毛乌素沙地库伦生态经济圈结构、效益及农牧民行为
刘红梅 , 1 , 王海兵 , 1 , 李宽 2 , 刘茜雅 1 , 任余艳 3 , 张彦东 4
1.内蒙古农业大学 沙漠治理学院/风沙物理与防沙治沙工程重点实验室,内蒙古 呼和浩特 010011
2.内蒙古自治区测绘地理信息中心,内蒙古 呼和浩特 010010
3.鄂尔多斯市林业治沙科学研究院,内蒙古 鄂尔多斯 017000
4.鄂托克前旗林业和草原局,内蒙古 鄂托克前旗 016200
Structure, benefits and behavior of farmers and herdsmen of the Kulun ecological economic circle in Mu Us Sandy Land
Liu Hongmei , 1 , Wang Haibing , 1 , Li Kuan 2 , Liu Xiya 1 , Ren Yuyan 3 , Zhang Yandong 4
1.College of Desert Control Science and Engineering / Key Laboratory of Aeolian Sand Physics and Sand Control Engineering,Inner Mongolia Agricultural University,Hohhot 010011,China
2.Inner Mongolia Autonomous Region Surveying and Mapping Geographic Information Center,Hohhot 010010,China
3.Ordos Forest and Desert Scientific Research Institution,Ordos 017000,Inner Mongolia,China
4.Inner Mongolia Otog Front Banner Forestry Bureau,Otog Front Banner 016200,Inner Mongolia,China
通讯作者: 王海兵(E-mail: hbwang@imau.edu.cn )
收稿日期: 2021-11-30
修回日期: 2022-03-20
基金资助:
内蒙古自治区科技重大专项项目 . 2019ZD007
Received: 2021-11-30
Revised: 2022-03-20
作者简介 About authors
刘红梅(1998—),女,内蒙古乌兰察布人,硕士研究生,研究方向为水土保持与荒漠化防治E-mail:1596787029@qq.com
, E-mail:1596787029@qq.com
摘要
以户为单位的库伦生态经济圈作为毛乌素沙地牧区最基本的生产单位,与沙地生态系统稳定和区域经济发展密切相关。本文基于鄂托克前旗1986年和2020年户库伦土地利用数据及390户2020年生态经济问卷调查数据,阐明户库伦土地的生态系统服务价值分布规律及不同价值背景下经济圈结构模式、效益和农牧民生计行为的一般特征。结果表明:户库伦生态系统服务价值呈正态分布模式,为0~4.5亿元,其中中低(50万~300万元)及中高(300万~700万元)价值户库伦在全旗所占比例最高(59.04%、23.17%);低(0~50万元)及高(700万元以上)价值户库伦数较少(12.43%、5.36%);库伦生态经济圈均为以畜牧为主、农林为辅的农林草畜复合生态产业发展模式,经济效益随库伦土地的生态系统服务价值增加而增大;农牧户消费支出结构具有相似性,农牧业生产投入、礼节性支出和交通费用支出比例较高,占比分别为37.92%、22.71%、13.28%,且随着收入增加渐增;近35年区域生态环境显著改善,极大地提高了农牧户经济效益和生活水平。
关键词:
生态系统服务价值
;
经济效益
;
农牧民生计行为
;
库伦生态经济圈
;
毛乌素沙地
Abstract
The Kulun eco-economic circle with "household" as the unit is the most basic production unit in the pastoral area of the Mu Us Sandy Land, which is closely related to the stability of the sandy land ecosystem and the development of the regional economy. Based on the land use data of Hukulun in 1986 and 2020 in Otog Front Banner and the ecological economy questionnaire survey data of 390 households in 2020, this paper clarifies the distribution law of ecosystem service value of Hukulun land and the economic circle structure pattern and benefit under different value backgrounds and general characteristics of the livelihood behavior of farmers and herdsmen. The results showed that the ecosystem service value of Hukulun showed a normal distribution pattern, with a distribution range of 0-450 million yuan, of which the middle-low (0.5-3 million yuan) and medium-high (3-7 million yuan) value Hukulun accounted for a substantial part in the whole banner. The proportions were the highest (59.04%, 23.17%); low (0-0.5 million yuan) and high (7 million yuan or more) value households have low proportions(12.43%, 5.36%); the Kulun eco-economic circle was dominated by animal husbandry. In the development model of agro-forestry-grass-animal complex ecological industry supplemented by agriculture and forestry, the economic benefits increased with the increase of the ecosystem service value of Kulun land; the consumption expenditure structure of farmers and herdsmen was similar, and the proportion of agricultural and animal husbandry production input, etiquette and transportation expensed high, accounting for 37.92%, 22.71%, 13.28%, and gradually increased with the increase of income; the regional ecological environment has improved significantly in the past 35 years, greatly improving the economic benefits and living standards of farmers and herdsmen.
Keywords:
ecosystem service value
;
economic benefits
;
livelihood behavior of farmers and herdsmen
;
kulun ecological economic circle
;
Mu Us Sandy Land
本文引用格式
刘红梅, 王海兵, 李宽, 刘茜雅, 任余艳, 张彦东. 毛乌素沙地库伦生态经济圈结构、效益及农牧民行为 . 中国沙漠 [J], 2023, 43(1): 48-57 doi:10.7522/j.issn.1000-694X.2022.00109
Liu Hongmei, Wang Haibing, Li Kuan, Liu Xiya, Ren Yuyan, Zhang Yandong. Structure, benefits and behavior of farmers and herdsmen of the Kulun ecological economic circle in Mu Us Sandy Land . Journal of Desert Research [J], 2023, 43(1): 48-57 doi:10.7522/j.issn.1000-694X.2022.00109
0 引言
土地沙化急剧缩减着沙区可利用土地面积[1 ] ,严重影响沙区生态、经济乃至人类的可持续发展[2 -3 ] 。库伦生态经济圈建设是广大农牧民群众在家庭承包经营基础上,致力于构建草-林-畜-农-产-储-销一体化的循环经济生态产业链,以实现区域小农牧户和现代农牧业高质量发展为目标的生态经济建设。生态圈自成体系、相互嵌套、网状联通构成户、村(嘎查)、镇(苏木)三级系统,高效防治沙漠化,形成可持续的生态圈集群模式,以习近平生态文明思想为指引,坚持“生态产业化、产业生态化”作为沙地生态修复的重要举措。当前国内外对库伦的研究主要在草库伦分类上(按经济用途、时空发展等),而对沙区现有库伦生态结构、经济效益和农牧民行为及其之间关系研究较少,库伦生态经济圈产业链的构建及优化的基础理论研究亟待加强。
“库伦”起初是用铁丝网、土墙等把一定范围或面积的沙区草场围圈起来,进行封闭培育,也称“草库伦”,后又根据沙地斑块状荒漠化分布的特征和农牧户分散居住的特点,农牧民围绕住所,在外围封禁沙地,植树造林防风固沙,在圈内水分条件较好的滩地(或丘间地)种植粮食蔬菜作物以及饲草料,饲养一定数量的羊、牛等牲畜,使库伦逐渐成为一个小尺度的农林牧复合生态经济系统[4 -6 ] 。近几十年来,沙区耕地与沙地也大量转变为林地和草地,使依附在土地上的农牧民数量减少,劳动力得到释放,不同库伦生态圈的农牧户生计方式逐渐多元化,并衍生蒙元文化旅游与库伦经济等生态产业,使库伦逐渐成为一个小尺度草-林-畜-农-产一体化的循环库伦生态经济圈[7 ] 。库伦生态经济圈作为沙地生态治理的政策实施基本单元对区域生态修复起到了至关重要的作用,不仅能改善周边生态环境、提高植被覆盖率,而且对发展农牧业生产、促进农牧结构调整、增加农牧民收入、实现生态保护和经济发展至关重要[8 -10 ] 。农牧户作为禁牧政策的主要参与者,他们在政策导向下的适应行为不仅影响着其生活水平,更影响着地区禁牧绩效和社会经济的可持续发展[11 -12 ] 。因此,认识库伦生态经济圈,对高效防治沙漠化、保护生物多样性,提高农牧户生产生活水平和促进区域经济可持续发展具有重要的指示意义。
鉴于此,本研究以毛乌素沙地鄂托克前旗户库伦为研究对象,以户库伦土地的生态系统服务价值为基础,结合库伦经济效益,进行农林草畜复合生态产业发展模式划分,分析了不同模式下库伦生态圈的农林牧结构、经济效益特征以及农牧户消费行为与生态意识,为毛乌素沙地库伦生态经济圈产业链的构建及优化提供数据基础和科学依据。
1 研究区概况
毛乌素沙地地处内蒙古、陕西、宁夏的交界地带,属荒漠草原-干草原-森林草原的过渡带,是中国四大沙地之一,具有中温带大陆性季风气候的特点,沙漠化敏感性高[13 ] 。年平均气温6.10~8.15 ℃,多年平均降水量在沙区东南部为400~440 mm,向西逐渐递减,约为200 mm,7—9月集中全年降水量的60%~70%。本文选择毛乌素沙地库伦生态圈分布的典型区域——内蒙古鄂托克前旗为研究区(图1 ),本旗区域涉及昂素、城川、敖勒召其、上海庙4个镇、68个嘎查、17个社区,户籍人口8.1万人,是一个以蒙古族为主体、汉族占多数、农牧业为基础、工业占主导的少数民族聚居区。库伦生态圈具有显著的区域差异,如上海庙镇辖区以荒漠草原景观为主,在地势低洼、水源丰富的区域散布房舍、农地及防护林,形成典型的散生型林草库伦;在城川及敖勒召其镇村庄较为聚集、人口集中、农地面积大,区域农牧复合型库伦分布较多;昂素镇区域为早期沙地飞播造林区,灌木林草植被恢复较好、覆盖度高、林草资源丰富,形成典型的林草库伦。沙区户库伦生态资源、生产经营与消费方式,以及对生态环境认知上的差异使得区域农牧户经济收入及生活水平具有显著的差异性。区域独特的库伦资源为本研究提供了理想的调研基地。
图1
图1
研究区概况
Fig.1
Overview of the studied area
2 研究方法与数据
2.1 库伦生态经济圈的生态系统服务价值计算
本研究所使用的遥感影像来自于https://www.resdc.cn/ ,参照中国土地利用现状分类体系,结合鄂托克前旗未利用地中多为沙地的实际情况,将未利用地分为沙地与其他未利用地两类,总体将土地利用现状分类体系调整为耕地、林地、草地、水域、建设用地、沙地及其他未利用地共7类。以“中国生态系统单位面积生态系统服务价值当量因子表”为基础[14 -15 ] ,假设建设用地生态系统价值系数为0,将耕地、林地与农田、森林的生态系统价值系数一一对应,沙地与其他未利用地与荒漠的生态系统价值系数对应。基于鄂托克前旗农业生产情况,采用研究区农田单位面积粮食产量与全国农田单位面积粮食产量的比值作为地区修订系数,将“中国生态系统单位面积生态服务价值当量表”修订为“鄂托克前旗生态系统单位面积生态服务价值当量表”[16 -17 ] 。2020年鄂托克前旗平均粮食产量为4 642.36 kg·hm-2 ,粮食均价为2.87元·kg-1 。根据式(1)计算并得到鄂托克前旗土地单位面积生态系统服务价值(表1 )。
W = 1 7 × P × Q M (1)
式中:W 是单位面积生态系统服务价值(元·hm-2 );P 是研究区粮食作物平均价格(元·kg-1 );M 是研究区粮食作物播种面积(hm2 );Q 是研究区粮食作物总产量(kg)。
最后利用式(2)和土地利用数据对鄂托克前旗各库伦生态经济圈的生态系统服务价值进行计算。
E S V = ∑ k = 1 n ( A k × P k ) (2)
式中:ESV 表示研究区内土地生态服务价值总和(元);Ak 表示修正后的本地单位面积生态服务价值(元·hm-2 );Pk 表示第k 类土地的面积(hm2 )。
为探究鄂托克前旗1986、2020年库伦生态系统服务价值的变化特征,对境内6 194个户库伦土地的生态服务价值分别计算,统计分析了不同生态服务价值背景下户库伦数概率分布变化规律。
2.2 库伦生态经济圈问卷调查
本研究数据通过参与式农村评估法(PRA)的问卷调查而得。课题组于2021年5—6月前往鄂托克前旗按照随机抽样的方式,以库伦生态经济圈为单位进行调研。本次共发放纸质版问卷420份,回收真实可靠。信息齐全的有效问卷390份,问卷有效率为92.86%。对被调查者家庭规模、库伦面积、养殖类型及收入等社会经济特征进行统计分析(表2 )。被调查农牧户多数以畜牧业为主,人口年龄以中老年人为主,家庭规模2~5口人为主,大多数农牧户收入在10万元以上,较为可观。
根据鄂托克前旗的地理特征和社会经济状况设计调查问卷,内容涉及:①不同农牧户耕地、林地、草地的分布;②不同农牧户家庭的收入与消费,包括家庭人口数、收入状况、种植养殖规模、消费支出等;③草原管理模式评价,包括草畜平衡、禁牧政策、草原生态补偿的效益评分、优缺点及存在问题等。每户调研的时间20~30 min。
3 结果与分析
3.1 生态系统服务价值分布及结构特征
图2 所示为鄂托克前旗6 194个户库伦生态经济圈1986年与2020年的生态系统服务价值。大部分户库伦生态系统服务价值在600万元以下,服务价值在1 000万元以上的库伦集中在鄂托克前旗的西部及南部边缘。近35年来,鄂托克前旗生态环境在空间上相对稳定。
图2
图2
库伦圈生态系统服务价值分布
Fig.2
Kulun circle ecological service value distribution
图3 所示为鄂托克前旗户库伦生态系统服务价值等级划分,1986年与2020年库伦生态圈在不同服务价值段的数量上虽没有明显变化,但也存在明显的概率分布差异,库伦生态圈服务价值主要在50万~300万元。通过生态服务价值概率累积分布将库伦圈分为4类生态环境:低价值模式(12.43%)、中低价值模式(59.04%)、中高价值模式(23.17%)和高价值模式(5.36%)。同样,调查问卷中390个库伦生态经济圈的低价值模式共46户,中低价值模式共221户,中高价值模式共111户,高价值模式共12户。
图3
图3
库伦圈生态系统服务价值等级划分
Fig.3
Kulun circle ecosystem service value classification
表3 所列为鄂托克前旗不同土地类型1986年与2020年的生态系统服务价值的变化。1986—2020年,区域生态系统服务价值总体呈增加趋势,共增加了4.17亿元。在土地利用变化方面,以水域和沙地的影响最为明显,造成生态系统服务价值损失1.45亿元,而大面积土地逆转为林草地造成生态系统服务价值增加了6.24亿元。其中,草地生态系统服务价值增加量最大,为4.81亿元,而林地生态系统服务价值增加率最大,增加值占1986年林地价值总量的77.07%。
表4 所列为4种模式下的库伦生态圈的结构特征。在服务功能和形态结构上,4种模式的库伦生态圈平均面积依次增加,使生态系统服务价值也依次增大,而周长与面积的比值依次减小,说明4种模式库伦圈平面形态越规则。在景观上,鄂托克前旗4种模式土地利用类型中,除了低价值模式沙地分布面积最大,其他模式下草地的分布最为广泛,而草地总面积所占比例高达70.87%。4种模式中,低价值模式沙地和草地面积分别为19.25 hm2 和9.01 hm2 ,分别占总面积的58.71%和27.48%。中高价值模式中草地所占比重最高,为79.86%。高价值模式中,耕地、林地、水域和建设用地在4种模式中比例最高。
3.2 农林牧结构与效益特征
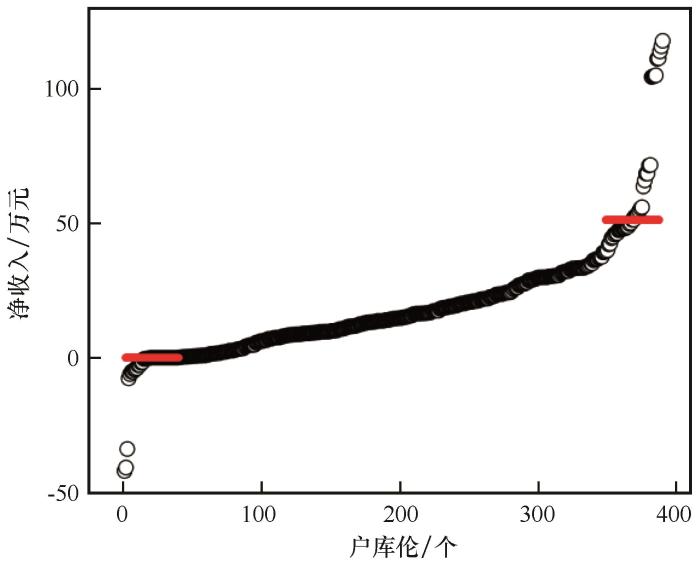
根据户库伦净收入整体分布特征,将4类生态系统服务价值模式库伦圈分别细分为3类不同收入等级(图4 、表5 ),即低收入(Ⅰ:净收入0元以下)、中等收入(Ⅱ:0—50万元)、高收入库伦(Ⅲ:50万元以上)。表5 为不同价值模式下户库伦的收入特征。4类生态系统服务价值模式库伦圈均以中等收入牧户为主,平均占比为84.87%,且平均收入在4类模式下差距显著。对比不同生态背景及收入,整体表现为平均经济效益随库伦土地的生态系统服务价值增加而增大,高价值(年均总收入26.77万元)>中高价值(25.08万元)>中低价值(23.04万元)>低价值(13.54万元),可见生态环境越稳定其经济效益越高。
图4
图4
户库伦不同生态背景下净收入分类
Fig.4
Classification of net income of Hukulun under different ecological backgrounds
图5 为毛乌素沙地4类生态服务价值背景下不同经济效益库伦的农林草土地利用结构、经济效益和种养模式。库伦圈的农林牧结构与生产方式的不同直接影响户库伦经济效益。不同生态背景下牧业收入占比均最高(占总收入79.45%),牧业养殖以肉牛和羊为主,天然草场质量的好坏直接影响养殖规模和牧户经济效益。农业生产仍然以饲草料、玉米和苜蓿为主,缺乏辣椒、西瓜等经济作物种植,而且集中在个别农牧户,整体经济效益低下,占总收入的13.91%。林业生产大多以柠条、杨树等生态林为主,可获得部分政府补贴性收入,且规模产量小、收入比例较低,林业收入、补贴收入分别仅占总收入的1.92%、4.83%。
图5
图5
库伦生态经济圈种植、养殖结构对经济的贡献
Fig.5
Contribution of planting and breeding structure to the economy of the Kulun ecological economic circle
3.3 农牧民消费行为及生态意识
不同模式下库伦生态圈的消费支出结构具有相似性(图6 ),生态环境、经营模式和民俗习惯都影响着农牧民的消费行为。4种生态背景下的消费支出为高价值(年均消费11.54万元)>中低价值(9.81万元)>中高价值(9.23万元)>低价值(8.78万元),且不同生态背景的库伦消费支出结构比例基本相近。库伦圈生产方式均以种植养殖为主,需要化肥农药购买、饲草料种植以及棚户改造维修等方面的费用投入,使4种生态背景下农牧业生产投入消费支出比例均最高(占总消费支出37.92%);局地重视婚丧嫁娶的风俗也使礼节性消费支出比例较高(占总消费支出22.71%);由于多数库伦位置距城镇较远,复杂的沙地环境导致交通出行不便,使交通支出费用比例也较高(占总消费支出13.28%)。除农牧业投入支出外,中低价值模式其他消费总支出最高(6.22万元),可见农牧民收入差距对日常生活消费水平无明显影响。
图6
图6
库伦圈消费行为分析生活用品及服务支出具体包括煤炭、新柴、液化气、电费、洗衣粉、肥皂、洗洁精和纸张、卷纸共8项内容
Fig.6
Kulun circle consumption behavior analysis
表6 为受访调查的390个农牧户对生态感知行为的一些评价。农牧民普遍认为(77.44%),沙地生态环境和经济在区域可持续发展中同等重要,近35年来,区域生态环境显著改善,主要表现为风沙日数和沙化面积减少(88.97%),这也与沙地治理、退耕还林、禁牧政策等实施有关。其次,大部分的农牧户认为环境的改善显著增加了农牧民收入(78.72%),也认为政府对政策的推行工作到位,全旗上下形成禁牧封育高压态势。可见,生态稳定可以促进经济建设,而经济建设又可反哺生态,加之政府政策引导管理,使建设库伦生态经济圈成为沙区人民可持续发展的重要措施。
4 讨论
生态与经济协调发展成为沙地未来发展过程中所面临的重要问题[18 ] 。我们根据Raworth[19 ] 描述的相关原理绘制了库伦圈的生态-经济关联(图7 )。山水林田湖草沙是人类赖以生存的生态环境资源禀赋和活动空间,为人类生产生活提供基本的物质需求,但同时也受到人类生产经营活动的影响。就库伦生态经济圈而言,经济发展不足或生态环境过载时都无法满足库伦生态经济圈可持续发展的要求。库伦生态过载时,林草资源不合理开发导致荒漠化面积扩大,荒漠化程度加剧,进而阻碍库伦经济稳定发展;库伦经济发展不足时,生产经营活动无法满足农牧户生计需求,林草资源将被过度开发利用,势必破坏库伦圈生态环境稳定性,恶性循环将周而复始[20 -21 ] 。因此,坚持生态优先、绿色发展的理念,牢固树立经济和生态相互依存的可持续发展观念,合理调整库伦圈的生产经营结构,不断提高农牧民的生态意识认知,才能更好地促进沙地生态有序持续发展。
图7
图7
库伦圈的生态-经济关联图
Fig.7
Eco-economic connection diagram of the Kulun circle
本文4种生态服务价值背景下的库伦生态经济圈均是以畜牧为主、农林为辅的结构模式,在生态稳定的前提下,采用不同的农林牧和种养结构比例,产生不同的经济效益,对比分析4种生态背景,高价值模式有利于实现经济效益最大化。4种生态服务价值背景下的经济效益差异,主要体现在农林牧结构的配置对经济效益的提高有重要影响。根据调研结果,发现库伦圈农林牧结构存在以下问题:①在草畜平衡方面,仍然存在农林牧结构不合理使资源无法得到充分利用,农地资源丰富的库伦仍以种植玉米、苜蓿等饲草作物为主,辅助扩大牧业发展,而非发展沙区特色农业经济,综合经济效益也不高;②库伦圈农牧民均以传统种养模式为主,只有肉牛肉羊初级农产品,产业延伸度不够造成产业链短;③林炭经济交易不成熟等,林业资源闲置且利用率不高。
针对调查中农牧民的消费行为和生态意识,本文对保护生态和提高经济效益提出以下对策:①以水定地,在科学评估的基础上合理加大人工草地的建设,在草畜平衡基础上合理配置牛羊比例,增加牧业收入;②根据牛、羊等畜牧产品的数量、地理位置、今后的发展位等基础建设棚户和活动场地,避免使用经常更换的原材料建设,防止后期维修成本过大;③依托本地大企业的资金和技术优势,发展打造本土知名牛羊肉品牌,提高初级农产品价格,延长产业链,增加农牧民收入;④加大草饲畜牧业建设力度,利用当地其他粗料代替成品饲料,将饲料多样化搭配,减少成品饲料投喂量,降低饲料成本,提高农畜产品价值;⑤林业资源经济开放潜力大,利用森林资源,发展灌木饲料,林果、林药经济等;⑥拓宽农牧民收入渠道,探索林业碳汇交易,同步发展家庭牧场、畜牧业旅游等产业,增加农牧民收入。
5 结论
毛乌素沙地库伦生态经济圈为以畜牧为主、农林为辅的农林草畜复合生态产业发展模式,经济效益随库伦土地的生态系统服务价值增加而增大,近35年随沙地生态环境显著改善,农牧户经济效益和生活水平取得了极大提高。目前,库伦生态经济圈产业模式仍存在种养结构不合理、产业链条短、林草资源利用率低等制约农牧经济提质增效的客观问题。库伦生态经济圈发展,应以水资源为基础,结合林草湖田沙资源分布特征,坚守草畜平衡基础上合理配置牛羊比例、调整农林牧结构,大力发展林业资源经济开发,加强农牧民生态意识建设,布局和完善以农牧户及合作社为主体的草-林-畜-农-产-储-销一体化的循环经济生态产业链,不仅可以实现区域小农牧户和现代农牧业高质量发展目标,也可以维持区域生态经济可持续发展需求。在后续研究中可进一步通过能值分析、系统动力学等分析方法,构建沙地库伦生态经济圈系统模型,构建及优化其产业链结构和运行模式。
参考文献
View Option
[1]
Mooney H A , Duraiappah A , Larigauderie A .Evolution of natural and social science interactions in global change research programs
[J].Proceedings of the National Academy of Sciences of the United States of America ,2013 ,110 :3665 -3672 .
[本文引用: 1]
[2]
邰秀军 ,芦利广 ,杨鑫 ,等 .沙化区生态移民的沙化感知、社会影响和适应性策略
[J].中国人口·资源与环境 ,2020 ,30 (3 ):168 -176 .
[本文引用: 1]
[3]
Lee E H .Recent increasing trend in dust frequency over Mongolia and Inner Mongolia regions and its association with climate and surface condition change
[J].Atmospheric Environment ,2011 ,45 (27 ):4611 -4616 .
[本文引用: 1]
[4]
柴珊 ,柴建国 .牧区风沙区水土流失与草库伦建设
[J].中国水土保持 ,2003 (6 ):24 -32 .
[本文引用: 1]
[5]
包哈达 .加快草库伦建设全面保护黑土地
[J].中国水土保持 ,2003 (11 ):17 -18 .
[6]
洪传春 ,刘某承 ,李文华 .农林复合经营:中国生态农业发展的有效模式
[J].农村经济 ,2015 (3 ):37 -41 .
[本文引用: 1]
[7]
Ayhan A , Turkay T , Sultan B ,et al .Resident perceptions of livelihood impacts arising from the Kozlldag National Park,Turkey
[J].Environment Development and Sustainability ,2018 (20 ):1037 -1052 .
[本文引用: 1]
[8]
李同昇 ,陈谢扬 ,芮旸 ,等 .西北地区生态保护与高质量发展协同推进的策略和路径
[J].经济地理 ,2021 ,41 (10 ):154 -164 .
[本文引用: 1]
[9]
哈斯巴根 ,李和平 ,杨燕山 .家庭草库伦产业结构分析和效益评价
[J].中国草地 ,1994 (1 ):52 -57 .
[10]
Grossman G M , Krueger A B .Economic growth and the environment
[J].The Quarterly Journal of Economics ,1995 ,110 (2 ):353 -377 .
[本文引用: 1]
[11]
孙特生 ,胡晓慧 .基于农牧民生计资本的干旱区草地适应性管理:以准噶尔北部的富蕴县为例
[J].自然资源学报 ,2018 ,33 (5 ):761 -774 .
[本文引用: 1]
[12]
Wang W W , Fanc C .Migrant workers' integration in urban China:experiences in employment,social adaptation,and selfidentity
[J].Eurasian Geography and Economics ,2012 ,53 (6 ):731 -749 .
[本文引用: 1]
[13]
刘娟 ,刘华民 ,卓义 ,等 .毛乌素沙地1990-2014年景观格局变化及驱动力
[J].草业科学 ,2017 ,34 (2 ):255 -263 .
[本文引用: 1]
[14]
Costanza R , d'Arge R , de Groot R ,et al .The value of the world's ecosystem services and natural capital
[J].Nature ,1997 ,387 (6630 ):253 -260 .
[本文引用: 1]
[15]
谢高地 ,甄霖 ,鲁春霞 ,等 .一个基于专家知识的生态系统服务价值化方法
[J].自然资源学报 ,2008 ,23 (5 ):911 -919 .
[本文引用: 1]
[16]
朱利凯 ,蒙吉军 ,刘洋 ,等 .农牧交错区农牧户生计与土地利用:以内蒙古鄂尔多斯市乌审旗为例
[J].北京大学学报(自然科学版) ,2011 ,47 (1 ):133 -140 .
[本文引用: 1]
[17]
李靖 ,廖和平 .区域贫困农户生计能力与生态环境的关系:以重庆市16个区县为例
[J].中国农业资源与区划 ,2018 ,39 (9 ):175 -182 .
[本文引用: 1]
[18]
刘铮瑶 ,董治宝 ,刘永林 ,等 .毛乌素沙地沙产业发展条件
[J].中国沙漠 ,2018 ,38 (4 ):881 -888 .
[本文引用: 1]
[19]
Raworth K .Why it's time for doughnut economics
[J].IPPR Progressive Review ,2017 ,24 (3 ):216 -222 .
[本文引用: 1]
[20]
Fodha M , Zaghdoud O .Economic growth and pollutant emissions in Tunisia :an empirical analysis of the environmental Kuznets Curve
[J].Energy Policy ,2010 ,38 (2 ):1150 -1156 .
[本文引用: 1]
[21]
刘志民 ,余海滨 .“山水林田湖草沙生命共同体”理念下的科尔沁沙地生态治理
[J].中国沙漠 ,2022 ,42 (1 ):34 -40 .
[本文引用: 1]
Evolution of natural and social science interactions in global change research programs
1
2013
... 土地沙化急剧缩减着沙区可利用土地面积[1 ] ,严重影响沙区生态、经济乃至人类的可持续发展[2 -3 ] .库伦生态经济圈建设是广大农牧民群众在家庭承包经营基础上,致力于构建草-林-畜-农-产-储-销一体化的循环经济生态产业链,以实现区域小农牧户和现代农牧业高质量发展为目标的生态经济建设.生态圈自成体系、相互嵌套、网状联通构成户、村(嘎查)、镇(苏木)三级系统,高效防治沙漠化,形成可持续的生态圈集群模式,以习近平生态文明思想为指引,坚持“生态产业化、产业生态化”作为沙地生态修复的重要举措.当前国内外对库伦的研究主要在草库伦分类上(按经济用途、时空发展等),而对沙区现有库伦生态结构、经济效益和农牧民行为及其之间关系研究较少,库伦生态经济圈产业链的构建及优化的基础理论研究亟待加强. ...
沙化区生态移民的沙化感知、社会影响和适应性策略
1
2020
... 土地沙化急剧缩减着沙区可利用土地面积[1 ] ,严重影响沙区生态、经济乃至人类的可持续发展[2 -3 ] .库伦生态经济圈建设是广大农牧民群众在家庭承包经营基础上,致力于构建草-林-畜-农-产-储-销一体化的循环经济生态产业链,以实现区域小农牧户和现代农牧业高质量发展为目标的生态经济建设.生态圈自成体系、相互嵌套、网状联通构成户、村(嘎查)、镇(苏木)三级系统,高效防治沙漠化,形成可持续的生态圈集群模式,以习近平生态文明思想为指引,坚持“生态产业化、产业生态化”作为沙地生态修复的重要举措.当前国内外对库伦的研究主要在草库伦分类上(按经济用途、时空发展等),而对沙区现有库伦生态结构、经济效益和农牧民行为及其之间关系研究较少,库伦生态经济圈产业链的构建及优化的基础理论研究亟待加强. ...
Recent increasing trend in dust frequency over Mongolia and Inner Mongolia regions and its association with climate and surface condition change
1
2011
... 土地沙化急剧缩减着沙区可利用土地面积[1 ] ,严重影响沙区生态、经济乃至人类的可持续发展[2 -3 ] .库伦生态经济圈建设是广大农牧民群众在家庭承包经营基础上,致力于构建草-林-畜-农-产-储-销一体化的循环经济生态产业链,以实现区域小农牧户和现代农牧业高质量发展为目标的生态经济建设.生态圈自成体系、相互嵌套、网状联通构成户、村(嘎查)、镇(苏木)三级系统,高效防治沙漠化,形成可持续的生态圈集群模式,以习近平生态文明思想为指引,坚持“生态产业化、产业生态化”作为沙地生态修复的重要举措.当前国内外对库伦的研究主要在草库伦分类上(按经济用途、时空发展等),而对沙区现有库伦生态结构、经济效益和农牧民行为及其之间关系研究较少,库伦生态经济圈产业链的构建及优化的基础理论研究亟待加强. ...
牧区风沙区水土流失与草库伦建设
1
2003
... “库伦”起初是用铁丝网、土墙等把一定范围或面积的沙区草场围圈起来,进行封闭培育,也称“草库伦”,后又根据沙地斑块状荒漠化分布的特征和农牧户分散居住的特点,农牧民围绕住所,在外围封禁沙地,植树造林防风固沙,在圈内水分条件较好的滩地(或丘间地)种植粮食蔬菜作物以及饲草料,饲养一定数量的羊、牛等牲畜,使库伦逐渐成为一个小尺度的农林牧复合生态经济系统[4 -6 ] .近几十年来,沙区耕地与沙地也大量转变为林地和草地,使依附在土地上的农牧民数量减少,劳动力得到释放,不同库伦生态圈的农牧户生计方式逐渐多元化,并衍生蒙元文化旅游与库伦经济等生态产业,使库伦逐渐成为一个小尺度草-林-畜-农-产一体化的循环库伦生态经济圈[7 ] .库伦生态经济圈作为沙地生态治理的政策实施基本单元对区域生态修复起到了至关重要的作用,不仅能改善周边生态环境、提高植被覆盖率,而且对发展农牧业生产、促进农牧结构调整、增加农牧民收入、实现生态保护和经济发展至关重要[8 -10 ] .农牧户作为禁牧政策的主要参与者,他们在政策导向下的适应行为不仅影响着其生活水平,更影响着地区禁牧绩效和社会经济的可持续发展[11 -12 ] .因此,认识库伦生态经济圈,对高效防治沙漠化、保护生物多样性,提高农牧户生产生活水平和促进区域经济可持续发展具有重要的指示意义. ...
农林复合经营:中国生态农业发展的有效模式
1
2015
... “库伦”起初是用铁丝网、土墙等把一定范围或面积的沙区草场围圈起来,进行封闭培育,也称“草库伦”,后又根据沙地斑块状荒漠化分布的特征和农牧户分散居住的特点,农牧民围绕住所,在外围封禁沙地,植树造林防风固沙,在圈内水分条件较好的滩地(或丘间地)种植粮食蔬菜作物以及饲草料,饲养一定数量的羊、牛等牲畜,使库伦逐渐成为一个小尺度的农林牧复合生态经济系统[4 -6 ] .近几十年来,沙区耕地与沙地也大量转变为林地和草地,使依附在土地上的农牧民数量减少,劳动力得到释放,不同库伦生态圈的农牧户生计方式逐渐多元化,并衍生蒙元文化旅游与库伦经济等生态产业,使库伦逐渐成为一个小尺度草-林-畜-农-产一体化的循环库伦生态经济圈[7 ] .库伦生态经济圈作为沙地生态治理的政策实施基本单元对区域生态修复起到了至关重要的作用,不仅能改善周边生态环境、提高植被覆盖率,而且对发展农牧业生产、促进农牧结构调整、增加农牧民收入、实现生态保护和经济发展至关重要[8 -10 ] .农牧户作为禁牧政策的主要参与者,他们在政策导向下的适应行为不仅影响着其生活水平,更影响着地区禁牧绩效和社会经济的可持续发展[11 -12 ] .因此,认识库伦生态经济圈,对高效防治沙漠化、保护生物多样性,提高农牧户生产生活水平和促进区域经济可持续发展具有重要的指示意义. ...
Resident perceptions of livelihood impacts arising from the Kozlldag National Park,Turkey
1
2018
... “库伦”起初是用铁丝网、土墙等把一定范围或面积的沙区草场围圈起来,进行封闭培育,也称“草库伦”,后又根据沙地斑块状荒漠化分布的特征和农牧户分散居住的特点,农牧民围绕住所,在外围封禁沙地,植树造林防风固沙,在圈内水分条件较好的滩地(或丘间地)种植粮食蔬菜作物以及饲草料,饲养一定数量的羊、牛等牲畜,使库伦逐渐成为一个小尺度的农林牧复合生态经济系统[4 -6 ] .近几十年来,沙区耕地与沙地也大量转变为林地和草地,使依附在土地上的农牧民数量减少,劳动力得到释放,不同库伦生态圈的农牧户生计方式逐渐多元化,并衍生蒙元文化旅游与库伦经济等生态产业,使库伦逐渐成为一个小尺度草-林-畜-农-产一体化的循环库伦生态经济圈[7 ] .库伦生态经济圈作为沙地生态治理的政策实施基本单元对区域生态修复起到了至关重要的作用,不仅能改善周边生态环境、提高植被覆盖率,而且对发展农牧业生产、促进农牧结构调整、增加农牧民收入、实现生态保护和经济发展至关重要[8 -10 ] .农牧户作为禁牧政策的主要参与者,他们在政策导向下的适应行为不仅影响着其生活水平,更影响着地区禁牧绩效和社会经济的可持续发展[11 -12 ] .因此,认识库伦生态经济圈,对高效防治沙漠化、保护生物多样性,提高农牧户生产生活水平和促进区域经济可持续发展具有重要的指示意义. ...
西北地区生态保护与高质量发展协同推进的策略和路径
1
2021
... “库伦”起初是用铁丝网、土墙等把一定范围或面积的沙区草场围圈起来,进行封闭培育,也称“草库伦”,后又根据沙地斑块状荒漠化分布的特征和农牧户分散居住的特点,农牧民围绕住所,在外围封禁沙地,植树造林防风固沙,在圈内水分条件较好的滩地(或丘间地)种植粮食蔬菜作物以及饲草料,饲养一定数量的羊、牛等牲畜,使库伦逐渐成为一个小尺度的农林牧复合生态经济系统[4 -6 ] .近几十年来,沙区耕地与沙地也大量转变为林地和草地,使依附在土地上的农牧民数量减少,劳动力得到释放,不同库伦生态圈的农牧户生计方式逐渐多元化,并衍生蒙元文化旅游与库伦经济等生态产业,使库伦逐渐成为一个小尺度草-林-畜-农-产一体化的循环库伦生态经济圈[7 ] .库伦生态经济圈作为沙地生态治理的政策实施基本单元对区域生态修复起到了至关重要的作用,不仅能改善周边生态环境、提高植被覆盖率,而且对发展农牧业生产、促进农牧结构调整、增加农牧民收入、实现生态保护和经济发展至关重要[8 -10 ] .农牧户作为禁牧政策的主要参与者,他们在政策导向下的适应行为不仅影响着其生活水平,更影响着地区禁牧绩效和社会经济的可持续发展[11 -12 ] .因此,认识库伦生态经济圈,对高效防治沙漠化、保护生物多样性,提高农牧户生产生活水平和促进区域经济可持续发展具有重要的指示意义. ...
Economic growth and the environment
1
1995
... “库伦”起初是用铁丝网、土墙等把一定范围或面积的沙区草场围圈起来,进行封闭培育,也称“草库伦”,后又根据沙地斑块状荒漠化分布的特征和农牧户分散居住的特点,农牧民围绕住所,在外围封禁沙地,植树造林防风固沙,在圈内水分条件较好的滩地(或丘间地)种植粮食蔬菜作物以及饲草料,饲养一定数量的羊、牛等牲畜,使库伦逐渐成为一个小尺度的农林牧复合生态经济系统[4 -6 ] .近几十年来,沙区耕地与沙地也大量转变为林地和草地,使依附在土地上的农牧民数量减少,劳动力得到释放,不同库伦生态圈的农牧户生计方式逐渐多元化,并衍生蒙元文化旅游与库伦经济等生态产业,使库伦逐渐成为一个小尺度草-林-畜-农-产一体化的循环库伦生态经济圈[7 ] .库伦生态经济圈作为沙地生态治理的政策实施基本单元对区域生态修复起到了至关重要的作用,不仅能改善周边生态环境、提高植被覆盖率,而且对发展农牧业生产、促进农牧结构调整、增加农牧民收入、实现生态保护和经济发展至关重要[8 -10 ] .农牧户作为禁牧政策的主要参与者,他们在政策导向下的适应行为不仅影响着其生活水平,更影响着地区禁牧绩效和社会经济的可持续发展[11 -12 ] .因此,认识库伦生态经济圈,对高效防治沙漠化、保护生物多样性,提高农牧户生产生活水平和促进区域经济可持续发展具有重要的指示意义. ...
基于农牧民生计资本的干旱区草地适应性管理:以准噶尔北部的富蕴县为例
1
2018
... “库伦”起初是用铁丝网、土墙等把一定范围或面积的沙区草场围圈起来,进行封闭培育,也称“草库伦”,后又根据沙地斑块状荒漠化分布的特征和农牧户分散居住的特点,农牧民围绕住所,在外围封禁沙地,植树造林防风固沙,在圈内水分条件较好的滩地(或丘间地)种植粮食蔬菜作物以及饲草料,饲养一定数量的羊、牛等牲畜,使库伦逐渐成为一个小尺度的农林牧复合生态经济系统[4 -6 ] .近几十年来,沙区耕地与沙地也大量转变为林地和草地,使依附在土地上的农牧民数量减少,劳动力得到释放,不同库伦生态圈的农牧户生计方式逐渐多元化,并衍生蒙元文化旅游与库伦经济等生态产业,使库伦逐渐成为一个小尺度草-林-畜-农-产一体化的循环库伦生态经济圈[7 ] .库伦生态经济圈作为沙地生态治理的政策实施基本单元对区域生态修复起到了至关重要的作用,不仅能改善周边生态环境、提高植被覆盖率,而且对发展农牧业生产、促进农牧结构调整、增加农牧民收入、实现生态保护和经济发展至关重要[8 -10 ] .农牧户作为禁牧政策的主要参与者,他们在政策导向下的适应行为不仅影响着其生活水平,更影响着地区禁牧绩效和社会经济的可持续发展[11 -12 ] .因此,认识库伦生态经济圈,对高效防治沙漠化、保护生物多样性,提高农牧户生产生活水平和促进区域经济可持续发展具有重要的指示意义. ...
Migrant workers' integration in urban China:experiences in employment,social adaptation,and selfidentity
1
2012
... “库伦”起初是用铁丝网、土墙等把一定范围或面积的沙区草场围圈起来,进行封闭培育,也称“草库伦”,后又根据沙地斑块状荒漠化分布的特征和农牧户分散居住的特点,农牧民围绕住所,在外围封禁沙地,植树造林防风固沙,在圈内水分条件较好的滩地(或丘间地)种植粮食蔬菜作物以及饲草料,饲养一定数量的羊、牛等牲畜,使库伦逐渐成为一个小尺度的农林牧复合生态经济系统[4 -6 ] .近几十年来,沙区耕地与沙地也大量转变为林地和草地,使依附在土地上的农牧民数量减少,劳动力得到释放,不同库伦生态圈的农牧户生计方式逐渐多元化,并衍生蒙元文化旅游与库伦经济等生态产业,使库伦逐渐成为一个小尺度草-林-畜-农-产一体化的循环库伦生态经济圈[7 ] .库伦生态经济圈作为沙地生态治理的政策实施基本单元对区域生态修复起到了至关重要的作用,不仅能改善周边生态环境、提高植被覆盖率,而且对发展农牧业生产、促进农牧结构调整、增加农牧民收入、实现生态保护和经济发展至关重要[8 -10 ] .农牧户作为禁牧政策的主要参与者,他们在政策导向下的适应行为不仅影响着其生活水平,更影响着地区禁牧绩效和社会经济的可持续发展[11 -12 ] .因此,认识库伦生态经济圈,对高效防治沙漠化、保护生物多样性,提高农牧户生产生活水平和促进区域经济可持续发展具有重要的指示意义. ...
毛乌素沙地1990-2014年景观格局变化及驱动力
1
2017
... 毛乌素沙地地处内蒙古、陕西、宁夏的交界地带,属荒漠草原-干草原-森林草原的过渡带,是中国四大沙地之一,具有中温带大陆性季风气候的特点,沙漠化敏感性高[13 ] .年平均气温6.10~8.15 ℃,多年平均降水量在沙区东南部为400~440 mm,向西逐渐递减,约为200 mm,7—9月集中全年降水量的60%~70%.本文选择毛乌素沙地库伦生态圈分布的典型区域——内蒙古鄂托克前旗为研究区(图1 ),本旗区域涉及昂素、城川、敖勒召其、上海庙4个镇、68个嘎查、17个社区,户籍人口8.1万人,是一个以蒙古族为主体、汉族占多数、农牧业为基础、工业占主导的少数民族聚居区.库伦生态圈具有显著的区域差异,如上海庙镇辖区以荒漠草原景观为主,在地势低洼、水源丰富的区域散布房舍、农地及防护林,形成典型的散生型林草库伦;在城川及敖勒召其镇村庄较为聚集、人口集中、农地面积大,区域农牧复合型库伦分布较多;昂素镇区域为早期沙地飞播造林区,灌木林草植被恢复较好、覆盖度高、林草资源丰富,形成典型的林草库伦.沙区户库伦生态资源、生产经营与消费方式,以及对生态环境认知上的差异使得区域农牧户经济收入及生活水平具有显著的差异性.区域独特的库伦资源为本研究提供了理想的调研基地. ...
The value of the world's ecosystem services and natural capital
1
1997
... 本研究所使用的遥感影像来自于https://www.resdc.cn/ ,参照中国土地利用现状分类体系,结合鄂托克前旗未利用地中多为沙地的实际情况,将未利用地分为沙地与其他未利用地两类,总体将土地利用现状分类体系调整为耕地、林地、草地、水域、建设用地、沙地及其他未利用地共7类.以“中国生态系统单位面积生态系统服务价值当量因子表”为基础[14 -15 ] ,假设建设用地生态系统价值系数为0,将耕地、林地与农田、森林的生态系统价值系数一一对应,沙地与其他未利用地与荒漠的生态系统价值系数对应.基于鄂托克前旗农业生产情况,采用研究区农田单位面积粮食产量与全国农田单位面积粮食产量的比值作为地区修订系数,将“中国生态系统单位面积生态服务价值当量表”修订为“鄂托克前旗生态系统单位面积生态服务价值当量表”[16 -17 ] .2020年鄂托克前旗平均粮食产量为4 642.36 kg·hm-2 ,粮食均价为2.87元·kg-1 .根据式(1) 计算并得到鄂托克前旗土地单位面积生态系统服务价值(表1 ). ...
一个基于专家知识的生态系统服务价值化方法
1
2008
... 本研究所使用的遥感影像来自于https://www.resdc.cn/ ,参照中国土地利用现状分类体系,结合鄂托克前旗未利用地中多为沙地的实际情况,将未利用地分为沙地与其他未利用地两类,总体将土地利用现状分类体系调整为耕地、林地、草地、水域、建设用地、沙地及其他未利用地共7类.以“中国生态系统单位面积生态系统服务价值当量因子表”为基础[14 -15 ] ,假设建设用地生态系统价值系数为0,将耕地、林地与农田、森林的生态系统价值系数一一对应,沙地与其他未利用地与荒漠的生态系统价值系数对应.基于鄂托克前旗农业生产情况,采用研究区农田单位面积粮食产量与全国农田单位面积粮食产量的比值作为地区修订系数,将“中国生态系统单位面积生态服务价值当量表”修订为“鄂托克前旗生态系统单位面积生态服务价值当量表”[16 -17 ] .2020年鄂托克前旗平均粮食产量为4 642.36 kg·hm-2 ,粮食均价为2.87元·kg-1 .根据式(1) 计算并得到鄂托克前旗土地单位面积生态系统服务价值(表1 ). ...
农牧交错区农牧户生计与土地利用:以内蒙古鄂尔多斯市乌审旗为例
1
2011
... 本研究所使用的遥感影像来自于https://www.resdc.cn/ ,参照中国土地利用现状分类体系,结合鄂托克前旗未利用地中多为沙地的实际情况,将未利用地分为沙地与其他未利用地两类,总体将土地利用现状分类体系调整为耕地、林地、草地、水域、建设用地、沙地及其他未利用地共7类.以“中国生态系统单位面积生态系统服务价值当量因子表”为基础[14 -15 ] ,假设建设用地生态系统价值系数为0,将耕地、林地与农田、森林的生态系统价值系数一一对应,沙地与其他未利用地与荒漠的生态系统价值系数对应.基于鄂托克前旗农业生产情况,采用研究区农田单位面积粮食产量与全国农田单位面积粮食产量的比值作为地区修订系数,将“中国生态系统单位面积生态服务价值当量表”修订为“鄂托克前旗生态系统单位面积生态服务价值当量表”[16 -17 ] .2020年鄂托克前旗平均粮食产量为4 642.36 kg·hm-2 ,粮食均价为2.87元·kg-1 .根据式(1) 计算并得到鄂托克前旗土地单位面积生态系统服务价值(表1 ). ...
区域贫困农户生计能力与生态环境的关系:以重庆市16个区县为例
1
2018
... 本研究所使用的遥感影像来自于https://www.resdc.cn/ ,参照中国土地利用现状分类体系,结合鄂托克前旗未利用地中多为沙地的实际情况,将未利用地分为沙地与其他未利用地两类,总体将土地利用现状分类体系调整为耕地、林地、草地、水域、建设用地、沙地及其他未利用地共7类.以“中国生态系统单位面积生态系统服务价值当量因子表”为基础[14 -15 ] ,假设建设用地生态系统价值系数为0,将耕地、林地与农田、森林的生态系统价值系数一一对应,沙地与其他未利用地与荒漠的生态系统价值系数对应.基于鄂托克前旗农业生产情况,采用研究区农田单位面积粮食产量与全国农田单位面积粮食产量的比值作为地区修订系数,将“中国生态系统单位面积生态服务价值当量表”修订为“鄂托克前旗生态系统单位面积生态服务价值当量表”[16 -17 ] .2020年鄂托克前旗平均粮食产量为4 642.36 kg·hm-2 ,粮食均价为2.87元·kg-1 .根据式(1) 计算并得到鄂托克前旗土地单位面积生态系统服务价值(表1 ). ...
毛乌素沙地沙产业发展条件
1
2018
... 生态与经济协调发展成为沙地未来发展过程中所面临的重要问题[18 ] .我们根据Raworth[19 ] 描述的相关原理绘制了库伦圈的生态-经济关联(图7 ).山水林田湖草沙是人类赖以生存的生态环境资源禀赋和活动空间,为人类生产生活提供基本的物质需求,但同时也受到人类生产经营活动的影响.就库伦生态经济圈而言,经济发展不足或生态环境过载时都无法满足库伦生态经济圈可持续发展的要求.库伦生态过载时,林草资源不合理开发导致荒漠化面积扩大,荒漠化程度加剧,进而阻碍库伦经济稳定发展;库伦经济发展不足时,生产经营活动无法满足农牧户生计需求,林草资源将被过度开发利用,势必破坏库伦圈生态环境稳定性,恶性循环将周而复始[20 -21 ] .因此,坚持生态优先、绿色发展的理念,牢固树立经济和生态相互依存的可持续发展观念,合理调整库伦圈的生产经营结构,不断提高农牧民的生态意识认知,才能更好地促进沙地生态有序持续发展. ...
Why it's time for doughnut economics
1
2017
... 生态与经济协调发展成为沙地未来发展过程中所面临的重要问题[18 ] .我们根据Raworth[19 ] 描述的相关原理绘制了库伦圈的生态-经济关联(图7 ).山水林田湖草沙是人类赖以生存的生态环境资源禀赋和活动空间,为人类生产生活提供基本的物质需求,但同时也受到人类生产经营活动的影响.就库伦生态经济圈而言,经济发展不足或生态环境过载时都无法满足库伦生态经济圈可持续发展的要求.库伦生态过载时,林草资源不合理开发导致荒漠化面积扩大,荒漠化程度加剧,进而阻碍库伦经济稳定发展;库伦经济发展不足时,生产经营活动无法满足农牧户生计需求,林草资源将被过度开发利用,势必破坏库伦圈生态环境稳定性,恶性循环将周而复始[20 -21 ] .因此,坚持生态优先、绿色发展的理念,牢固树立经济和生态相互依存的可持续发展观念,合理调整库伦圈的生产经营结构,不断提高农牧民的生态意识认知,才能更好地促进沙地生态有序持续发展. ...
Economic growth and pollutant emissions in Tunisia :an empirical analysis of the environmental Kuznets Curve
1
2010
... 生态与经济协调发展成为沙地未来发展过程中所面临的重要问题[18 ] .我们根据Raworth[19 ] 描述的相关原理绘制了库伦圈的生态-经济关联(图7 ).山水林田湖草沙是人类赖以生存的生态环境资源禀赋和活动空间,为人类生产生活提供基本的物质需求,但同时也受到人类生产经营活动的影响.就库伦生态经济圈而言,经济发展不足或生态环境过载时都无法满足库伦生态经济圈可持续发展的要求.库伦生态过载时,林草资源不合理开发导致荒漠化面积扩大,荒漠化程度加剧,进而阻碍库伦经济稳定发展;库伦经济发展不足时,生产经营活动无法满足农牧户生计需求,林草资源将被过度开发利用,势必破坏库伦圈生态环境稳定性,恶性循环将周而复始[20 -21 ] .因此,坚持生态优先、绿色发展的理念,牢固树立经济和生态相互依存的可持续发展观念,合理调整库伦圈的生产经营结构,不断提高农牧民的生态意识认知,才能更好地促进沙地生态有序持续发展. ...
“山水林田湖草沙生命共同体”理念下的科尔沁沙地生态治理
1
2022
... 生态与经济协调发展成为沙地未来发展过程中所面临的重要问题[18 ] .我们根据Raworth[19 ] 描述的相关原理绘制了库伦圈的生态-经济关联(图7 ).山水林田湖草沙是人类赖以生存的生态环境资源禀赋和活动空间,为人类生产生活提供基本的物质需求,但同时也受到人类生产经营活动的影响.就库伦生态经济圈而言,经济发展不足或生态环境过载时都无法满足库伦生态经济圈可持续发展的要求.库伦生态过载时,林草资源不合理开发导致荒漠化面积扩大,荒漠化程度加剧,进而阻碍库伦经济稳定发展;库伦经济发展不足时,生产经营活动无法满足农牧户生计需求,林草资源将被过度开发利用,势必破坏库伦圈生态环境稳定性,恶性循环将周而复始[20 -21 ] .因此,坚持生态优先、绿色发展的理念,牢固树立经济和生态相互依存的可持续发展观念,合理调整库伦圈的生产经营结构,不断提高农牧民的生态意识认知,才能更好地促进沙地生态有序持续发展. ...