速环境下u v ¯ 明显高于较小风速环境(图5 )。u v _ m a x 在< 5 min时距下波动较大且没有明显趋势,> 5 min时距下趋于稳定并略呈减小趋势(图6 )。u v _ m a x / u v ¯ 随时距的增加呈现出先迅速减小后趋于稳定的趋势,大致以5 min时距为转折点(图7 )。
图5
图5
平均脉动强度(uv )随时距(Δt )的变化
Fig.5
Changes of the average pulsation intensity with time interval
图6
图6
最大脉动强度(uv _max )随时距(Δt )的变化
Fig.6
Changes of the maximum pulsation intensity with time interval
图7
图7
u v _ m a x / u v ¯ 随时距的变化
Fig.7
Changes of u v _ m a x / u v ¯ with time interval
3 讨论
平均风速、脉动强度与湍流度均是计算输沙率以及输沙量的重要参数[10 ,23 -24 ] 。输沙率计算时一般都采用一定时距的平均风速,类似于对风速进行“平滑滤波”处理,使得一些大于颗粒起动风速的“阵风”被忽略,从而导致输沙率的预测结果受到影响[25 ] ,因此对于输沙过程而言,选择适当时距的风速数据至关重要。理论上,时距越长,则越容易“抹掉”风速脉动甚至阵风对输沙率计算的影响,特别是对于野外非稳定风况,基于平均风速的输沙率计算结果与实际输沙率有较大偏差[17 ] ,甚至临界起动摩阻风速(u *t )与摩阻风速(u * )的计算结果也偏小[26 ] 。但是,由于风沙运动相对于风速变化而言并非完全同步,而是存在迟滞现象,意味着风速时距过小(秒以下的数量级)也有可能造成基于平均风速的输沙率计算结果失真,尤其较小风速下稍瞬即逝、持续时间不足1 s的高于临界起沙风速的风,可能无法产生风沙流却可以计算出输沙率。同时,时距取值较小时,风速数据获取的难度将迅速增大,对于缺乏现场实测数据而不得不采用气象站风速资料计算输沙率时尤为如此。因此考虑到特定时间段内总输沙量计算的实际操作性,风速时距可以适当增大[27 ] 。
Mayaud等[17 ] 利用“动态质量平衡”(Dynamic Mass Balance)模型与前人建立的经验模型[28 ] 、半经验模型[29 ] 同步比较不同风速测量频率下的输沙量预测结果,发现对于长时间尺度(小时数量级)的输沙过程,3种模型采用1~10 min时距可以较为准确地预测输沙量,时距较小时,误差较大。Martin等[30 ] 通过多种时间尺度的输沙率与相对应的风剪应力和颗粒临界起动剪应力的两种关系评估了输沙率与风剪应力关系的离散程度对于时间尺度的依赖性,发现当时距约为5 min时,这种尺度依赖性趋于稳定。本文结果表明,以5 min时距为明显转折点,u v _ m a x / u v ¯ 随时距的增加呈现出先迅速减小后趋于稳定的变化趋势,说明≥5 min时距的平均风速,已经很大程度无法反映风的脉动甚至阵性特征,而<5 min时距的风速,尚能够较好地保留这一特性。鉴于较小风速下高于临界起沙风速的阵风或持续时间稍长的瞬时风对地表起沙的重要性,本文认为风速的统计时距不宜大于5 min。对于<1 min的秒级时距,数据获取的可行性不高。因此根据目前普遍采用的风速观测仪器和记录手段,用于计算输沙率的风速统计时距以1~5 min为宜。
此外,对于不同研究中所采取的较小时距取值(≤1 min),还与研究内容(如起动风速、输沙率等)、研究的时间尺度以及实验仪器的精确程度等有关。本文选取的最小时距为1 min,在计算输沙率时可以较好地反映风速脉动的影响。在1 min时间尺度上,风速脉动强度与平均风速之间呈现较好的线性正相关规律,湍流度则随平均风速的变化呈现幂函数递减规律。
4 结论
裸露农田地表风速脉动强度随平均风速的增加而增大。净风环境下脉动强度随着风速增大而增大的速度高于风沙环境,表明气流中沙尘的存在对脉动强度产生一定抑制作用。湍流度随平均风速的变化呈现先减小后趋于稳定的幂函数递减趋势,净风环境下的湍流度明显高于风沙环境。
脉动风速的范围、概率分布的集中性以及脉动强度的大小与平均风速的时距有关。时距越小,脉动风速概率分布越集中,分布范围越小。随时距的增大,u v _ m a x / u v ¯ 呈先迅速减小后趋于稳定的趋势,大致以5 min时距为转折点。因此,对于较长时间的输沙过程,采用1~5 min的风速时距不仅可以反映风速脉动对输沙率计算的影响并减小预测误差,还兼顾风速资料的可获取性,因而是较合理的风速统计时距范围。
参考文献
View Option
[1]
吴正 .风沙地貌与治沙工程学 [M].北京 :科学出版社 ,2003 :16 -21 .
[本文引用: 1]
[2]
Chepil W S ,Siddoway F H .Strain-gauge anemometer for analyzing various characteristics of wind turbulence
[J].Journal of Meteorology ,1959 ,16 :411 -418 .
[本文引用: 1]
[3]
李振山 ,倪晋仁 .风沙流中风速脉动的实验测量
[J].应用基础与工程科学学报 ,2003 ,11 (4 ):352 -360 .
[本文引用: 2]
[4]
张克存 ,屈建军 ,董治宝 ,等 .风沙流中风速脉动对输沙量的影响
[J].中国沙漠 ,2006 ,26 (3 ):36 -340 .
[本文引用: 1]
[5]
张克存 ,屈建军 ,俎瑞平 ,等 .典型下垫面风沙流中风速脉动特征研究
[J].中国科学(D辑) ,2006 (12 ):1163 -1169 .
[本文引用: 5]
[6]
王雪芹 ,杨东亮 ,马洋 ,等 .沙漠-绿洲过渡带典型下垫面风速脉动特征:以塔克拉玛干沙漠南缘策勒绿洲为例
[J].中国沙漠 ,2015 ,35 (3 ):542 -548 .
[本文引用: 2]
[7]
郑先念 ,杨兴华 ,何清 ,等 .塔克拉干沙漠腹地沙尘暴天气下风速脉动特征
[J].水土保持研究 ,2020 ,27 (1 ):366 -371 .
[本文引用: 1]
[8]
安志山 ,张克存 ,谭立海 ,等 .晴天和沙尘天气下沙漠绿洲过渡带近地表风速脉动特征
[J].中国沙漠 ,2017 ,37 (3 ):414 -420 .
[本文引用: 1]
[9]
胡永锋 ,王雪芹 ,郭洪旭 ,等 .古尔班通古特沙漠半固定沙垄表面风的脉动特征
[J].中国沙漠 ,2011 ,31 (2 ):393 -399 .
[本文引用: 1]
[10]
王萍 ,郑晓静 .野外近地表风沙流脉动特征分析
[J].中国沙漠 ,2013 ,33 (6 ):1622 -1628 .
[本文引用: 1]
[11]
杨林 ,韩广 ,杨济 ,等 .大风天气老哈河下游迎风侧谷坡的风速脉动特征
[J].中国沙漠 ,2014 ,34 (6 ):1469 -1474 .
[12]
郑先念 ,杨兴华 ,何清 ,等 .不同天气条件下近地层风速脉动特征
[J].干旱区研究 ,2019 ,36 (2 ):387 -394 .
[本文引用: 1]
[13]
李振山 ,倪晋仁 .挟沙气流输沙率研究
[J].泥沙研究 ,2001 (1 ):1 -10 .
[本文引用: 1]
[14]
包慧娟 ,李振山 .风沙流中风速纵向脉动的实验研究
[J].中国沙漠 ,2004 ,24 (2 ):132 -135 .
[本文引用: 2]
[15]
张正偲 ,董治宝 ,赵爱国 .输沙势计算中的“时距”问题
[J].干旱区地理 ,2010 ,33 (2 ):177 -182 .
[本文引用: 1]
[16]
Zhang Z ,Dong Z ,Zhao A .The effect of the time interval used to calculate mean wind velocity on the calculated drift potential,relative drift potential,and resultant drift direction for sands from three deserts in northern China
[J].Theoretical And Applied Climatology ,2016 , 123 :151 -160 .
[17]
Mayaud J R ,Bailey R M ,Wiggs G F S ,et al .Modelling aeolian sand transport using a dynamic mass balancing approach
[J].Geomorphology ,2017 ,280 :108 -121 .
[本文引用: 3]
[18]
Wang Z ,Zhang C ,Cen S .Unsteady aeolian saltation
[J].The European Physical Journal E ,2018 ,41 (10 ):121 .
[本文引用: 1]
[19]
李智广 .中国水土流失现状与动态变化
[J].中国水利 ,2009 (7 ):8 -11 .
[本文引用: 1]
[20]
Boxel J H ,Sterk G ,Arens S M .Sonic anemometers in aeolian sediment transport research
[J].Geomorphology ,2004 ,59 (1/4 ):131 -147 .
[本文引用: 1]
[21]
尚河英 ,尹忠东 ,张鹏 ,等 .戈壁地表野外风速脉动特征
[J].南京林业大学学报(自然科学版) ,2017 ,41 (1 ):123 -128 .
[本文引用: 2]
[22]
童祎巍 ,孙洪鑫 .矮寨大桥桥址区脉动风特性的实测分析
[J].湖南工程学院学报(自然科学版) ,2015 ,25 (4 ):90 -94 .
[本文引用: 1]
[23]
Barchyn T E , Martin R L ,Kok J F ,et al .Fundamental mismatches between measurements and models in aeolian sediment transport prediction:the role of small-scale variability
[J].Aeolian Research ,2014 ,15 :245 -251 .
[本文引用: 1]
[24]
Dupont S ,Bergametti G ,Marticorena B ,et al .Modeling saltation intermittency
[J].Journal of Geophysical Research:Atmospheres ,2013 ,118 (13 ):7109 -7128 .
[本文引用: 1]
[25]
王萍 ,郑晓静 .非平稳风沙运动研究进展
[J].地球科学进展 ,2014 ,29 (7 ):786 -794 .
[本文引用: 1]
[26]
Stout J E .Effect of averaging time on the apparent threshold for aeolian transport
[J].Journal of Arid Environments ,1998 ,39 (3 ):395 -401 .
[本文引用: 1]
[27]
邹学勇 ,张梦翠 ,张春来 ,等 .输沙率对土壤颗粒特性和气流湍流脉动的响应
[J].地球科学进展 ,2019 ,34 (8 ):787 -800 .
[本文引用: 1]
[28]
Radok U .Snow drift
[J].Journal of Glaciology ,1977 ,19 :123 -139 .
[本文引用: 1]
[29]
Dong Z ,Liu X ,Wang H ,et al .Aeolian sand transport:a wind tunnel model
[J].Sedimentary Geology ,2003 ,161 (1/2 ):71 -83 .
[本文引用: 1]
[30]
Martin R L ,Barchyn T E ,Hugenholtz C H ,et al .Timescale dependence of aeolian sand flux observations under atmospheric turbulence
[J].Journal of Geophysical Research:Atmospheres ,2013 ,118 :9078 -9092 .
[本文引用: 1]
1
2003
... 作为塑造风沙地貌形态的基本营力和沙粒运动的动力条件,风速和风向都表现出一定的脉动和阵性特征[1 ] .风沙活动与风速脉动密切相关,风速脉动对床面沙粒的跃移上升力和剪切力具有显著的作用[2 ] ,而剪切力与输沙率具有良好的相关性[3 ] .沙粒运动也可以对风速脉动产生反作用,进而影响沙粒自身的输移[3 -4 ] .在不同下垫面、不同风速条件下风沙流的风速脉动特征方面,张克存等[5 ] 观测发现戈壁和流沙地表风速脉动强度随风速的增大而增大,而湍流度只是高度的函数,与风速无关.王雪芹等[6 ] 分析了塔克拉玛干沙漠南缘策勒绿洲的裸沙、柽柳及骆驼刺3种下垫面的风速脉动特征,发现风向脉动幅度随植物覆盖度的增加而增大,而植被的存在对风速脉动分布规律没有影响,3种下垫面的脉动风速均近似服从高斯分布,脉动强度也随风速增加而增大.郑先念等[7 ] 利用塔中地区人工绿地近地层80 m的风速观测资料,发现沙尘暴天气的风速脉动强度随距离地表高度的增大而呈现先减小后增加的趋势,湍流度随高度的增加则逐渐减小.安志山等[8 ] 发现,不同天气下脉动风速的变化规律相近,脉动风速的分布范围以及脉动强度随风速呈正比,但是沙尘暴天气下的风速脉动强度更大.上述研究中,部分结论是通过风洞实验(风速、下垫面等人为可控)得到的,而关于自然条件下风速脉动的研究集中在沙漠、绿洲及其过渡带[9 -12 ] ,缺少农田地表风速脉动研究.农田的地表属性与沙漠明显不同,对农田风速脉动特征的研究,有助于进一步了解风沙互馈机制,对农田土壤风蚀的研究具有重要意义. ...
Strain-gauge anemometer for analyzing various characteristics of wind turbulence
1
1959
... 作为塑造风沙地貌形态的基本营力和沙粒运动的动力条件,风速和风向都表现出一定的脉动和阵性特征[1 ] .风沙活动与风速脉动密切相关,风速脉动对床面沙粒的跃移上升力和剪切力具有显著的作用[2 ] ,而剪切力与输沙率具有良好的相关性[3 ] .沙粒运动也可以对风速脉动产生反作用,进而影响沙粒自身的输移[3 -4 ] .在不同下垫面、不同风速条件下风沙流的风速脉动特征方面,张克存等[5 ] 观测发现戈壁和流沙地表风速脉动强度随风速的增大而增大,而湍流度只是高度的函数,与风速无关.王雪芹等[6 ] 分析了塔克拉玛干沙漠南缘策勒绿洲的裸沙、柽柳及骆驼刺3种下垫面的风速脉动特征,发现风向脉动幅度随植物覆盖度的增加而增大,而植被的存在对风速脉动分布规律没有影响,3种下垫面的脉动风速均近似服从高斯分布,脉动强度也随风速增加而增大.郑先念等[7 ] 利用塔中地区人工绿地近地层80 m的风速观测资料,发现沙尘暴天气的风速脉动强度随距离地表高度的增大而呈现先减小后增加的趋势,湍流度随高度的增加则逐渐减小.安志山等[8 ] 发现,不同天气下脉动风速的变化规律相近,脉动风速的分布范围以及脉动强度随风速呈正比,但是沙尘暴天气下的风速脉动强度更大.上述研究中,部分结论是通过风洞实验(风速、下垫面等人为可控)得到的,而关于自然条件下风速脉动的研究集中在沙漠、绿洲及其过渡带[9 -12 ] ,缺少农田地表风速脉动研究.农田的地表属性与沙漠明显不同,对农田风速脉动特征的研究,有助于进一步了解风沙互馈机制,对农田土壤风蚀的研究具有重要意义. ...
风沙流中风速脉动的实验测量
2
2003
... 作为塑造风沙地貌形态的基本营力和沙粒运动的动力条件,风速和风向都表现出一定的脉动和阵性特征[1 ] .风沙活动与风速脉动密切相关,风速脉动对床面沙粒的跃移上升力和剪切力具有显著的作用[2 ] ,而剪切力与输沙率具有良好的相关性[3 ] .沙粒运动也可以对风速脉动产生反作用,进而影响沙粒自身的输移[3 -4 ] .在不同下垫面、不同风速条件下风沙流的风速脉动特征方面,张克存等[5 ] 观测发现戈壁和流沙地表风速脉动强度随风速的增大而增大,而湍流度只是高度的函数,与风速无关.王雪芹等[6 ] 分析了塔克拉玛干沙漠南缘策勒绿洲的裸沙、柽柳及骆驼刺3种下垫面的风速脉动特征,发现风向脉动幅度随植物覆盖度的增加而增大,而植被的存在对风速脉动分布规律没有影响,3种下垫面的脉动风速均近似服从高斯分布,脉动强度也随风速增加而增大.郑先念等[7 ] 利用塔中地区人工绿地近地层80 m的风速观测资料,发现沙尘暴天气的风速脉动强度随距离地表高度的增大而呈现先减小后增加的趋势,湍流度随高度的增加则逐渐减小.安志山等[8 ] 发现,不同天气下脉动风速的变化规律相近,脉动风速的分布范围以及脉动强度随风速呈正比,但是沙尘暴天气下的风速脉动强度更大.上述研究中,部分结论是通过风洞实验(风速、下垫面等人为可控)得到的,而关于自然条件下风速脉动的研究集中在沙漠、绿洲及其过渡带[9 -12 ] ,缺少农田地表风速脉动研究.农田的地表属性与沙漠明显不同,对农田风速脉动特征的研究,有助于进一步了解风沙互馈机制,对农田土壤风蚀的研究具有重要意义. ...
... [3 -4 ].在不同下垫面、不同风速条件下风沙流的风速脉动特征方面,张克存等[5 ] 观测发现戈壁和流沙地表风速脉动强度随风速的增大而增大,而湍流度只是高度的函数,与风速无关.王雪芹等[6 ] 分析了塔克拉玛干沙漠南缘策勒绿洲的裸沙、柽柳及骆驼刺3种下垫面的风速脉动特征,发现风向脉动幅度随植物覆盖度的增加而增大,而植被的存在对风速脉动分布规律没有影响,3种下垫面的脉动风速均近似服从高斯分布,脉动强度也随风速增加而增大.郑先念等[7 ] 利用塔中地区人工绿地近地层80 m的风速观测资料,发现沙尘暴天气的风速脉动强度随距离地表高度的增大而呈现先减小后增加的趋势,湍流度随高度的增加则逐渐减小.安志山等[8 ] 发现,不同天气下脉动风速的变化规律相近,脉动风速的分布范围以及脉动强度随风速呈正比,但是沙尘暴天气下的风速脉动强度更大.上述研究中,部分结论是通过风洞实验(风速、下垫面等人为可控)得到的,而关于自然条件下风速脉动的研究集中在沙漠、绿洲及其过渡带[9 -12 ] ,缺少农田地表风速脉动研究.农田的地表属性与沙漠明显不同,对农田风速脉动特征的研究,有助于进一步了解风沙互馈机制,对农田土壤风蚀的研究具有重要意义. ...
风沙流中风速脉动对输沙量的影响
1
2006
... 作为塑造风沙地貌形态的基本营力和沙粒运动的动力条件,风速和风向都表现出一定的脉动和阵性特征[1 ] .风沙活动与风速脉动密切相关,风速脉动对床面沙粒的跃移上升力和剪切力具有显著的作用[2 ] ,而剪切力与输沙率具有良好的相关性[3 ] .沙粒运动也可以对风速脉动产生反作用,进而影响沙粒自身的输移[3 -4 ] .在不同下垫面、不同风速条件下风沙流的风速脉动特征方面,张克存等[5 ] 观测发现戈壁和流沙地表风速脉动强度随风速的增大而增大,而湍流度只是高度的函数,与风速无关.王雪芹等[6 ] 分析了塔克拉玛干沙漠南缘策勒绿洲的裸沙、柽柳及骆驼刺3种下垫面的风速脉动特征,发现风向脉动幅度随植物覆盖度的增加而增大,而植被的存在对风速脉动分布规律没有影响,3种下垫面的脉动风速均近似服从高斯分布,脉动强度也随风速增加而增大.郑先念等[7 ] 利用塔中地区人工绿地近地层80 m的风速观测资料,发现沙尘暴天气的风速脉动强度随距离地表高度的增大而呈现先减小后增加的趋势,湍流度随高度的增加则逐渐减小.安志山等[8 ] 发现,不同天气下脉动风速的变化规律相近,脉动风速的分布范围以及脉动强度随风速呈正比,但是沙尘暴天气下的风速脉动强度更大.上述研究中,部分结论是通过风洞实验(风速、下垫面等人为可控)得到的,而关于自然条件下风速脉动的研究集中在沙漠、绿洲及其过渡带[9 -12 ] ,缺少农田地表风速脉动研究.农田的地表属性与沙漠明显不同,对农田风速脉动特征的研究,有助于进一步了解风沙互馈机制,对农田土壤风蚀的研究具有重要意义. ...
典型下垫面风沙流中风速脉动特征研究
5
2006
... 作为塑造风沙地貌形态的基本营力和沙粒运动的动力条件,风速和风向都表现出一定的脉动和阵性特征[1 ] .风沙活动与风速脉动密切相关,风速脉动对床面沙粒的跃移上升力和剪切力具有显著的作用[2 ] ,而剪切力与输沙率具有良好的相关性[3 ] .沙粒运动也可以对风速脉动产生反作用,进而影响沙粒自身的输移[3 -4 ] .在不同下垫面、不同风速条件下风沙流的风速脉动特征方面,张克存等[5 ] 观测发现戈壁和流沙地表风速脉动强度随风速的增大而增大,而湍流度只是高度的函数,与风速无关.王雪芹等[6 ] 分析了塔克拉玛干沙漠南缘策勒绿洲的裸沙、柽柳及骆驼刺3种下垫面的风速脉动特征,发现风向脉动幅度随植物覆盖度的增加而增大,而植被的存在对风速脉动分布规律没有影响,3种下垫面的脉动风速均近似服从高斯分布,脉动强度也随风速增加而增大.郑先念等[7 ] 利用塔中地区人工绿地近地层80 m的风速观测资料,发现沙尘暴天气的风速脉动强度随距离地表高度的增大而呈现先减小后增加的趋势,湍流度随高度的增加则逐渐减小.安志山等[8 ] 发现,不同天气下脉动风速的变化规律相近,脉动风速的分布范围以及脉动强度随风速呈正比,但是沙尘暴天气下的风速脉动强度更大.上述研究中,部分结论是通过风洞实验(风速、下垫面等人为可控)得到的,而关于自然条件下风速脉动的研究集中在沙漠、绿洲及其过渡带[9 -12 ] ,缺少农田地表风速脉动研究.农田的地表属性与沙漠明显不同,对农田风速脉动特征的研究,有助于进一步了解风沙互馈机制,对农田土壤风蚀的研究具有重要意义. ...
... 风速脉动强度(uv )是瞬时风速概率分布函数的标准差,即脉动风速的均方根(式2) [5 ] ,它反映了瞬时风速脉动范围的宽窄.风速脉动相对值即湍流度(g )采用脉动风速标准差与平均风速之比来定量表示 [14 ] . ...
... 统计时距为1、2、5、10、20、30 min条件下,湍流度0.12~0.63,属于高湍流强度[21 ] .不同时距下,湍流度随平均风速整体上呈现先迅速减小后趋于稳定的幂函数递减趋势(P <0.05,图3 ).这与张克存等[5 ] 利用野外风洞模拟戈壁、流沙地表分析得出的湍流度与风速无关的结论不同,原因可能有两方面.一方面研究方法不同,张克存等[5 ] 是利用风洞进行模拟实验,采样频率为0.5 Hz,而本文采用野外观测的方法,且采样频率为10 Hz,二者的采样频率差别较大;另一方面研究所选的时空尺度不同,本文研究的是近地表1 m高度时长60 h的野外风速数据,而张克存等[5 ] 选取的是近沙床0.5 m高度范围内约20 min的风洞实验数据. ...
... [5 ]是利用风洞进行模拟实验,采样频率为0.5 Hz,而本文采用野外观测的方法,且采样频率为10 Hz,二者的采样频率差别较大;另一方面研究所选的时空尺度不同,本文研究的是近地表1 m高度时长60 h的野外风速数据,而张克存等[5 ] 选取的是近沙床0.5 m高度范围内约20 min的风洞实验数据. ...
... [5 ]选取的是近沙床0.5 m高度范围内约20 min的风洞实验数据. ...
沙漠-绿洲过渡带典型下垫面风速脉动特征:以塔克拉玛干沙漠南缘策勒绿洲为例
2
2015
... 作为塑造风沙地貌形态的基本营力和沙粒运动的动力条件,风速和风向都表现出一定的脉动和阵性特征[1 ] .风沙活动与风速脉动密切相关,风速脉动对床面沙粒的跃移上升力和剪切力具有显著的作用[2 ] ,而剪切力与输沙率具有良好的相关性[3 ] .沙粒运动也可以对风速脉动产生反作用,进而影响沙粒自身的输移[3 -4 ] .在不同下垫面、不同风速条件下风沙流的风速脉动特征方面,张克存等[5 ] 观测发现戈壁和流沙地表风速脉动强度随风速的增大而增大,而湍流度只是高度的函数,与风速无关.王雪芹等[6 ] 分析了塔克拉玛干沙漠南缘策勒绿洲的裸沙、柽柳及骆驼刺3种下垫面的风速脉动特征,发现风向脉动幅度随植物覆盖度的增加而增大,而植被的存在对风速脉动分布规律没有影响,3种下垫面的脉动风速均近似服从高斯分布,脉动强度也随风速增加而增大.郑先念等[7 ] 利用塔中地区人工绿地近地层80 m的风速观测资料,发现沙尘暴天气的风速脉动强度随距离地表高度的增大而呈现先减小后增加的趋势,湍流度随高度的增加则逐渐减小.安志山等[8 ] 发现,不同天气下脉动风速的变化规律相近,脉动风速的分布范围以及脉动强度随风速呈正比,但是沙尘暴天气下的风速脉动强度更大.上述研究中,部分结论是通过风洞实验(风速、下垫面等人为可控)得到的,而关于自然条件下风速脉动的研究集中在沙漠、绿洲及其过渡带[9 -12 ] ,缺少农田地表风速脉动研究.农田的地表属性与沙漠明显不同,对农田风速脉动特征的研究,有助于进一步了解风沙互馈机制,对农田土壤风蚀的研究具有重要意义. ...
... 不同时距下,风速脉动的概率分布均符合高斯分布(图4 ),这与王雪芹等[6 ] 的结果一致.平均风速的统计时距越小,风速脉动的概率分布越集中,风速脉动分布越集中.以5月12日为例,1、2、5、10、20、30 min时距下,±3 m·s-1 范围内的脉动风速占全部脉动风速的比例分别为93.6%、92.1%、90.6%、89.5%、89.0%、88.5%(表1 ).总体上看,脉动风速的分布范围随时距的增大而波动增大,说明统计时距越大,平均风速与瞬时风速的差距就越大.其中5月12日与5月15日在1 min与2 min时距上脉动风速分布范围明显偏大,是因为观测期间出现持续时间不足1 s的强风.可见,时距的改变并不影响脉动风速随风速的整体变化规律,但可以改变脉动风速的分布范围和概率分布的集中程度. ...
塔克拉干沙漠腹地沙尘暴天气下风速脉动特征
1
2020
... 作为塑造风沙地貌形态的基本营力和沙粒运动的动力条件,风速和风向都表现出一定的脉动和阵性特征[1 ] .风沙活动与风速脉动密切相关,风速脉动对床面沙粒的跃移上升力和剪切力具有显著的作用[2 ] ,而剪切力与输沙率具有良好的相关性[3 ] .沙粒运动也可以对风速脉动产生反作用,进而影响沙粒自身的输移[3 -4 ] .在不同下垫面、不同风速条件下风沙流的风速脉动特征方面,张克存等[5 ] 观测发现戈壁和流沙地表风速脉动强度随风速的增大而增大,而湍流度只是高度的函数,与风速无关.王雪芹等[6 ] 分析了塔克拉玛干沙漠南缘策勒绿洲的裸沙、柽柳及骆驼刺3种下垫面的风速脉动特征,发现风向脉动幅度随植物覆盖度的增加而增大,而植被的存在对风速脉动分布规律没有影响,3种下垫面的脉动风速均近似服从高斯分布,脉动强度也随风速增加而增大.郑先念等[7 ] 利用塔中地区人工绿地近地层80 m的风速观测资料,发现沙尘暴天气的风速脉动强度随距离地表高度的增大而呈现先减小后增加的趋势,湍流度随高度的增加则逐渐减小.安志山等[8 ] 发现,不同天气下脉动风速的变化规律相近,脉动风速的分布范围以及脉动强度随风速呈正比,但是沙尘暴天气下的风速脉动强度更大.上述研究中,部分结论是通过风洞实验(风速、下垫面等人为可控)得到的,而关于自然条件下风速脉动的研究集中在沙漠、绿洲及其过渡带[9 -12 ] ,缺少农田地表风速脉动研究.农田的地表属性与沙漠明显不同,对农田风速脉动特征的研究,有助于进一步了解风沙互馈机制,对农田土壤风蚀的研究具有重要意义. ...
晴天和沙尘天气下沙漠绿洲过渡带近地表风速脉动特征
1
2017
... 作为塑造风沙地貌形态的基本营力和沙粒运动的动力条件,风速和风向都表现出一定的脉动和阵性特征[1 ] .风沙活动与风速脉动密切相关,风速脉动对床面沙粒的跃移上升力和剪切力具有显著的作用[2 ] ,而剪切力与输沙率具有良好的相关性[3 ] .沙粒运动也可以对风速脉动产生反作用,进而影响沙粒自身的输移[3 -4 ] .在不同下垫面、不同风速条件下风沙流的风速脉动特征方面,张克存等[5 ] 观测发现戈壁和流沙地表风速脉动强度随风速的增大而增大,而湍流度只是高度的函数,与风速无关.王雪芹等[6 ] 分析了塔克拉玛干沙漠南缘策勒绿洲的裸沙、柽柳及骆驼刺3种下垫面的风速脉动特征,发现风向脉动幅度随植物覆盖度的增加而增大,而植被的存在对风速脉动分布规律没有影响,3种下垫面的脉动风速均近似服从高斯分布,脉动强度也随风速增加而增大.郑先念等[7 ] 利用塔中地区人工绿地近地层80 m的风速观测资料,发现沙尘暴天气的风速脉动强度随距离地表高度的增大而呈现先减小后增加的趋势,湍流度随高度的增加则逐渐减小.安志山等[8 ] 发现,不同天气下脉动风速的变化规律相近,脉动风速的分布范围以及脉动强度随风速呈正比,但是沙尘暴天气下的风速脉动强度更大.上述研究中,部分结论是通过风洞实验(风速、下垫面等人为可控)得到的,而关于自然条件下风速脉动的研究集中在沙漠、绿洲及其过渡带[9 -12 ] ,缺少农田地表风速脉动研究.农田的地表属性与沙漠明显不同,对农田风速脉动特征的研究,有助于进一步了解风沙互馈机制,对农田土壤风蚀的研究具有重要意义. ...
古尔班通古特沙漠半固定沙垄表面风的脉动特征
1
2011
... 作为塑造风沙地貌形态的基本营力和沙粒运动的动力条件,风速和风向都表现出一定的脉动和阵性特征[1 ] .风沙活动与风速脉动密切相关,风速脉动对床面沙粒的跃移上升力和剪切力具有显著的作用[2 ] ,而剪切力与输沙率具有良好的相关性[3 ] .沙粒运动也可以对风速脉动产生反作用,进而影响沙粒自身的输移[3 -4 ] .在不同下垫面、不同风速条件下风沙流的风速脉动特征方面,张克存等[5 ] 观测发现戈壁和流沙地表风速脉动强度随风速的增大而增大,而湍流度只是高度的函数,与风速无关.王雪芹等[6 ] 分析了塔克拉玛干沙漠南缘策勒绿洲的裸沙、柽柳及骆驼刺3种下垫面的风速脉动特征,发现风向脉动幅度随植物覆盖度的增加而增大,而植被的存在对风速脉动分布规律没有影响,3种下垫面的脉动风速均近似服从高斯分布,脉动强度也随风速增加而增大.郑先念等[7 ] 利用塔中地区人工绿地近地层80 m的风速观测资料,发现沙尘暴天气的风速脉动强度随距离地表高度的增大而呈现先减小后增加的趋势,湍流度随高度的增加则逐渐减小.安志山等[8 ] 发现,不同天气下脉动风速的变化规律相近,脉动风速的分布范围以及脉动强度随风速呈正比,但是沙尘暴天气下的风速脉动强度更大.上述研究中,部分结论是通过风洞实验(风速、下垫面等人为可控)得到的,而关于自然条件下风速脉动的研究集中在沙漠、绿洲及其过渡带[9 -12 ] ,缺少农田地表风速脉动研究.农田的地表属性与沙漠明显不同,对农田风速脉动特征的研究,有助于进一步了解风沙互馈机制,对农田土壤风蚀的研究具有重要意义. ...
野外近地表风沙流脉动特征分析
1
2013
... 平均风速、脉动强度与湍流度均是计算输沙率以及输沙量的重要参数[10 ,23 -24 ] .输沙率计算时一般都采用一定时距的平均风速,类似于对风速进行“平滑滤波”处理,使得一些大于颗粒起动风速的“阵风”被忽略,从而导致输沙率的预测结果受到影响[25 ] ,因此对于输沙过程而言,选择适当时距的风速数据至关重要.理论上,时距越长,则越容易“抹掉”风速脉动甚至阵风对输沙率计算的影响,特别是对于野外非稳定风况,基于平均风速的输沙率计算结果与实际输沙率有较大偏差[17 ] ,甚至临界起动摩阻风速(u *t )与摩阻风速(u * )的计算结果也偏小[26 ] .但是,由于风沙运动相对于风速变化而言并非完全同步,而是存在迟滞现象,意味着风速时距过小(秒以下的数量级)也有可能造成基于平均风速的输沙率计算结果失真,尤其较小风速下稍瞬即逝、持续时间不足1 s的高于临界起沙风速的风,可能无法产生风沙流却可以计算出输沙率.同时,时距取值较小时,风速数据获取的难度将迅速增大,对于缺乏现场实测数据而不得不采用气象站风速资料计算输沙率时尤为如此.因此考虑到特定时间段内总输沙量计算的实际操作性,风速时距可以适当增大[27 ] . ...
大风天气老哈河下游迎风侧谷坡的风速脉动特征
2014
不同天气条件下近地层风速脉动特征
1
2019
... 作为塑造风沙地貌形态的基本营力和沙粒运动的动力条件,风速和风向都表现出一定的脉动和阵性特征[1 ] .风沙活动与风速脉动密切相关,风速脉动对床面沙粒的跃移上升力和剪切力具有显著的作用[2 ] ,而剪切力与输沙率具有良好的相关性[3 ] .沙粒运动也可以对风速脉动产生反作用,进而影响沙粒自身的输移[3 -4 ] .在不同下垫面、不同风速条件下风沙流的风速脉动特征方面,张克存等[5 ] 观测发现戈壁和流沙地表风速脉动强度随风速的增大而增大,而湍流度只是高度的函数,与风速无关.王雪芹等[6 ] 分析了塔克拉玛干沙漠南缘策勒绿洲的裸沙、柽柳及骆驼刺3种下垫面的风速脉动特征,发现风向脉动幅度随植物覆盖度的增加而增大,而植被的存在对风速脉动分布规律没有影响,3种下垫面的脉动风速均近似服从高斯分布,脉动强度也随风速增加而增大.郑先念等[7 ] 利用塔中地区人工绿地近地层80 m的风速观测资料,发现沙尘暴天气的风速脉动强度随距离地表高度的增大而呈现先减小后增加的趋势,湍流度随高度的增加则逐渐减小.安志山等[8 ] 发现,不同天气下脉动风速的变化规律相近,脉动风速的分布范围以及脉动强度随风速呈正比,但是沙尘暴天气下的风速脉动强度更大.上述研究中,部分结论是通过风洞实验(风速、下垫面等人为可控)得到的,而关于自然条件下风速脉动的研究集中在沙漠、绿洲及其过渡带[9 -12 ] ,缺少农田地表风速脉动研究.农田的地表属性与沙漠明显不同,对农田风速脉动特征的研究,有助于进一步了解风沙互馈机制,对农田土壤风蚀的研究具有重要意义. ...
挟沙气流输沙率研究
1
2001
... 对一定时间内各物理量取平均值是对风沙运动定量研究的传统做法.在评估风速大小或利用风速资料估算输沙率时,一般采用一定时距的平均风速,很少采用瞬时风速[13 -14 ] .采用平均风速的优点是便于了解风速变化的宏观特征.然而,不同时距的风速取值直接影响风沙运动的定量研究,尤其在输沙率、起动风速、输沙势计算中产生的偏差不容忽视[15 -17 ] .近年来,部分学者也在积极探索利用小波相干分析等其他方法探究野外非稳定风况情形下的输沙过程,例如Wang等[18 ] 利用时均小波相干系数对整个时间序列下风速和颗粒跃移之间的相互作用进行检测,发现这些相互作用主要发生在几十到数百秒的时间尺度上.因此合理的时距选取对于准确揭示风沙运动规律和科学防沙治沙具有重要的科学意义与现实意义.目前在基于气象站记录风速进行的输沙率、输沙势计算中,风速数据最小时距为1 h(实际为每小时最初10 min的平均风速),这主要与气象站风速统计数据的局限性有关.究竟多大的时距相对较为合理,仍是风沙运动宏观研究领域需要讨论的问题. ...
风沙流中风速纵向脉动的实验研究
2
2004
... 对一定时间内各物理量取平均值是对风沙运动定量研究的传统做法.在评估风速大小或利用风速资料估算输沙率时,一般采用一定时距的平均风速,很少采用瞬时风速[13 -14 ] .采用平均风速的优点是便于了解风速变化的宏观特征.然而,不同时距的风速取值直接影响风沙运动的定量研究,尤其在输沙率、起动风速、输沙势计算中产生的偏差不容忽视[15 -17 ] .近年来,部分学者也在积极探索利用小波相干分析等其他方法探究野外非稳定风况情形下的输沙过程,例如Wang等[18 ] 利用时均小波相干系数对整个时间序列下风速和颗粒跃移之间的相互作用进行检测,发现这些相互作用主要发生在几十到数百秒的时间尺度上.因此合理的时距选取对于准确揭示风沙运动规律和科学防沙治沙具有重要的科学意义与现实意义.目前在基于气象站记录风速进行的输沙率、输沙势计算中,风速数据最小时距为1 h(实际为每小时最初10 min的平均风速),这主要与气象站风速统计数据的局限性有关.究竟多大的时距相对较为合理,仍是风沙运动宏观研究领域需要讨论的问题. ...
... 风速脉动强度(uv )是瞬时风速概率分布函数的标准差,即脉动风速的均方根(式2) [5 ] ,它反映了瞬时风速脉动范围的宽窄.风速脉动相对值即湍流度(g )采用脉动风速标准差与平均风速之比来定量表示 [14 ] . ...
输沙势计算中的“时距”问题
1
2010
... 对一定时间内各物理量取平均值是对风沙运动定量研究的传统做法.在评估风速大小或利用风速资料估算输沙率时,一般采用一定时距的平均风速,很少采用瞬时风速[13 -14 ] .采用平均风速的优点是便于了解风速变化的宏观特征.然而,不同时距的风速取值直接影响风沙运动的定量研究,尤其在输沙率、起动风速、输沙势计算中产生的偏差不容忽视[15 -17 ] .近年来,部分学者也在积极探索利用小波相干分析等其他方法探究野外非稳定风况情形下的输沙过程,例如Wang等[18 ] 利用时均小波相干系数对整个时间序列下风速和颗粒跃移之间的相互作用进行检测,发现这些相互作用主要发生在几十到数百秒的时间尺度上.因此合理的时距选取对于准确揭示风沙运动规律和科学防沙治沙具有重要的科学意义与现实意义.目前在基于气象站记录风速进行的输沙率、输沙势计算中,风速数据最小时距为1 h(实际为每小时最初10 min的平均风速),这主要与气象站风速统计数据的局限性有关.究竟多大的时距相对较为合理,仍是风沙运动宏观研究领域需要讨论的问题. ...
The effect of the time interval used to calculate mean wind velocity on the calculated drift potential,relative drift potential,and resultant drift direction for sands from three deserts in northern China
2016
Modelling aeolian sand transport using a dynamic mass balancing approach
3
2017
... 对一定时间内各物理量取平均值是对风沙运动定量研究的传统做法.在评估风速大小或利用风速资料估算输沙率时,一般采用一定时距的平均风速,很少采用瞬时风速[13 -14 ] .采用平均风速的优点是便于了解风速变化的宏观特征.然而,不同时距的风速取值直接影响风沙运动的定量研究,尤其在输沙率、起动风速、输沙势计算中产生的偏差不容忽视[15 -17 ] .近年来,部分学者也在积极探索利用小波相干分析等其他方法探究野外非稳定风况情形下的输沙过程,例如Wang等[18 ] 利用时均小波相干系数对整个时间序列下风速和颗粒跃移之间的相互作用进行检测,发现这些相互作用主要发生在几十到数百秒的时间尺度上.因此合理的时距选取对于准确揭示风沙运动规律和科学防沙治沙具有重要的科学意义与现实意义.目前在基于气象站记录风速进行的输沙率、输沙势计算中,风速数据最小时距为1 h(实际为每小时最初10 min的平均风速),这主要与气象站风速统计数据的局限性有关.究竟多大的时距相对较为合理,仍是风沙运动宏观研究领域需要讨论的问题. ...
... 平均风速、脉动强度与湍流度均是计算输沙率以及输沙量的重要参数[10 ,23 -24 ] .输沙率计算时一般都采用一定时距的平均风速,类似于对风速进行“平滑滤波”处理,使得一些大于颗粒起动风速的“阵风”被忽略,从而导致输沙率的预测结果受到影响[25 ] ,因此对于输沙过程而言,选择适当时距的风速数据至关重要.理论上,时距越长,则越容易“抹掉”风速脉动甚至阵风对输沙率计算的影响,特别是对于野外非稳定风况,基于平均风速的输沙率计算结果与实际输沙率有较大偏差[17 ] ,甚至临界起动摩阻风速(u *t )与摩阻风速(u * )的计算结果也偏小[26 ] .但是,由于风沙运动相对于风速变化而言并非完全同步,而是存在迟滞现象,意味着风速时距过小(秒以下的数量级)也有可能造成基于平均风速的输沙率计算结果失真,尤其较小风速下稍瞬即逝、持续时间不足1 s的高于临界起沙风速的风,可能无法产生风沙流却可以计算出输沙率.同时,时距取值较小时,风速数据获取的难度将迅速增大,对于缺乏现场实测数据而不得不采用气象站风速资料计算输沙率时尤为如此.因此考虑到特定时间段内总输沙量计算的实际操作性,风速时距可以适当增大[27 ] . ...
... Mayaud等[17 ] 利用“动态质量平衡”(Dynamic Mass Balance)模型与前人建立的经验模型[28 ] 、半经验模型[29 ] 同步比较不同风速测量频率下的输沙量预测结果,发现对于长时间尺度(小时数量级)的输沙过程,3种模型采用1~10 min时距可以较为准确地预测输沙量,时距较小时,误差较大.Martin等[30 ] 通过多种时间尺度的输沙率与相对应的风剪应力和颗粒临界起动剪应力的两种关系评估了输沙率与风剪应力关系的离散程度对于时间尺度的依赖性,发现当时距约为5 min时,这种尺度依赖性趋于稳定.本文结果表明,以5 min时距为明显转折点,u v _ m a x / u v ¯ 随时距的增加呈现出先迅速减小后趋于稳定的变化趋势,说明≥5 min时距的平均风速,已经很大程度无法反映风的脉动甚至阵性特征,而<5 min时距的风速,尚能够较好地保留这一特性.鉴于较小风速下高于临界起沙风速的阵风或持续时间稍长的瞬时风对地表起沙的重要性,本文认为风速的统计时距不宜大于5 min.对于<1 min的秒级时距,数据获取的可行性不高.因此根据目前普遍采用的风速观测仪器和记录手段,用于计算输沙率的风速统计时距以1~5 min为宜. ...
Unsteady aeolian saltation
1
2018
... 对一定时间内各物理量取平均值是对风沙运动定量研究的传统做法.在评估风速大小或利用风速资料估算输沙率时,一般采用一定时距的平均风速,很少采用瞬时风速[13 -14 ] .采用平均风速的优点是便于了解风速变化的宏观特征.然而,不同时距的风速取值直接影响风沙运动的定量研究,尤其在输沙率、起动风速、输沙势计算中产生的偏差不容忽视[15 -17 ] .近年来,部分学者也在积极探索利用小波相干分析等其他方法探究野外非稳定风况情形下的输沙过程,例如Wang等[18 ] 利用时均小波相干系数对整个时间序列下风速和颗粒跃移之间的相互作用进行检测,发现这些相互作用主要发生在几十到数百秒的时间尺度上.因此合理的时距选取对于准确揭示风沙运动规律和科学防沙治沙具有重要的科学意义与现实意义.目前在基于气象站记录风速进行的输沙率、输沙势计算中,风速数据最小时距为1 h(实际为每小时最初10 min的平均风速),这主要与气象站风速统计数据的局限性有关.究竟多大的时距相对较为合理,仍是风沙运动宏观研究领域需要讨论的问题. ...
中国水土流失现状与动态变化
1
2009
... 半干旱农牧交错地区的旱作农田,是中国北方主要的风蚀地表类型[19 ] .通过对坝上地区裸露农田近地表1 m高度风速的连续观测,分析了近地表风速脉动特征以及脉动强度随平均风速统计时距的变化规律,并探讨了风速统计的合理时距范围,为农田土壤风蚀量的准确估算提供理论依据. ...
Sonic anemometers in aeolian sediment transport research
1
2004
... 三维超声风速仪测量数据u 、v 、w 分别为x 、y 、z 坐标系下3个方向的风速.野外观测中,地表的细微倾斜和仪器安置都可能导致仪器水平位置和方向的偏差,因此需要采用坐标转换纠正这种误差,从而使超声风速仪坐标系所获取的风速与实际相符.参考Boxel等[20 ] 方法,对观测数据依次进行了偏航旋转和俯仰校正两次旋转校正.校正后得到新坐标系下的来流风速,在此基础上进行风速脉动等相关计算. ...
戈壁地表野外风速脉动特征
2
2017
... 总体上,不同时距下的风速脉动强度与平均风速之间均呈正相关关系,即平均风速越大,风速脉动强度也越大,与戈壁地表类似[21 ] .但是,风速较小时风速脉动强度增大较快,而风速逐渐增大时,风速脉动强度增加的趋势变缓(图2 ). ...
... 统计时距为1、2、5、10、20、30 min条件下,湍流度0.12~0.63,属于高湍流强度[21 ] .不同时距下,湍流度随平均风速整体上呈现先迅速减小后趋于稳定的幂函数递减趋势(P <0.05,图3 ).这与张克存等[5 ] 利用野外风洞模拟戈壁、流沙地表分析得出的湍流度与风速无关的结论不同,原因可能有两方面.一方面研究方法不同,张克存等[5 ] 是利用风洞进行模拟实验,采样频率为0.5 Hz,而本文采用野外观测的方法,且采样频率为10 Hz,二者的采样频率差别较大;另一方面研究所选的时空尺度不同,本文研究的是近地表1 m高度时长60 h的野外风速数据,而张克存等[5 ] 选取的是近沙床0.5 m高度范围内约20 min的风洞实验数据. ...
矮寨大桥桥址区脉动风特性的实测分析
1
2015
... 野外观测过程中,近地层大气风的运动始终具有湍流的特点,瞬时风速变化均表现出一定的阵性特征.观测期间湍流度0.12~0.63,属于较高湍流强度,可见近地表大气湍流运动强烈.阵风因子是反映大气稳定性和风的湍流性的一个重要技术指标,通过短时距Δt 内平均风速的最大值与拟参考ΔT 时段内风速均值的比值来计算.童祎巍等[22 ] 基于实测风速数据研究发现,短时距Δt 的取值对阵风因子的计算结果是有影响的,且二者之间的关系并不是线性规律.本文借鉴其方法,通过计算时距Δt 内风速脉动强度的最大值、参考ΔT 时段内脉动强度均值以及二者之间的比值,来分析湍流风情形下风速脉动与平均风速时距的关系. ...
Fundamental mismatches between measurements and models in aeolian sediment transport prediction:the role of small-scale variability
1
2014
... 平均风速、脉动强度与湍流度均是计算输沙率以及输沙量的重要参数[10 ,23 -24 ] .输沙率计算时一般都采用一定时距的平均风速,类似于对风速进行“平滑滤波”处理,使得一些大于颗粒起动风速的“阵风”被忽略,从而导致输沙率的预测结果受到影响[25 ] ,因此对于输沙过程而言,选择适当时距的风速数据至关重要.理论上,时距越长,则越容易“抹掉”风速脉动甚至阵风对输沙率计算的影响,特别是对于野外非稳定风况,基于平均风速的输沙率计算结果与实际输沙率有较大偏差[17 ] ,甚至临界起动摩阻风速(u *t )与摩阻风速(u * )的计算结果也偏小[26 ] .但是,由于风沙运动相对于风速变化而言并非完全同步,而是存在迟滞现象,意味着风速时距过小(秒以下的数量级)也有可能造成基于平均风速的输沙率计算结果失真,尤其较小风速下稍瞬即逝、持续时间不足1 s的高于临界起沙风速的风,可能无法产生风沙流却可以计算出输沙率.同时,时距取值较小时,风速数据获取的难度将迅速增大,对于缺乏现场实测数据而不得不采用气象站风速资料计算输沙率时尤为如此.因此考虑到特定时间段内总输沙量计算的实际操作性,风速时距可以适当增大[27 ] . ...
Modeling saltation intermittency
1
2013
... 平均风速、脉动强度与湍流度均是计算输沙率以及输沙量的重要参数[10 ,23 -24 ] .输沙率计算时一般都采用一定时距的平均风速,类似于对风速进行“平滑滤波”处理,使得一些大于颗粒起动风速的“阵风”被忽略,从而导致输沙率的预测结果受到影响[25 ] ,因此对于输沙过程而言,选择适当时距的风速数据至关重要.理论上,时距越长,则越容易“抹掉”风速脉动甚至阵风对输沙率计算的影响,特别是对于野外非稳定风况,基于平均风速的输沙率计算结果与实际输沙率有较大偏差[17 ] ,甚至临界起动摩阻风速(u *t )与摩阻风速(u * )的计算结果也偏小[26 ] .但是,由于风沙运动相对于风速变化而言并非完全同步,而是存在迟滞现象,意味着风速时距过小(秒以下的数量级)也有可能造成基于平均风速的输沙率计算结果失真,尤其较小风速下稍瞬即逝、持续时间不足1 s的高于临界起沙风速的风,可能无法产生风沙流却可以计算出输沙率.同时,时距取值较小时,风速数据获取的难度将迅速增大,对于缺乏现场实测数据而不得不采用气象站风速资料计算输沙率时尤为如此.因此考虑到特定时间段内总输沙量计算的实际操作性,风速时距可以适当增大[27 ] . ...
非平稳风沙运动研究进展
1
2014
... 平均风速、脉动强度与湍流度均是计算输沙率以及输沙量的重要参数[10 ,23 -24 ] .输沙率计算时一般都采用一定时距的平均风速,类似于对风速进行“平滑滤波”处理,使得一些大于颗粒起动风速的“阵风”被忽略,从而导致输沙率的预测结果受到影响[25 ] ,因此对于输沙过程而言,选择适当时距的风速数据至关重要.理论上,时距越长,则越容易“抹掉”风速脉动甚至阵风对输沙率计算的影响,特别是对于野外非稳定风况,基于平均风速的输沙率计算结果与实际输沙率有较大偏差[17 ] ,甚至临界起动摩阻风速(u *t )与摩阻风速(u * )的计算结果也偏小[26 ] .但是,由于风沙运动相对于风速变化而言并非完全同步,而是存在迟滞现象,意味着风速时距过小(秒以下的数量级)也有可能造成基于平均风速的输沙率计算结果失真,尤其较小风速下稍瞬即逝、持续时间不足1 s的高于临界起沙风速的风,可能无法产生风沙流却可以计算出输沙率.同时,时距取值较小时,风速数据获取的难度将迅速增大,对于缺乏现场实测数据而不得不采用气象站风速资料计算输沙率时尤为如此.因此考虑到特定时间段内总输沙量计算的实际操作性,风速时距可以适当增大[27 ] . ...
Effect of averaging time on the apparent threshold for aeolian transport
1
1998
... 平均风速、脉动强度与湍流度均是计算输沙率以及输沙量的重要参数[10 ,23 -24 ] .输沙率计算时一般都采用一定时距的平均风速,类似于对风速进行“平滑滤波”处理,使得一些大于颗粒起动风速的“阵风”被忽略,从而导致输沙率的预测结果受到影响[25 ] ,因此对于输沙过程而言,选择适当时距的风速数据至关重要.理论上,时距越长,则越容易“抹掉”风速脉动甚至阵风对输沙率计算的影响,特别是对于野外非稳定风况,基于平均风速的输沙率计算结果与实际输沙率有较大偏差[17 ] ,甚至临界起动摩阻风速(u *t )与摩阻风速(u * )的计算结果也偏小[26 ] .但是,由于风沙运动相对于风速变化而言并非完全同步,而是存在迟滞现象,意味着风速时距过小(秒以下的数量级)也有可能造成基于平均风速的输沙率计算结果失真,尤其较小风速下稍瞬即逝、持续时间不足1 s的高于临界起沙风速的风,可能无法产生风沙流却可以计算出输沙率.同时,时距取值较小时,风速数据获取的难度将迅速增大,对于缺乏现场实测数据而不得不采用气象站风速资料计算输沙率时尤为如此.因此考虑到特定时间段内总输沙量计算的实际操作性,风速时距可以适当增大[27 ] . ...
输沙率对土壤颗粒特性和气流湍流脉动的响应
1
2019
... 平均风速、脉动强度与湍流度均是计算输沙率以及输沙量的重要参数[10 ,23 -24 ] .输沙率计算时一般都采用一定时距的平均风速,类似于对风速进行“平滑滤波”处理,使得一些大于颗粒起动风速的“阵风”被忽略,从而导致输沙率的预测结果受到影响[25 ] ,因此对于输沙过程而言,选择适当时距的风速数据至关重要.理论上,时距越长,则越容易“抹掉”风速脉动甚至阵风对输沙率计算的影响,特别是对于野外非稳定风况,基于平均风速的输沙率计算结果与实际输沙率有较大偏差[17 ] ,甚至临界起动摩阻风速(u *t )与摩阻风速(u * )的计算结果也偏小[26 ] .但是,由于风沙运动相对于风速变化而言并非完全同步,而是存在迟滞现象,意味着风速时距过小(秒以下的数量级)也有可能造成基于平均风速的输沙率计算结果失真,尤其较小风速下稍瞬即逝、持续时间不足1 s的高于临界起沙风速的风,可能无法产生风沙流却可以计算出输沙率.同时,时距取值较小时,风速数据获取的难度将迅速增大,对于缺乏现场实测数据而不得不采用气象站风速资料计算输沙率时尤为如此.因此考虑到特定时间段内总输沙量计算的实际操作性,风速时距可以适当增大[27 ] . ...
Snow drift
1
1977
... Mayaud等[17 ] 利用“动态质量平衡”(Dynamic Mass Balance)模型与前人建立的经验模型[28 ] 、半经验模型[29 ] 同步比较不同风速测量频率下的输沙量预测结果,发现对于长时间尺度(小时数量级)的输沙过程,3种模型采用1~10 min时距可以较为准确地预测输沙量,时距较小时,误差较大.Martin等[30 ] 通过多种时间尺度的输沙率与相对应的风剪应力和颗粒临界起动剪应力的两种关系评估了输沙率与风剪应力关系的离散程度对于时间尺度的依赖性,发现当时距约为5 min时,这种尺度依赖性趋于稳定.本文结果表明,以5 min时距为明显转折点,u v _ m a x / u v ¯ 随时距的增加呈现出先迅速减小后趋于稳定的变化趋势,说明≥5 min时距的平均风速,已经很大程度无法反映风的脉动甚至阵性特征,而<5 min时距的风速,尚能够较好地保留这一特性.鉴于较小风速下高于临界起沙风速的阵风或持续时间稍长的瞬时风对地表起沙的重要性,本文认为风速的统计时距不宜大于5 min.对于<1 min的秒级时距,数据获取的可行性不高.因此根据目前普遍采用的风速观测仪器和记录手段,用于计算输沙率的风速统计时距以1~5 min为宜. ...
Aeolian sand transport:a wind tunnel model
1
2003
... Mayaud等[17 ] 利用“动态质量平衡”(Dynamic Mass Balance)模型与前人建立的经验模型[28 ] 、半经验模型[29 ] 同步比较不同风速测量频率下的输沙量预测结果,发现对于长时间尺度(小时数量级)的输沙过程,3种模型采用1~10 min时距可以较为准确地预测输沙量,时距较小时,误差较大.Martin等[30 ] 通过多种时间尺度的输沙率与相对应的风剪应力和颗粒临界起动剪应力的两种关系评估了输沙率与风剪应力关系的离散程度对于时间尺度的依赖性,发现当时距约为5 min时,这种尺度依赖性趋于稳定.本文结果表明,以5 min时距为明显转折点,u v _ m a x / u v ¯ 随时距的增加呈现出先迅速减小后趋于稳定的变化趋势,说明≥5 min时距的平均风速,已经很大程度无法反映风的脉动甚至阵性特征,而<5 min时距的风速,尚能够较好地保留这一特性.鉴于较小风速下高于临界起沙风速的阵风或持续时间稍长的瞬时风对地表起沙的重要性,本文认为风速的统计时距不宜大于5 min.对于<1 min的秒级时距,数据获取的可行性不高.因此根据目前普遍采用的风速观测仪器和记录手段,用于计算输沙率的风速统计时距以1~5 min为宜. ...
Timescale dependence of aeolian sand flux observations under atmospheric turbulence
1
2013
... Mayaud等[17 ] 利用“动态质量平衡”(Dynamic Mass Balance)模型与前人建立的经验模型[28 ] 、半经验模型[29 ] 同步比较不同风速测量频率下的输沙量预测结果,发现对于长时间尺度(小时数量级)的输沙过程,3种模型采用1~10 min时距可以较为准确地预测输沙量,时距较小时,误差较大.Martin等[30 ] 通过多种时间尺度的输沙率与相对应的风剪应力和颗粒临界起动剪应力的两种关系评估了输沙率与风剪应力关系的离散程度对于时间尺度的依赖性,发现当时距约为5 min时,这种尺度依赖性趋于稳定.本文结果表明,以5 min时距为明显转折点,u v _ m a x / u v ¯ 随时距的增加呈现出先迅速减小后趋于稳定的变化趋势,说明≥5 min时距的平均风速,已经很大程度无法反映风的脉动甚至阵性特征,而<5 min时距的风速,尚能够较好地保留这一特性.鉴于较小风速下高于临界起沙风速的阵风或持续时间稍长的瞬时风对地表起沙的重要性,本文认为风速的统计时距不宜大于5 min.对于<1 min的秒级时距,数据获取的可行性不高.因此根据目前普遍采用的风速观测仪器和记录手段,用于计算输沙率的风速统计时距以1~5 min为宜. ...