荒漠生物结皮碳交换对模拟增温和降雨变化的响应
1.
2.
Carbon exchange of desert soil crust in response to simulated warming and changes of precipitation
1.
2.
通讯作者:
收稿日期: 2023-11-27 修回日期: 2024-01-16
基金资助: |
|
Received: 2023-11-27 Revised: 2024-01-16
作者简介 About authors
贺祯子(1996—),女,甘肃兰州人,硕士研究生,主要从事土壤微生物生态学方面的研究E-mail:
关键词:
Keywords:
本文引用格式
贺祯子, 徐冰鑫, 刘文静, 胡宜刚.
He Zhenzi, Xu Bingxin, Liu Wenjing, Hu Yigang.
0 引言
荒漠生物结皮的固碳量与碳排放量和结皮类型、降水事件和温度密切相关[16-18]。通常情况下,处于演替后期的藓结皮年固碳量明显高于早期的藻结皮[16]。目前,许多学者研究了模拟增温、不同降水量、降水频率等单一环境因子对荒漠生
本研究以腾格里沙漠东南缘天然荒漠的两类典型生物结皮(藻结皮与藓结皮)覆盖的土壤为研究对象,采用开顶式生长室(OTC)模拟气候变暖,以人为添加不同降水量模拟降水变化,开展野外定位试验,通过对总初级生产力、生态系统呼吸和净生态系统碳交换量的研究,评估增温和降水变化及其互作效应对荒漠生物结皮碳循环关键过程的影响,为预测未来全球变化情境下荒漠生态系统碳收支及其生态效应提供科学依据。
1 材料与方法
1.1 研究区概况
研究区位于宁夏回族自治区中国科学院沙坡头沙漠研究试验站(简称沙坡头站)以西30 km的一碗泉天然植被区(37°29′N,104°25′E)。该地区位于腾格里沙漠东南缘,属于草原化荒漠和荒漠化草原的过渡带,海拔1 339 m,年平均气温10.6 ℃,多年平均降水量为186 mm,降水主要在5—9月,年蒸发量约为2 900 mm。土壤基质为松散贫瘠的风沙土。生态系统类型为沙生灌木和半灌木与生物结皮镶嵌分布的典型荒漠,主要优势灌木和半灌木为柠条(Caraganakorshinskii)、油蒿(Artemisia ordosica)和狭叶锦鸡儿(Caragana stenophylla),优势草本植物包括刺沙蓬(Salsola ruthenica)、小画眉草(Eragrostis minor)和茵陈蒿(Artemisia capillaris)。生物结
1.2 试验设计
2014年6月,用直径为12 cm的PVC管采集藓结皮和藻结皮覆盖的12个10 cm深的原状土(2个处理×2种结皮类型×3个重复),带回沙坡头站实验室后放置30天,以保证土壤初始水分含量基本一致。试验以开顶式生长室(OTC)模拟增温,OTC边长为1.3 m、高2 m的等边八边体[14],设置增温(W)和不增温(NW)两个温度处理。根据研究区近10年的降水事件,设置2、5、8、13、20 mm共5个降水梯度,分别代表小降水事件(2、5 mm)、中降水事件(8 mm)以及大降水事件(13和20 mm)。分别在OTC内部和外部搭建透明遮雨棚(长×宽×高=1 m×1 m×1.2 m),将所有样品置于遮雨棚下以避免自然降水差异的干扰。采用人工定量均匀喷洒蒸馏水模拟降水量变化,在每次模拟降水前用称重法(精度0.01)称取原状土质量,待土壤含水量接近初始值后进行模拟降水。OTC内、外分别安装了两套HOBO U30微型气象站(Onset Computer Corporation,Cape Cod,USA),每30 min测定气温和10 cm土壤湿度。
利用Li-6400(Li-cor,Inc.,美国)连接自制的透明叶室监测生物结皮的净生态系统碳交换量(NEE)。然后,用遮光布将叶室完全遮严避光,测定其生态系统呼吸(ER)。测定时间为09:00—12:00,每24 h测定1次,连续监测1个月。总初级生产力(GPP)为ER与NEE之差,即GPP=ER-NEE。用GPP、ER和NEE与温度间的指数方程系数计算其温度敏感性(Q10)[26]。
1.3 数据处理
采用SPSS 16.0(SPSS,Chicago,美国)一般线性模型(General Linear Model)中的多因素方差分析(Multivariate ANOVA)法分析增温和降水量对GPP、ER和NEE的影响。采用One-way ANOVA和LSD法检验不同处理GPP、ER和NEE的显著性差异,显著和极显著性差异水平设定为P<0.05和P<0.001。
2 结果与分析
2.1 温度和湿度
试验期内增温处理比不增温处理的平均气温增加了2.05 ℃(图1)。不增温处理下,藓结皮、藻结皮10 cm土壤平均含水量分别为2.24、2.29 m3·m-3,增温分别降低了0.03、0.40 m3·m-3的藓结皮和藻结皮土壤平均含水量,表明增温加速了生物结皮的干旱过程,且藻结皮比藓结皮更为明显。
图1
图1
增温(W)和不增温(NW)处理气温和10 cm土壤湿度
Fig.1
The air temperature and soil moisture at 10 cm depth under warming (W) and no-warming (NW) treatment
2.2 模拟增温和降雨变化下总初级生产力、生态系统呼吸和净生态系统碳交换量
多因素方差分析结果表明,增温仅显著影响(P<0.05)藓结皮NEE,降水量极显著(P<0.001)影响两类生物结皮的GPP、ER和NEE,增温与降水量之间没有交互作用(表1)。
表1 增温和降水影响生物结皮总初级生产力(GPP)、生态系统呼吸(ER)和净生态系统碳交换量(NEE)的多因素方差分析
Table 1
生物结皮 类型 | 因素 | GPP | ER | NEE | |||
---|---|---|---|---|---|---|---|
F | P | F | P | F | P | ||
藓结皮 | 增温(W) | 0.968 | 0.327 | 0.265 | 0.608 | 7.632 | 0.007 |
降水量(P) | 6.544 | <0.001 | 2.542 | 0.042 | 6.888 | <0.001 | |
W×P | 0.400 | 0.808 | 0.018 | 0.999 | 0.734 | 0.571 | |
藻结皮 | 增温(W) | 3.087 | 0.081 | 2.694 | 0.103 | 1.355 | 0.246 |
降水量(P) | 13.151 | <0.001 | 6.022 | <0.001 | 14.666 | <0.001 | |
W×P | 0.749 | 0.561 | 0.901 | 0.465 | 0.733 | 0.571 |
模拟降水后,生物结皮的GPP和ER迅速达到最高,并随着水分散失而快速下降。不增温处理2、5、8、13、20 mm降水下藓结皮、藻结皮的平均GPP分别为0.22~1.34、0.18~1.38 μmol·m-2·s-1,平均ER分别为0.64~1.54、0.40~0.91 μmol·m-2·s-1。大多数情况下,增温显著降低了藓结皮的GPP,而对藻结皮没有显著影响。相反,增温通常增加了两类生物结皮的ER,降水后期藓结皮和降水初期藻结皮的ER在增温和不增温处理间差异显著(P<0.05,图2)。然而,增温对5个降水梯度下的藓结皮与藻结皮平均GPP和ER无显著影响。NEE对降水的响应因生物结皮类型和降水量的不同而异。中、高降水强度(8~20 mm)下,藓结皮NEE在降水后呈上升趋势,而藻结皮保持基本稳定或呈下降趋势(图2)。5个降水强度下不增温处理的藓结皮和藻结皮平均NEE分别为-0.131~-0.765、-0.014~0.471 μmol·m-2·s-1,增温在大多数情况下显著降低了藓结皮的NEE,而对藻结皮没有显著影响(13 mm除外)。
图2
图2
不同降水量下增温(W)和不增温(NW)处理的生物结皮总初级生产力(GPP)、生态系统呼吸(ER)和净生态系统碳交换量(NEE)
Fig.2
Gross primary productivity (GPP), ecosystem respiration (ER) and net ecosystem exchange (NEE) of crustal soils under warming (W) and non-warming (NW) at different precipitation gradients
增温对累积GPP、ER和NRR的影响因生物结皮类型和降水量的不同而异(图3)。增温使20 mm降水藓结皮和5 mm降水藻结皮的累积GPP分别显著增加了16.1%和39.5%。增温在大多数降水量下均增加了两类生物结皮的累积ER(3.5~46.9%),但仅5 mm下的藓结皮及5 mm、8 mm和13 mm下的藻结皮在增温和不增温处理间差异显著(P<0.05)。增温显著降低了2、8、20 mm降水的藓结皮累积NEE,而对藻结皮累积NEE没有显著影响。
图3
图3
不同降水量下增温(W)和不增温(NW)处理的生物结皮累积总初级生产力(GPP)、生态系统呼吸(ER)和净生态系统碳交换量(NEE)
Fig.3
The accumulative gross primary productivity (GPP), ecosystem respiration (ER) and net ecosystem exchange (NEE) of crustal soils under warming (W) and non-warming (NW) at different precipitation gradients
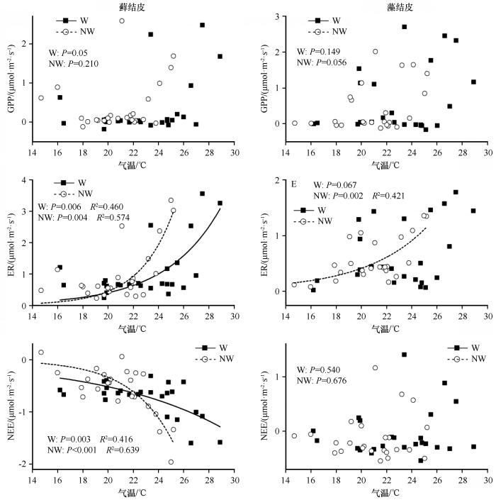
2.3 GPP、ER、NEE与温度、湿度的关系
藓结皮ER和NEE与气温呈极显著(P<0.01)指数关系,温度分别解释了46.0%~57.4%和41.6%~63.9%的ER和NEE变化,而GPP与气温并不相关。不增温处理藻结皮ER与温度显著(P<0.01)指数正相关。增温使藓结皮的ER(Q10=0.37)和NEE(Q10=0.30)的温度敏感性分别降低了37.5%和66.7%(图4)。藓结皮GPP和ER与土壤湿度线性正相关,其NEE却与湿度负线性相关,土壤湿度解释了藓结皮GPP、ER和NEE变化的31.8%~65.9%。不增温处理的藻结皮GPP和NEE以及增温处理的藻结皮ER与土壤湿度显著(P<0.05)正线性相关,土壤湿度解释了23.3%~27.4%的GPP、ER、NEE变化(图5)。
图4
图4
生物结皮GPP、ER和NEE与气温的关系
Fig.4
The correlations of GPP, ER and NEE with air temperature for different crustal soils
图5
图5
生物结皮GPP、ER和NEE与土壤湿度的关系
Fig.5
The correlations of GPP, ER and NEE with soil moisture for different crustal soils
3 讨论
3.1 增温对生物结皮碳交换过程的影响及潜在机制
生物结皮是干旱半干旱陆地生态系统碳循环的重要组成部分[27]。荒漠地区的生物结皮通常由早期的蓝藻结皮逐渐向地衣结皮和藓结皮演替[28],并伴随着土壤养分水平、隐花植物和微生物的多样性及生物量的增加[12,29]。我们的研究结果表明,增温与不增温条件下藓结皮与藻结皮的GPP无显著差异,这与毛乌素沙地藓结皮光合速率是藻结皮2倍的研究报道并不一致[30]。这可能是试验期内的高温导致结皮层水分迅速蒸发,从而缩短了其有效光合时间。藓结皮有更高的隐花植物、土壤微生物生物量和更为丰富的碳源[31],自养[14]和异养呼吸[29]均高于藻结皮,特别是在中、高降水强度下,藓结皮比藻结皮有更高的呼吸碳排放(图3),其更高的碳分解相关功能基因也为此提供了佐证[12]。
除了藓结皮NEE外,增温对两类生物结皮的GPP、ER和NEE没有显著影响(表1)。增温加速了土壤水分的散失,缩短了其有效光合时间,由于藻结皮层更薄,其持水力不及藓结皮,水分散失更加强烈(图1)。增温条件下藓结皮的GPP显著降低(图2),表明藓结皮作为演替后期的结皮类型,未来的全球变暖将可能更容易限制其光合固碳潜力。相比而言,藻结皮恢复光合作用所需的降水量更少,增温也会刺激其光合效率,从而促进其光合固碳有所增加(图3)。生物结皮的ER来源于隐花植物的自养呼吸和异养呼吸。虽然增温往往会通过刺激土壤酶的活性而加快有机质的分解[32],从而促进土壤微生物呼吸致使碳排放增加,但荒漠地区有机质的分解速率和土壤养分有效性还受水分的强烈限制[33]。增温不仅促使隐花植物更快地进入休眠状态,限制其自养呼吸的碳排放,还降低了土壤水分的有效性[34],从而抑制了土壤微生物的活性。因此,增温对生物结皮呼吸碳排放的净效应取决于其对呼吸的刺激作用和水分有效性的限制作用之间的相互折中,但在大多数情况下(除13 mm藻结皮),增温促使呼吸碳排放增加,表明未来全球气候变暖可能会通过刺激荒漠生物结皮-土壤生态系统呼吸而引发碳排放。
3.2 降水量对生物结皮碳交换过程的影响及潜在机制
生物结皮属于典型的变水植物,在水分低于一定的阈值时处于代谢不活跃的休眠状态,而在降水后迅速恢复生理活性[35-37]。我们发现,降水量极显著(P<0.001)影响两种生物结皮的GPP、ER和NEE,而增温和降水量之间无交互作用(表1)。无论降水强度如何,生物结皮-土壤系统GPP和ER均在模拟降水后达到最大值,表现为光合固碳和呼吸碳排放的脉冲现象(图2),这主要源于恢复活性的隐花植物的光合固碳和自养呼吸以及异养呼吸的迅速增加[35,37-39]。两类生物结皮的累积GPP和ER随着降水量的增加而线性增加,表明降水量越大,生物结皮的光合和呼吸作用的持续时间就越长。尽管降水会引发生物结皮较强的光合和呼吸作用,但在炎热的夏季,土壤水分会快速散失,水分可利用性的下降也致使GPP和ER迅速下降(图2),这些结果表明水分有效性对荒漠生物结皮的碳固定和排放具有决定性作用。
3.3 生物结皮碳交换温度敏感性
温度敏感性能指示生物结皮碳交换关键过程响应全球气候变化的敏感程度,目前已被广泛应用于预测各类生态系统的碳收支研究中[40-41]。我们的试验结果发现,不增温条件下藻结皮ER的温度敏感性(Q10=0.21)明显低于藓结皮(Q10=0.37),且增温降低了藓结皮ER和NEE的温度敏感性,这一结果支持了已有的研究发现[42-43],表明藓结皮的光合固碳和呼吸碳排放对温度的适应性[44]。一方面,增温引起的水分有效性降低可能会通过抑制土壤微生物活性而间接降低自养和异养呼吸,导致ER对增温的响应逐渐减弱。另一方面,除温度和水分外,呼吸作用还受土壤微生物活性、酶活性、呼吸底物等诸多因子的影响。我们推测,土壤中呼吸底物的消耗极有可能是藓结皮ER温度敏感性下降的主要原因。值得注意的是,由于两类生物结
4 结论
模拟增温和降水变化不同程度地影响荒漠生物结皮-土壤系统的碳交换,GPP、ER和NEE主要受降水量变化的影响,其碳交换速率与土壤湿度线性相关,增温削弱了土壤湿度对藻结皮GPP和NEE的促进作用。增温降低了藓结皮累积GPP,同时也增加了其累积ER,净效应表现为累积NEE增加,但增温对藻结皮累积NEE没有显著影响。增温还降低了藓结皮ER和NEE的温度敏感性,一定程度上表现为对温度的适应性。这些结果表明,全球变暖背景下荒漠藓结皮的碳汇潜力可能会有所增加,从而对全球变暖产生负反馈,但这种负反馈效应可能会随时间的延长而减弱,也需要长期试验数据的进一步验证。然而,增温对藻结皮净碳交换量没有显著影响。因此,准确预测未来全球气候变化情景下荒漠生态系统的碳收支,需要考虑不同生物结皮类型碳交换关键过程的响应差异。
参考文献
Climate Change 2021:The Physical Science Basis-Summary for Policymakers.Contribution of Working Group I to the Sixth Assess-ment Report of the Intergovernmental Panel on Climate Change
[R].
Accelerated dryland expansion under climate change
[J].
Global warming and changes in drought
[J].
Quantifying global soil carbon losses in response to warming
[J].
Biological soil crusts decrease erodibility by modifying inherent soil properties on the Loess Plateau,China
[J].
Biological soil crusts accelerate the nitrogen cycle through large NO and HONO emissions in drylands
[J].
Biological soil crusts determine the germination and growth of two exotic plants
[J].
Ants mediate soil water in arid desert ecosystems: mitigating rainfall interception induced by biological soil crusts?
[J].
Shifts in soil microbial community functional gene structure across a 61-year desert revegetation chronosequence
[J].
Reference for different sensitivities of greenhouse gases effluxes to warming climate among types of desert biological soil crust
[J].
Biological soil crust microsites are the main contributor to soil respiration in a semiarid ecosystem
[J].
Carbon fixation by biological soil crusts following revegetation of sand dunes in arid desert regions of China:a four-year field study
[J].
Soil CO2 exchange controlled by the interaction of biocrust successional stage and environmental variables in two semiarid ecosystems
[J].
Soil respiration sensitivities to water and temperature in a revegetated desert
[J].
Carbon flux in deserts depends on soil cover type: a case study in the Gurbantunggute desert,North China
[J].
Evolution of soil respiration depends on biological soil crusts across a 50-year chronosequence of desert revegetation
[J].
Effects of warming and rainfall pulses on soil respiration in a biological soil crust-dominated desert ecosystem
[J].
Aridity-driven shift in biodiversity-soil multifunctionality relationships
[J].
The effects of sand stabilization and revegetation on cryptogam species diversity and soil fertility in the Tengger Desert,Northern China
[J].
Temperature sensitivity of soil carbon decompositi on and feedbacks to climate change
[J].
Biological soil crusts:structure,function,and management
[J].
The seasonal and successional variations of carbon release from biological soil crust-covered soil
[J].
The mechanism of soil nitrogen transformation under different biocrusts to warming and reduced precipitation:from microbial functional genes to enzyme activity
[J].
Effect of warming and grazing on litter mass loss and temperature sensitivity of litter and dung mass loss on the Tibetan plateau
[J].
Warming and increased precipitation frequency on the Colorado Plateau:implications for biological soil crusts and soil processes
[J].
Biological soil crusts as an organizing principle in drylands
[J].
Observations of net soil exchange of CO2 in a dryland show experimental warming increases carbon losses in biocrust soils
[J].
Photosynthesis and water relations of lichen soil crusts:field measurements in the coastal fog zone of the Namib Desert
[J].
Pathways regulating decreased soil respiration with warming in a biocrust-dominated dryland
[J].
Soil respiration at five sites along the Kalahari Transect:effects of temperature,precipitation pulses and biological soil crust cover
[J].
Temperature sensitivity of soil carbon decomposition and feedbacks to climate change
[J].
Increased precipitation offsets the negative effect of warming on plant biomass and ecosystem respiration in a Tibetan alpine steppe
[J].
Acclimatization of soil respiration to warming in a tall grass prairie
[J].
/
〈 |
|
〉 |
