金沙江干热河谷华弹段黄土状土的成因、年龄及其古气候指示意义
1.
2.
3.
The genesis, age and its paleoclimatic significance of loess-like sediments in the Huatan section of the dry-hot valley of the Jinsha River
1.
2.
3.
收稿日期: 2021-10-21 修回日期: 2021-12-08
| 基金资助: |
|
Received: 2021-10-21 Revised: 2021-12-08
作者简介 About authors
刘芬良(1987—),男,湖南益阳人,博士,主要从事河流地貌研究E-mail:
关键词:
Keywords:
本文引用格式
刘芬良, 高红山, 潘保田, 李宗盟.
Liu Fenliang, Gao Hongshan, Pan Baotian, Li Zongmeng.
0 引言
青藏高原东南缘孕育了雅砻江、金沙江、怒江和澜沧江等大型河流,随着晚新生代青藏高原的强烈隆升,这些河流大多下切并形成深切峡谷。由于地形对局地气候的影响,在这些深切峡谷中出现了独特的“干热河谷”景观[34]。在这些干热河谷中广泛分布有黄土或黄土状土[35],尤其是四川与云南两省交界处的金沙江河谷发育了厚层的黄土状沉积物(图1)。它们是高原隆升背景下河谷中岩-水-气相互作用的结果,这些黄土状沉积物不仅能为研究西南季风、高原季风与青藏高原隆升的关系提供理想的地质材料,并且对探讨金沙江“干热河谷”的形成、青藏高原东南部气候变化都有非常重要的意义。但相对于青藏高原腹地和黄土高原地区的黄土,有关黄土状土的研究匮乏,目前仅有少量学者对青藏高原东南缘干热河谷中黄土状土的成因和形成时代进行了研究[36-40],由于缺乏精确的测年数据,金沙江干热河谷中黄土状土的成因及其所蕴含的古气候环境变化信息等方面的研究尚不成熟。本文通过分析金沙江干热河谷中黄土状沉积的空间分布、粒度特征和沉积速率,并结合光释光和磁性地层学,进一步探讨了黄土状土的成因和形成时代,揭示其所蕴含的该区域的古气候和古环境变化过程和变化特征等信息。
图1
图1
金沙江干热河谷中黄土状土的空间分布与野外照片
Fig.1
Spatial distribution and field photographs of the loess-like sediments in the Jinsha River Valley
1 研究区概况与黄土状土的空间分布特征
野外调查发现在金沙江的这些河流宽谷区,黄土状沉积物分布比较普遍,尤其是在华弹、龙街、涛源等地的缓坡上堰塞湖相沉积分布最广、最为典型(图1)。在龙街龙川江与金沙江交汇的第二级阶地上(25°57′39″N,101°52′54″E, 海拔1 360 m),沉积有3 m厚的黄土状沉积物(图1),之下为1.8 m的水平砂层(未见底)。在涛源金沙江的第三级阶地上(26°12′56″N,100°35′46.8″E,海拔1 280 m)也分布有6 m厚的黄土状沉积物(图1)。在华弹地区黄土状土分布最为广泛,在金沙江的各级阶地上均有分布,其中,金沙江的第六级阶地上(26°53′40″N,102°52′09″E,海拔1 350 m)分布有该地区最厚的黄土状沉积物,厚度达到了25 m(图2B)。根据地层结构、颜色等,华弹段金沙江第六级阶地上的黄土状土剖面可划分出8个层次:最上部为厚1.5 m的含有大量植物根系的黑褐色现代土壤,之下为5个古土壤层(红褐色)与5个黄土层(黄褐色)所形成的厚度不等的互层。本文研究的华弹剖面位于华弹镇境内的金沙江左岸(在江面以上约700 m,图1—2)。该区域主要受西南季风、高原季风以及南支西风环流影响,年均气温21.5 ℃,年降雨量765.7 mm,属于亚热带季风气候。河谷中干湿季节分明,每年的11月至次年4月干季,降水量占全年降水量的10%,降水保证率也很小。每年的5—10月为雨季,降水量占全年总降水量的90%左右,蒸发量大,土壤干枯,空气十分干燥,太阳辐射强,日照时间长。河谷中山谷风强劲,每年春、冬季为风季,最高风速可达20—30 m·s-1。
图2
图2
金沙江干热河谷华弹段中黄土状土与堰塞湖相沉积的空间分布(A)及河流阶地与黄土状土剖面(B)
Fig.2
Spatial distribution of loess-like sediments and dammed lake sediments (A) and river terrace and loess profile (B) in the Huatan section of Jinsha River Valley
2 研究方法
2.1 古地磁测年
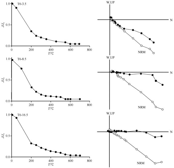
为了获得黄土状土的形成年代,我们对华弹段金沙江第六级河流阶地上的一个黄土状土剖面进行了古地磁样品采集。首先清理掉剖面上的表土,露出原始地层,然后再自剖面顶部起向下进行样品采集。0—17 m以0.5 m间隔采集,17—25 m以0.25 m间隔采集,共采得定向样品66块。每块样品在室内加工成3个2 cm×2 cm×2 cm的平行样品,测试在兰州大学西部环境教育部重点实验室古地磁和环境磁学实验室完成,设备为美国生产的2G-760R超导磁力仪,以50 ℃步长在TD-48热退磁仪进行系统热退磁,直到650 ℃。
2.2 光释光测年
为了获得各阶地上黄土状土的年代,进而计算其沉积速率随海拔的变化趋势,我们从金沙江边至华弹镇灯塔九队的河谷剖面上(图2),对分布在不同海拔上的5个沉积剖面分别采集1个光释光(OSL)样品,采样海拔分别为665、765、865、1 050、1 351 m和1 355 m。其中,1 351 m和1 355 m的两个OSL样品位于第六级阶地上的同一黄土状土剖面上,采样深度分别为5 m和9 m。海拔665 m处的沉积剖面颜色呈深灰色,由松散的粗砂组成,组成物质与现代金沙江河床沉积相似,我们判断其为河湖相沉积。在河湖相地层之上覆盖有薄层的由浅黄色粉砂组成的黄土状土;其余剖面均由浅黄色粉砂组成,为黄土状土沉积剖面。采样前首先清除采样点处厚约30 cm的表层物质,以避免采集到表层曝光的样品,然后将长约30 cm、直径约5 cm的厚壁不锈钢钢管的一端塞上黑色塑料袋等避光材料,从另一端将钢管用锤垂直砸入新鲜剖面中,待样品充分装满管后将管取出,用同样材料塞紧里端,并用胶带束紧两头。在实验室微弱的红光条件下将采样管中段的样品取出,一部分样品用10%的HCl和20%的H2O2进行处理,去除碳酸盐类和有机质,清洗干净后用分样筛提取38—63 μm的粒组(如果该组分样品过少则筛取90—150 μm的粗颗粒组分),用35%氟硅酸(H2SiF6)浸泡7—14 d除去长石,再滴入少量10%的盐酸去除样品与氟硅酸反应过程中产生的氟化物沉淀。最后,在烤箱中将样品烘干后,用磁选仪将样品中的磁性矿物去掉。所有样品的释光信号强度均在自动化的Risø TL/OSL-DA-20仪器上进行测试。等效剂量(De)根据单片再生法(SAR)和标准生长曲线法(SGC)相结合的方法来确定。另一部分样品则用来测定含水量以及U、Th和K的含量,在中国原子能科学研究所完成,测量方法为中子活化法。样品的前处理和测试都在兰州大学西部环境教育部重点实验室OSL年代学实验室中完成。OSL年代结果和相关信息如表1所示。
表1 金沙江干热河谷华弹段中黄土状土的OSL年代和相关参数
Table 1
样品 编号 | 海拔 /m | 深度 /m | K /% | Th /(mg·kg-1) | U /(mg·kg-1) | 含水量 /% | 剂量率 /(Gy·ka-1) | 等效剂量 /Gy | 年代 /ka |
|---|---|---|---|---|---|---|---|---|---|
| Lzu1131 | 665 | 1.2 | 1.57±0.05 | 8.14±0.26 | 2.02±0.08 | 10±5 | 2.73±0.14 | 0.60±0.03 | 0.22±0.02 |
| Lzu1132 | 765 | 2.0 | 1.67±0.05 | 12.2±0.34 | 2.67±0.10 | 10±5 | 3.16±0.17 | 37.48±2.86 | 11.86±1.12 |
| Lzu1133 | 865 | 2.5 | 1.56±0.05 | 12.6±0.35 | 2.92±0.11 | 10±5 | 3.16±0.18 | 65.19±1.61 | 20.67±1.26 |
| Lzu1134 | 1 050 | 5.0 | 1.78±0.06 | 13.4±0.36 | 2.45±0.10 | 10±5 | 3.32±0.18 | 214.25±12.70 | 64.50±5.24 |
| Lzu1135 | 1 355 | 5.0 | 1.89±0.06 | 14.0±0.38 | 2.46±0.10 | 20±5 | 3.06±0.16 | 248.23±21.53 | 81.23±8.24 |
| Lzu1136 | 1 351 | 9.0 | 2.05±0.06 | 13.8±0.37 | 2.85±0.11 | 20±5 | 3.15±0.17 | 386.08±14.68 | 122.71±8.12 |
2.3 粒度与元素测试
为了确定金沙江地区黄土状沉积物的输送方向,我们从金沙江边至灯塔九队的河谷剖面上,在海拔675、750、850、1 050、1 250、1 350 m分别采集20—30个黄土状土表层沉积物散样。此外,为了揭示黄土状土所蕴含的古环境信息,我们还对第六级阶地上黄土状土沉积剖面以0.20 m的间隔采集了散样,进行粒度测试和主要化学元素测试。粒度样品的前处理和分析均在兰州大学粒度实验室进行。在粒度样品测试之前,首先进行前处理。分别以双氧水(H2O2)和稀盐酸(HCl)去除样品中的有机质和碳酸盐,之后以蒸馏水清洗备用。样品上机测试前,首先加入5 mL 0.05 N的分散剂(NaPO3)6,并在超声振荡器中振荡5—10 min;然后采用马尔文公司生产的Mastersizer 2000E型激光粒度仪进行测量。主要化学元素的测试在兰州大学西部环境教育部重点实验室完成,并计算了CIA(化学风化强度指标)。
3 结果与分析
3.1 黄土状土的形成时代
图3
图3
金沙江干热河谷华弹段代表性黄土样品矢量投影与逐步热退磁结果
Fig.3
Progressive thermal demagnetization and orthogonal projecting plots for representative samples of the Huatan section of Jinsha River Valley
图4
图4
金沙江干热河谷华弹段第六级阶地上黄土状土地层剖面和古地磁测年结果及其中值粒度曲线、CIA参数曲线与格陵兰冰芯、深海氧同位素记录对比
Fig.4
Measurement results of paleo magnetism, Md curve and CIA curve of loess-like deposit section on sixth terrace of the Huatan section of Jinsha River Valley, compared to the Greenland ice core record and global marine oxygen isotope climate record
根据光释光年代和剖面厚度,我们计算得到了剖面上3个沉积区间的沉积速率:在0—5 m黄土状土的平均沉积速率约为0.06 m·ka-1,在0—9 m黄土状土的平均沉积速率约为0.07±0.01 m·ka-1,在5—9 m黄土状土的平均沉积速率为0.096 m·ka-1。显然前两者较小,且差别不大,而最后一个区间的沉积速率相对较高,可能是由于前两者均包含了若干黄土-古土壤序列,而最后一种大部分剖面均为黄土所致。考虑到整个第六级阶地上黄土状土沉积剖面包含了若干个黄土-古土壤层,因此,我们根据0—9 m的平均沉积速率0.07 m·ka-1进行外推,获得黄土状土沉积剖面的底界(深度25 m处)年龄约为357.14±6.28 ka,表明华弹地区金沙江干热河谷中黄土状土形成于中更新世中期以来。
3.2 黄土状土的来源
沉积物粒径的变化趋势同样可以反映风成沉积物搬运动力的强弱变化和来源方向。虽然沉积速率可能受地表捕获粉尘能力和湿沉降比例的影响,但一般来说,随着离源区距离的增加,沉积物粒径会逐渐变小,沉积速率也会逐渐降低。对河谷中不同海拔上黄土状土的粒度进行分析,结果显示其粒度具有明显的“双峰”分布(图5),符合典型风成黄土沉积特征[45]。为了进一步分析黄土状土粒径随海拔的分布,我们求取了每个海拔上采集的粒度样品的平均粒径与中值粒径的平均值,做出平均粒径与中值粒径随海拔变化图(6A)。结果显示,随着海拔的逐渐升高,黄土状沉积物的平均粒径与中值粒径逐渐减小。此外,本文还根据黄土状土沉积剖面中的年代和采样深度,在不考虑沉积后侵蚀的情况下,假设黄土状土沉积剖面的顶部年龄均为现代,计算得到了不同高程上黄土状土的沉积速率,做出了沉积速率随海拔变化图(图6B)。结果显示,随着海拔的逐渐升高,黄土状土的沉积速率逐渐降低。
图5
图5
金沙江河谷华弹段各海拔上黄土状土剖面的代表性粒度频率分布曲线
Fig.5
Grain-size distribution curves of the loess-like sediments samples in different altitudes of the Huatan section of Jinsha River Valley
图6
图6
金沙江河谷巧家段中黄土状土均值粒径、中值粒径(A)和沉积速率(B)随海拔的变化趋势
Fig.6
The change of mean size, median size (A) and deposition rates (B) of the loess-like sediments with altitude in the Qiaojia section of the Jinsha River Valley
河流阶地研究表明华弹段金沙江在540 ka前就下切至第二级阶地的位置,在20—40 ka下切至第一级阶地的位置[43],说明在黄土状土开始沉积以来,河床的位置并没有因河流的下切发生太大的变化。因此,黄土状土的粒度随海拔的细化和沉积速率随海拔的降低不太可能与河流下切导致的河床位置变化有关,而是反映了搬运距离的变化。在金沙江干热河谷中盛行强劲的山谷风,白天风从谷底吹向谷顶,并将河床上的河湖相粉砂沉积搬运至谷坡沉积下来。离谷底越远,黄土状土的搬运动力越弱。因此,黄土状土粒径与沉积速率随着海拔的增高逐渐减小的变化趋势,进一步证实了金沙江干热河谷中的黄土状沉积物是源于同区域内河谷中大量堆积的堰塞湖相静水沉积与河漫滩物质的一种近源风成沉积。
3.3 黄土状土的形成模式
黄土是干旱-半干旱的荒漠草原、草原或稀疏森林草原环境下的粉尘堆积。因此,学者一般把金沙江河谷中的黄土作为金沙江干热河谷出现的标志。但黄土的形成还需要有丰富的粉尘物源、足够的搬运动力和适宜的保存地形这3个必备条件[2]。前面的分析已表明,金沙江河谷中的黄土状土来源于相邻河段的河漫滩或古堰塞湖沉积,局地山谷风环流为其搬运动力。但通过对比分析发现金沙江干热河谷中的黄土状土与古堰塞湖相沉积在空间分布上具有一致性,即黄土状土分布的河段也是古堰塞湖沉积大量堆积的河段,甚至在一些河段还能出现古堰塞湖沉积阶地上堆积黄土状物质的现象,且对于相同河段而言,黄土状土的形成时代与古堰塞湖沉积大量出现的时代稍晚于古堰塞湖沉积大量出现的时代,如华弹段河谷中,本文测得的黄土状土最早形成于中更新世晚期(357.14±6.28 ka),刘芬良等[43]测得的该区最老古堰塞湖相沉积开始形成的时代为中新世中期(630 ka);龙街段河谷中,黄土状土堆积于在以龙街组粉砂层为基座的阶地之上,龙街组为一古堰塞湖沉积,因此,该区黄土状土形成时代稍晚于古堰塞湖沉积[44]。相反,在缺少堰塞湖相沉积物的河段,黄土状沉积比较少见。这表明古堰塞湖相沉积可能是金沙江干热河谷中黄土状土的主要物源,滑坡堰塞事件可能是决定金沙江干热河谷中黄土状土能否形成的重要因素。
河流是黄土形成过程中的重要搬运营力,河流能够将高山地区的黄土级物质搬运至构造沉降区或河流中下游的冲积扇、河漫滩或冲积平原上沉积下来,成为河流附近黄土等风成沉积的主要物源区[4,46]。如黄河中游的黄土高原和西毛乌素沙地[16]、长江中下游的下蜀黄土[21-22]、雅鲁藏布江上游河谷中的风成沉积[47-48]均为近源沉积,主要来源于邻近河流的河床和河漫滩。金沙江为长江上游河段,流经青藏高原东南缘,晚新生代以来以构造抬升为主,河流从高原上强烈侵蚀下切,形成深切峡谷。这种河段应该表现为基岩河道,河谷狭窄,谷坡陡峭,河漫滩并不发育,即河谷中并不存在为黄土状土提供丰富物源的条件。但事实上,该河段表现为宽谷与峡谷相间分布,在峡谷段,谷底狭窄,滑坡堵江频繁,而在宽谷段,河漫滩宽阔,中更新世中晚期以来的古堰塞湖相沉积十分发育。因此,本文认为河谷中频繁的堵江堰塞事件导致堰塞湖形成,河床基准面抬升,河流向下搬运过程被阻断,从而导致局部河段强烈加积,沉积厚层的细粒的河流相和古堰塞湖相沉积,形成局部的宽谷河段。当堰塞湖溃决后,随着河流的重新下切,这些沉积物出露于水面,为河谷中风成沉积的形成提供丰富的物源,导致黄土状土的形成。
因此,笔者认为,金沙江干热河谷中黄土状土的形成过程大致如下(图7):①构造抬升,河流下切形成深切峡谷,干热河谷出现,局地山谷风环流加强,此时河道以基岩河道为主,沉积物少,谷坡上并没有或只发育薄层的黄土状土;②河流继续深切,谷坡变陡,滑坡出现,滑坡堆积体堵塞河道,形成堰塞湖;③堰塞湖长时间保持稳定,在坝体上游的河床上堆积大量的湖相沉积和河流相沉积;④堰塞坝体溃决,堰塞湖消失,河流重新下切,大量的河湖相粉砂层露出水面,白天在谷风的作用下,从谷底向谷坡搬运的粉尘通量增加;⑤日积月累,在相对平缓的谷坡上堆积厚层的粉砂层,在干热河谷中干旱、半干旱的荒漠草原、草原和稀疏森林草原环境下逐渐形成黄土或黄土状土。
图7
图7
金沙江干热河谷巧家段中黄土状土的发育过程(左为河谷纵剖面视图下的黄土状土发育过程,右为河谷横断面视图下的黄土状土发育过程)
Fig.7
Formation model of the loess-like sediments in the Qiaojia section of the Jinsha River Valley. The left column is the development process of loess-like sediments from the river valley longitudinal section view, and the right is the development process of loess-like sediments from the river valley cross section view
3.4 黄土状土对区域古气候的指示
黄土剖面粒度和CIA变化曲线对气候冷暖干湿以及搬运风力强度具有重要的指示作用。华弹段金沙江第六级阶地上黄土状土剖面在形成过程中粒度和CIA具有明显的变化,说明剖面沉积过程中的古环境气候发生过明显的变化(图4)。根据粒度和CIA指标分析以及光释光技术所测得的样品年代数据,我们将该区358 ka以来古环境气候变化划分为以下几个阶段:
剖面顶部至1.5 m深度,年代在0—25 ka BP。其中顶部0—0.5 m为现代耕作土壤,不做讨论。在1—1.5 m,粒度较粗,CIA指数较低,表明谷风较强,风化作用较弱,气候寒冷干燥,堆积黄土状土,且未经历明显的风化成壤改造作用。
深度1.5—4.0 m,年代在25—60 ka BP,土壤粒度较细,CIA指数较高,且无明显变化,表明谷风较弱,风力稳定,且风化作用较强。此时段气候温暖湿润,发育古土壤层。
深度4.0—10.0 m,年代在60—140 ka BP,该段时期沉积物粒径逐渐降低,CIA指数逐渐升高,且波动明显,表明该段时期气候波段变化明显,逐渐从冷干变为暖湿,下部堆积的黄土状土有明显的成壤改造作用。
深度10.0—14.0 m,年代在140—210 ka BP,沉积物粒径逐渐增大,CIA指数逐渐降低,表明气候逐渐从暖湿变得冷干,堆积黄土状土,未有明显风化成壤改造作用。
深度14.0—25.0 m,年代在210—358 ka BP,该段时期内,沉积物粒度至210 ka BP左右减小后,虽有波动,但整体保持稳定,说明该段时期内谷风较弱,且保持稳定。但CIA变化波动较为明显,表明气候从210 ka BP开始变得暖湿,发育古土壤,230 ka BP左右开始逐渐变冷干,至280 ka BP又开始转向暖湿,风化成壤改造作用明显增加,发育古土壤。在320—340 ka BP,气候又以干冷为主,之后转向暖湿。
4 结论
通过对金沙江华弹段干热河谷中黄土状土的空间分布、粒度、CIA和沉积速率进行分析,发现高程越高,黄土状土的粒径越小,沉积速率越低,结合前人研究成果,进一步证实了黄土状土为来源于金沙江谷底的河漫滩沉积和古堰塞湖沉积的近源风成沉积;通过对华弹段金沙江第六级阶地上黄土状土沉积剖面进行光释光测年和磁性地层学分析,发现黄土状土形成于中更新世中晚期。通过对比黄土状土与古堰塞湖沉积的空间分布和形成时代,发现黄土状土与古堰塞湖沉积在空间分布和形成时间上密切相关,表明古堰塞湖相沉积是黄土状土的主要物源,滑坡堰塞事件可能是影响金沙江干热河谷中黄土状土形成的重要因素。黄土状土沉积剖面的粒度和CIA变化特征表明至中更新世中晚期以来,该段河谷中的环境气候发生过明显的冷暖交替变化,并在冰期-间冰期尺度上响应全球气候变化。在后续的研究中,应该加强中国西南地区深切河谷中黄土状土与古堰塞事件之间的关系研究。
参考文献
The nature,origin and accumulation of loess
[J].
Loess genesis and worldwide distribution
[J].
Late Paleogene emergence of a North American loess plateau
[J].
Magnetostratigraphical dating of loess deposits in China
[J].
Age and palaeoclimatic significance of the loess of Lanzhou,north China
[J].
Pleistocene climates in China dating by magnetic susceptibility
[J].
Magnetic susceptibility evidence of monsoon variation on the Loess Plateau of central China during the last 130,000 years
[J].
洛川黄土地层定年的一个模式及其初步应用
[J].
Source regions and formation of the loess sediments on the high mountain regions of northwestern China
[J].
Provenance of loess material and formation of loess deposits on the Chinese Loess Plateau
[J].
Late Pliocene-Pleistocene changes in mass accumulation rates of eolian deposits on the central Chinese Loess Plateau
[J].
Qaidam Basin and northern Tibetan Plateau as dust sources for the Chinese Loess Plateau and paleoclimatic implications
[J].
Loess plateau storage of northeastern Tibetan plateau-derived Yellow River sediment
[J].
Loess-soil sequences in southern Anhui Province:magnetostratigraphy and paleoclimatic significance
[J].
Distribution,provenance,and onset of the Xiashu Loess in Southeast China with paleoclimatic implications
[J].
Onset of Xiashu loess deposition in southern China by 0.9 Ma and its implications for regional aridification
[J].
Geochemical evidence for provenance diversity of loess in southern China and its implications for glacial aridification of the northern subtropical region
[J].
Grain-size evidence for the transport pathway of the Xiashu loess in northern subtropical China and its linkage with fluvial systems
[J].
Loess in Kunlun Mountain and its implications on desert development and Tibetan Plateau uplift in west China
[J].
Late Quaternary aeolian sedimentation in central and south-eastern Tibet
[J].
Loess sedimentation in Tibet:provenance,processes,and link with Quaternary glaciations
[J].
Geochemical evidence of the Chinese loess provenance during the Late Pleistocene
[J].
Luminescence-dated aeolian deposits of late Quaternary age in the southern Tibetan Plateau and their implications for landscape history
[J].
Magnetostratigraphy and palaeoclimatic significance of the late pliocene red clay:quaternary loess sequence in the Lanzhou Basin,Western Chinese Loess Plateau
[J].
The sources and transport dynamics of eolian sediments in the NE Tibetan Plateau since 6.7 Ma
[J].
Variability and environmental significance of organic carbon isotopes in Ganzi loess since the last interglacial on the eastern Tibetan Plateau
[J].
青藏高原东北部晚第四纪黄土-古土壤的元素组成及其物源指示
[J].
巧家盆地黄土的粒度特征及其成因分析
[J].
The origin and sources of loess-like sediment in the Jinsha River valley,SW China
[J].
Dam and megafloods at the First Bend of the Yangtze River since the Last Glacial Maximum
[J].
金沙江寨子村滑坡坝堰塞湖沉积及其对昔格达组地层成因的启示
[J].
Rivers and loess:the significance of long river transportation in the complex event-sequence approach to loess deposit formation
[J].
Evidence for general instability of past climate from a 250-kyr ice-core record
[J].
A Pliocene-Pleistocene stack of 57 globally distributed benthic δ 18O records
[J].
/
| 〈 |
|
〉 |

甘公网安备 62010202000688号