中国沙漠 ›› 2020, Vol. 40 ›› Issue (5): 57-64.DOI: 10.7522/j.issn.1000-694X.2020.00050
        
               		张慧( ), 张春来(
), 张春来( ), 刘欣宇, 代豫杰, 岑松勃, 沈亚萍
), 刘欣宇, 代豫杰, 岑松勃, 沈亚萍
                  
        
        
        
        
    
        
               		Hui Zhang( ), Chunlai Zhang(
), Chunlai Zhang( ), Xinyu Liu, Yujie Dai, Songbo Cen, Yaping Shen
), Xinyu Liu, Yujie Dai, Songbo Cen, Yaping Shen
			  
			
			
			
                
        
    
摘要:
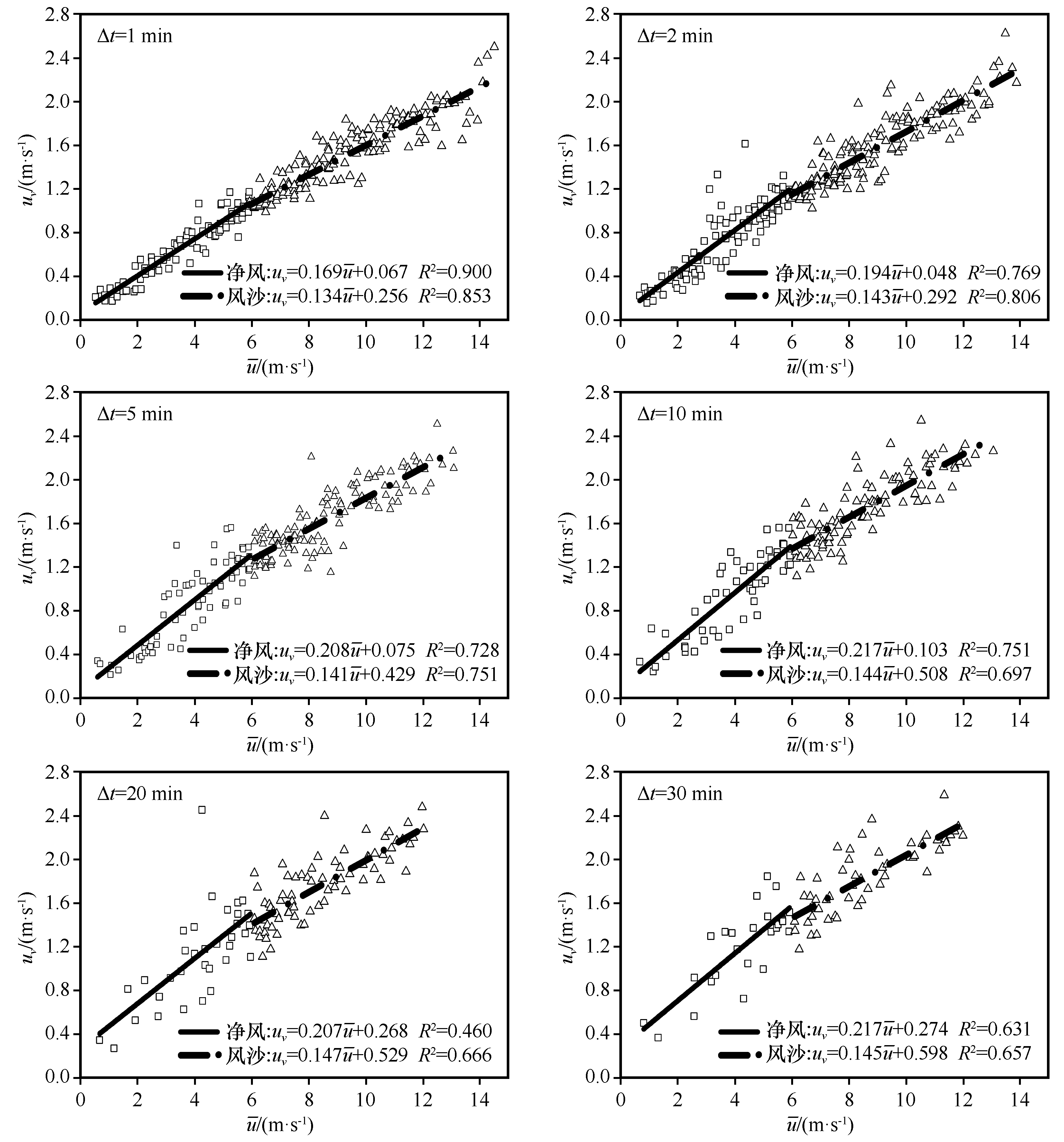
利用河北坝上地区裸露农田近地层风速的连续观测资料,分析了净风与风沙环境下近地表风速脉动特征。结果表明:地表风速脉动强度(uv)随平均风速的增加而增大,净风环境下脉动强度随风速的增大比风沙环境增加的更快,反映了运动沙粒对风速脉动过程具有一定的抑制作用。湍流度随平均风速的变化呈现幂函数递减趋势,净风环境的湍流度大于风沙环境。脉动风速的分布范围、概率分布集中性以及脉动强度与风速统计时距(Δt)有关。时距越小,脉动风速的分布范围越小,概率分布越集中。
中图分类号: