柳格高速公路沿线风沙环境特征
1.
2.
Environmental characteristics of wind-sand along the Liuyuan-Golmud Expressway
1.
2.
通讯作者:
收稿日期: 2024-11-12 修回日期: 2025-02-18
| 基金资助: |
|
Received: 2024-11-12 Revised: 2025-02-18
作者简介 About authors
张可盈(2002—),女,湖北荆州人,博士研究生,主要从事风沙工程研究E-mail:
关键词:
Keywords:
本文引用格式
张可盈, 张娴, 谢胜波.
Zhang Keying, Zhang Xian, Xie Shengbo.
0 引言
柳格高速公路(G3011)始于甘肃省瓜州县柳园镇,途经敦煌、阿克塞、当金山、大柴旦,终抵青海省格尔木市,全长约650 km。它是连接甘肃河西走廊和青藏高原的唯一高速公路,于2022年4月29日全线建成通车。风沙一直是困扰沙区道路建设及安全运营的重要因素[1-3]。柳格高速公路修筑在河西走廊和柴达木盆地的极端干旱区,受干旱多风、植被稀疏等自然条件的影响,沿线戈壁荒漠广泛分布,沙物质丰富,风沙活动频繁[4-7]。由于独特的高寒风沙环境,即使微小的扰动也会改变地表的物质和能量平衡。在高速公路修建的过程中,不可避免地在一定程度上破坏了沿线原本稀疏的植被和脆弱的生态,进一步加剧地表风沙活动[8-9],因此开展干旱区交通线路的研究显得尤为必要。半个多世纪以来,众多学者对干旱区交通线路风沙环境进行了深入的研究。其中,张克存等[10]和王金国等[11]基于乌玛高速公路沿线的气象资料和风沙观测数据,阐明了该公路沿线风沙运动规律。Jordan等[12]利用遥感影像和生态因子的实测数据,分析了公路沿线风沙灾害发育的环境容量。Wang等[13]和赵晓彬等[14]从降雨、地形、风况和温湿度等环境参数入手,研判了沙区公路的风沙危害态势及其与环境要素之间的关系。王世杰等[15]和俞祥祥等[16]通过公路沿线系统采样和土壤理化性质测定,揭示了公路两侧沉积物理化特征和空间分布规律。这些研究为干旱区线路风沙环境特征研究提供了基础资料,为风沙危害的治理奠定了坚实的理论基础。然而,由于柳格高速公路建成通车不久,对沿线的风动力环境、沙物质输移规律及颗粒特征至今未见报道,不利于开展针对性风沙防治工作。柳格高速公路风沙危害严重(图1)。据调查柳格高速公路有沙害路段近50 km,主要分布在沙山沟、苏干湖、大柴旦、伏沙梁、格尔木等路段(图2)。截至目前,风沙危害已对柳格高速公路的正常运营产生了影响。因此,本文基于对公路沿线风况和输沙的观测以及地表采样,对柳格高速公路沿线风动力环境、沙物质输移特征和粒度特征进行分析,旨在为柳格高速公路沙害形成机制研究提供基础资料。
图1
图1
柳格高速公路风沙危害
Fig.1
Wind-sand hazards of Liuge Expressway (Sand on the road near Dachaidan (left); Sand on the road near Fushaliang (middle); Sand on the road near Golmud (right))
图2
1 研究区概况与研究方法
1.1 研究区概况
表1 观测点坐标及海拔
Table 1
| 观测点 | 地理坐标 | 海拔/m |
|---|---|---|
| 沙山沟 | 39°47′34″N,94°20′40″E | 1 446 |
| 苏干湖 | 38°54′36″N,94°21′45″E | 2 814 |
| 大柴旦 | 37°41′16″N,95°20′16″E | 3 126 |
| 伏沙梁 | 37°09′20″N,95°09′11″E | 2 699 |
| 格尔木东 | 36°21′06″N,95°03′55″E | 2 793 |
1.2 研究方法
式中:DP为输沙势,用矢量单位VU(vector unit)表示;V为大于临界起动值的风速(m·s-1);Vt 为临界起动风速(m·s-1);t为起沙风作用时间。根据矢量合成法则将输沙势合成,得到RDP(VU)和RDD(°)。RDP/DP为方向变率指数,用来反映一个地区的风向组合情况和风信复杂程度[20]。
最大可能输沙量的计算方法如下[21]:
式中:Q为最大可能输沙量(kg·m-1·a-1);V为大于临界起动值的风速(m·s-1);Vt 为临界起动风速(m·s-1);T为不同等级风速累计持续时间。根据矢量合成法则将最大可能输沙量合成,得到RQ(kg·m-1·a-1)和RA(°)。
2 结果及分析
2.1 风动力环境与沙物质输移特征
2.1.1 风况
柳格高速公路沿线观测点各月平均风速和起沙风频率如图3所示。沙山沟6月平均风速最大,为3.20 m·s-1,4月起沙风频率最高,为17.78%,年平均风速和年起沙风频率分别为2.72 m·s-1、9.81%。苏干湖7月平均风速和起沙风频率最大,分别为3.99 m·s-1、32.55%,年平均风速和年起沙风频率分别为3.25 m·s-1、21.77%。大柴旦4月平均风速和起沙风频率最大,分别为3.46 m·s-1、34.90%,年平均风速和年起沙风频率分别为2.41 m·s-1、16.48%。伏沙梁5月平均风速和起沙风频率最大,分别为4.65 m·s-1、42.84%,年平均风速和年起沙风频率分别为3.89 m·s-1、29.85%。格尔木东6月平均风速和起沙风频率最高,分别为3.95 m·s-1、34.35%,年平均风速和年起沙风频率分别为3.14 m·s-1、19.83%。
图3
图3
研究区各观测点平均风速和起沙风频率的月变化
Fig.3
Monthly variation of mean wind speed and sand-driving wind frequency at each observation point in the study area
各观测点中除大柴旦春季平均风速和起沙风频率最高外,其余均为夏季最高,且各观测点平均风速和起沙风频率最低的季节均为冬季。
图4为柳格高速公路沿线观测点的年风玫瑰图。沙山沟的风向以S风为主,占全年总量的19.60%。苏干湖的风向以E风为主,占全年总量的15.05%。大柴旦的风向以WNW风为主,占全年总量的11.59%。伏沙梁的风向以WNW风为主,占全年总量的15.61%。格尔木东的风向以WSW风为主,占全年总量的11.61%。
图4
图4
研究区各观测点的年风玫瑰图
Fig.4
Map of the annual wind rose at each observation point in the study area
由柳格高速公路沿线观测点的年起沙风玫瑰图(图5)可以看出,沙山沟的起沙风向以NNW风为主,占全年总量的25.86%。苏干湖的起沙风向以NNW风为主,占全年总量的40.08%。大柴旦的起沙风向以WNW风为主,占全年总量的35.60%。伏沙梁的起沙风向以WNW风为主,占全年总量的28.59%。格尔木东的起沙风向以W风为主,占全年总量的39.71%。
图5
2.1.2 输沙势
柳格高速公路沿线观测点的DP、RDP、RDD和RDP/DP见图6与表2。沙山沟4月DP、RDP最大,分别为17.89 VU、14.61 VU,占全年总量的20.46%、28.34%。夏季(5—7月)RDD为SSE方向,其余季节RDD分散。3—5月、7月、12月RDP/DP大于0.8,属于大比率,这说明沙山沟各季节风向多变。苏干湖7月DP、RDP最大,分别为64.98 VU、63.61 VU,占全年总量的15.85%、17.49%。夏秋季(5—10月)RDD为SSE方向,冬春季(11月至翌年4月)RDD分散。3—10月RDP/DP大于0.8,属于大比率,这说明苏干湖夏秋季风向单一。大柴旦4月DP、RDP最大,分别为24.47 VU、21.25 VU,占全年总量的16.95%、18.75%。全年RDD主要为ESE和SE方向。7、9月至次年4月RDP/DP大于0.8,属于大比率,这说明大柴旦冬春季风向单一。伏沙梁5月DP最大,为54.94VU,4月RDP最大,为37.31 VU,分别占全年总量的14.28%、15.27%。全年RDD为ESE和SE方向。3、4、7、9、11月RDP/DP大于0.8,属于大比率,这说明伏沙梁各季节风向多变。格尔木东5月DP最大,为31.89 VU,6月RDP最大,为25.68 VU,分别占全年总量的17.50%、18.30%。全年RDD主要为E方向。4月、6—8月、10—12月RDP/DP大于0.8,属于大比率,这说明格尔木东各季节风向多变。
图6
图6
研究区各观测点输沙势的月变化
Fig.6
Monthly variation of sand transport potential at each observation point in the study area
表2 研究区各观测点合成输沙方向的月变化
Table 2
| 观测点 | 参数 | 观测日期(年-月) | |||||||||||
|---|---|---|---|---|---|---|---|---|---|---|---|---|---|
| 2023-10 | 2023-11 | 2023-12 | 2024-01 | 2024-02 | 2024-03 | 2024-04 | 2024-05 | 2024-06 | 2024-07 | 2024-08 | 2024-09 | ||
| 沙山沟 | RDD/(°) | 173.16 | 162.93 | 30.54 | 68.15 | 98.10 | 137.16 | 143.15 | 147.94 | 160.81 | 153.43 | 150.72 | 154.97 |
| 方向 | S | SSE | NNE | ENE | E | SE | SE | SSE | SSE | SSE | SSE | SSE | |
| RA/(°) | 179.96 | 165.76 | 29.42 | 68.37 | 92.56 | 132.60 | 142.29 | 147.22 | 154.44 | 150.54 | 148.52 | 151.19 | |
| 方向 | S | SSE | NNE | ENE | E | SE | SE | SSE | SSE | SSE | SSE | SSE | |
| 苏干湖 | RDD/(°) | 159.36 | 128.06 | 114.34 | 76.09 | 131.83 | 173.78 | 164.39 | 168.60 | 162.89 | 162.42 | 164.87 | 162.09 |
| 方向 | SSE | SE | ESE | ENE | SE | S | SSE | SSE | SSE | SSE | SSE | SSE | |
| RA/(°) | 158.45 | 125.94 | 90.76 | 83.70 | 130.09 | 173.30 | 158.82 | 162.37 | 147.00 | 162.53 | 165.37 | 162.95 | |
| 方向 | SSE | SE | E | E | SE | S | SSE | SSE | SSE | SSE | SSE | SSE | |
| 大柴旦 | RDD/(°) | 115.83 | 119.06 | 123.67 | 129.10 | 124.02 | 121.78 | 122.99 | 154.23 | 133.30 | 124.64 | 111.53 | 119.68 |
| 方向 | ESE | ESE | ESE | SE | SE | ESE | ESE | SSE | SE | SE | ESE | ESE | |
| RA/(°) | 89.03 | 118.83 | 124.43 | 113.85 | 115.66 | 122.14 | 123.39 | 91.72 | 100.37 | 102.03 | 98.82 | 103.15 | |
| 方向 | E | ESE | SE | ESE | ESE | ESE | ESE | E | E | ESE | E | ESE | |
| 伏沙梁 | RDD/(°) | 116.24 | 138.45 | 138.08 | 117.08 | 126.56 | 121.06 | 116.31 | 119.66 | 135.17 | 113.56 | 124.22 | 108.35 |
| 方向 | ESE | SE | SE | ESE | SE | ESE | ESE | ESE | SE | ESE | SE | ESE | |
| RA/(°) | 116.53 | 139.63 | 137.23 | 109.89 | 126.46 | 120.67 | 115.40 | 120.63 | 134.81 | 115.51 | 127.98 | 108.94 | |
| 方向 | ESE | SE | SE | ESE | SE | ESE | ESE | ESE | SE | ESE | SE | ESE | |
| 格尔木东 | RDD/(°) | 113.69 | 97.69 | 88.67 | 77.58 | 94.41 | 94.31 | 96.91 | 82.16 | 89.79 | 90.58 | 88.21 | 83.22 |
| 方向 | ESE | E | E | ENE | E | E | E | E | E | E | E | E | |
| RA/(°) | 84.35 | 98.46 | 90.39 | 76.41 | 94.92 | 94.75 | 96.69 | 80.88 | 89.54 | 90.03 | 87.88 | 82.53 | |
| 方向 | E | E | E | ENE | E | E | E | E | E | E | E | E | |
柳格高速公路沿线观测点的年输沙势玫瑰图(图7)显示,沙山沟年输沙势为87.44 VU,属于低风能环境,年合成输沙势为51.56 VU,年方向变率指数为0.59,属于中比率,起沙风况为锐双峰风况,年合成输沙方向137.27°,为SE方向。苏干湖年输沙势为410.08 VU,属于高风能环境,年合成输沙势为363.67 VU,年方向变率指数为0.89,属于大比率,起沙风况为窄单峰风况,年合成输沙方向163.12°,为SSE方向。大柴旦年输沙势为144.38 VU,属于低风能环境,年合成输沙势为113.36 VU,年方向变率指数为0.79,属于中比率,起沙风况为锐双峰风况,年合成输沙方向123.30°,为ESE方向。伏沙梁年输沙势为384.63 VU,属于中风能环境,年合成输沙势为244.33 VU,年方向变率指数为0.64,属于中比率,起沙风况为锐双峰风况,年合成输沙方向120.28°,为ESE方向。格尔木东年输沙势为182.23 VU,属于低风能环境,年合成输沙势为140.29 VU,年方向变率指数为0.77,属于中比率,起沙风况为锐双峰风况,年合成输沙方向89.30°,为E方向。
图7
不同观测点DP和RDD之间存在差异(图7)。整体上,研究区全年风沙主要运动方向为东南方向,导致柳格高速公路西侧大量积沙,危害行车安全。
2.1.3 输沙量
图8为柳格高速公路沿线观测点的最大可能输沙量。沙山沟4月Q、RQ最大,分别为42.13 kg·m-1·a-1、34.98 kg·m-1·a-1,占全年总量的21.45%、29.22%。夏季(5—7月)RA为SSE方向,其余季节RA分散(表2)。苏干湖5月Q最大,为198.69 kg·m-1·a-1,7月RQ最大,为163.26 kg·m-1·a-1,分别占全年总量的18.57%、17.63%。夏秋季(5—10月)RA为SSE方向,冬春季(11月至翌年4月)RA分散。大柴旦5月Q最大,为97.30 kg·m-1·a-1,6月RQ最大,为75.52 kg·m-1·a-1,分别占全年总量的16.56%、16.70%。全年RA主要为ESE和E方向。伏沙梁5月Q最大,为114.02 kg·m-1·a-1,4月RQ最大,为98.34 kg·m-1·a-1,分别占全年总量的11.94%、15.28%。全年RA为ESE和SE方向。格尔木东5月Q最大,为75.40 kg·m-1·a-1,6月RQ最大,为61.58 kg·m-1·a-1,占全年总量的18.29%、18.99%。全年RA主要为E方向。
图8
图8
研究区各观测点最大可能输沙量的月变化
Fig.8
Monthly variation in the maximum possible sand transport at each observation point in the study area
柳格高速公路沿线观测点的年最大可能输沙量见图9。沙山沟年最大可能输沙量为196.40 kg·m-1·a-1,贡献最大的风力等级分布在9~10 m·s-1(图10),年合成最大可能输沙量为119.71 kg·m-1·a-1,年最大可能输沙量的合成输沙方向133.92°,为SE方向。苏干湖年最大可能输沙量为1 069.83 kg·m-1·a-1,贡献最大的风力等级分布在10~11 m·s-1,年合成最大可能输沙量为971.07 kg·m-1·a-1,年最大可能输沙量的合成输沙方向163.01°,为SSE方向。大柴旦年最大可能输沙量为587.64 kg·m-1·a-1,贡献最大的风力等级分布在8~9 m·s-1,年合成最大可能输沙量为452.24 kg·m-1·a-1,年最大可能输沙量的合成输沙方向107.44°,为ESE方向。伏沙梁年最大可能输沙量为955.25 kg·m-1·a-1,贡献最大的风力等级分布在9~10 m·s-1,年合成最大可能输沙量为643.64 kg·m-1·a-1,年最大可能输沙量的合成输沙方向121.15°,为ESE方向。格尔木东年最大可能输沙量为412.16 kg·m-1·a-1,贡献最大的风力等级分布在8~9 m·s-1,年合成最大可能输沙量为324.28 kg·m-1·a-1,年最大可能输沙量的合成输沙方向88.74°,为E方向。
图9
图10
图10
研究区观测点各风力等级的最大可能输沙量
Fig.10
Maximum possible sand transport at each wind level at the observation point in the study area
2.2 沙物质粒度特征
2.2.1 颗粒级配
柳格高速公路沿线观测点沉积物的机械组成中,细砂(2~3 Φ)平均含量43.18%,中砂(1~2 Φ)平均含量23.90%,粗砂(0~1 Φ)和极细砂(3~4 Φ)平均含量共30.60%,以上占总含量的97.68%,而极粗砂(-1~0 Φ)和粉沙(4~8 Φ)平均含量总计2.32%,含量极小,黏土(>8 Φ)含量几乎为0(表3)。可以看出,柳格高速公路沿线沉积物分布范围适中,从极粗砂到粉沙均有分布,其组成以细砂和中砂为主。沙山沟、苏干湖和伏沙梁以细砂为主,占比分别为65.10%、69.80%、52.60%,大柴旦以中砂为主,占比为47.80%,格尔木东以粗砂为主,占比为59.60%。
表3 研究区各观测点沉积物颗粒级配 (%)
Table 3
| 采样地点 | 极粗砂-1~0 Φ | 粗砂0~1 Φ | 中砂1~2 Φ | 细砂2~3 Φ | 极细砂3~4 Φ | 粉沙4~8 Φ | 黏土>8 Φ |
|---|---|---|---|---|---|---|---|
| 沙山沟 | 0 | 0.10 | 14.80 | 65.10 | 19.60 | 0.40 | 0 |
| 苏干湖 | 0 | 0 | 4.10 | 69.80 | 23.60 | 2.50 | 0 |
| 大柴旦 | 0 | 1.00 | 47.80 | 23.50 | 23.20 | 4.50 | 0 |
| 伏沙梁 | 0.90 | 11.90 | 21.70 | 52.60 | 11.20 | 1.70 | 0 |
| 格尔木东 | 1.20 | 59.60 | 31.10 | 4.90 | 2.80 | 0.40 | 0 |
| 平均 | 0.42 | 14.52 | 23.90 | 43.18 | 16.08 | 1.90 | 0 |
2.2.2 粒径分布频率
图11
图11
研究区各观测点沉积物粒径分布频率(单位:%)
Fig.11
Frequency of sediment particle size distribution at each observation point in the study area (unit:%)
图12
图12
研究区各观测点沉积物粒度组成(单位:%)
Fig.12
Grain size composition of sediment at each observation point in the study area (unit:%)
2.2.3 粒度参数
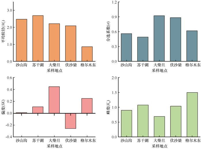
分析柳格高速公路沿线观测点粒度参数发现(图13),样品平均粒径0.86~2.69 Φ,其中最小值为格尔木东,最大值为苏干湖,粒度Φ值从沙山沟到格尔木东大致呈递减态势,说明沉积物平均粒径逐渐变粗,这与图12中的结果一致。对分选系数进行分析发现,苏干湖的分选好,沙山沟和格尔木东的分选较好,大柴旦和伏沙梁的分选均为中等,总体来看,柳格高速公路沿线观测点样品颗粒粒径分布较为集中,分选性较好[25]。伏沙梁样品偏度-0.3~-0.1,负偏;沙山沟偏度-0.1~0.1,近对称;苏干湖和格尔木东的偏度0.1~0.3,正偏;大柴旦偏度大于0.3,极正偏,说明在柳格高速公路沿线沉积物中粗颗粒物质总体来说较少[26]。格尔木东的峰度表现为尖锐,这表明该地区的大部分沉积物颗粒的粒径都集中在一个相对较窄的范围内[27-28],说明该地区的沉积物可能经历了较强的选择性搬运,导致某一特定粒径的沙粒特别丰富[29];沙山沟、苏干湖和伏沙梁的峰度表现为中等;大柴旦的峰度表现为平坦,这表明该地区不同粒径的沙粒分布较为均匀。
图13
图13
研究区各观测点沉积物粒度参数对比
Fig.13
Comparison of particle size parameters of sediment at the observed points in the study area
3 讨论
根据同步观测的温湿度资料可知,柳格高速公路沿线的年平均温度3.44~10.97 ℃,年平均湿度27.89%~36.64%,相对湿度春夏季(2—7月)较低,年降水量<100 mm,属高寒大陆性干旱气候。总体上,夏季(5—7月)平均风速、起沙风频率、输沙势最高,冬季(11月至翌年1月)最低。由于夏季气温较高,这有助于增强地面的热力环流,从而增加风速,而冬季气温低,地面热力环流较弱,风速相对较小。且春夏季相对湿度整体低于秋冬季,导致春夏季地表沙层含水量相对偏小,起沙风风速变小,同时春夏季平均风速偏大(图3),当风速超过起沙风速后,风速的增加会导致风沙流中的含沙量急剧增加[30]。综上所述,柳格高速公路沿线风沙危害在时间上主要出现在夏季,冬季则相对减弱。
4 结论
柳格高速公路沿线起沙风以西北方向为主,具体来看,沙山沟和苏干湖以NNW风为主;大柴旦和伏沙梁以WNW风为主;格尔木东以W风为主。夏季(5—7月)起沙风频率、输沙势和最大可能输沙量均较高,风沙危害严重;冬季(11年至翌年1月)起沙风频率、输沙势、最大可能输沙量均较低,风沙危害减弱。沙山沟、苏干湖、大柴旦、伏沙梁、格尔木东的年输沙势分别为87.44、410.08、144.38、384.63、182.23 VU,年合成输沙方向(RDD、RA)分别为SE、SSE、ESE、ESE、E,年最大可能输沙量分别为119.71、1 069.83、587.64、955.25、412.16 kg·m-1·a-1。
通过分析沉积物颗粒级配发现柳格高速公路沿线观测点的沉积物总体上以细砂和中砂为主,其中沙山沟、苏干湖和伏沙梁细砂含量最高,大柴旦中砂含量最高,格尔木东粗砂含量最高。对比沉积物各粒度参数发现,公路沿线自北向南,地表沉积物颗粒组成大致从细砂过渡到粗砂,沉积物平均粒径逐渐变大,研究区颗粒分布较均匀且粗颗粒物质较少。
参考文献
中国防沙治沙实践与沙漠科学发展的70年:Ⅲ.发展篇(1)
[J].
Damage by wind-blown sand and its control measures along the Taklimakan Desert Highway in China
[J].
Effect of meteorological conditions on PM10 concentrations in the middle reaches of the Yarlung Zangbo River,Tibet Plateau
[J].
中国西北戈壁区沙尘暴过程中近地层风沙运动特征
[J].
Desertification and control plan in the Tibet Autonomous Region of China
[J].
Climatology of near-surface wind speed from observational,reanalysis and high-resolution regional climate model data over the Tibetan Plateau
[J].
Surface materials and land-forms as controls on InSAR permanent and transient responses to precipitation events in a hyperarid desert,Chile
[J].
The dynamics variation of soil moisture of shelterbelts along the Tarim Desert Highway
[J].
Size frequency distributions of sediments and the normal phi curve
[J].
Mechanical composition of clastic sediments
[J].
Brazos river bar:a study in the significance of grain size parameters
[J].
Numerical simulation on wind-sand flow field around railway embankment with different wind angles
[J].
/
| 〈 |
|
〉 |

甘公网安备 62010202000688号