中国沙漠 ›› 2025, Vol. 45 ›› Issue (5): 277-288.DOI: 10.7522/j.issn.1000-694X.2025.00021
收稿日期:2024-11-12
修回日期:2025-02-18
出版日期:2025-09-20
发布日期:2025-09-27
通讯作者:
谢胜波
作者简介:张可盈(2002—),女,湖北荆州人,博士研究生,主要从事风沙工程研究。E-mail: zhangkeying23@mails.ucas.ac.cn
基金资助:
Keying Zhang1,2(
), Xian Zhang1,2, Shengbo Xie1(
)
Received:2024-11-12
Revised:2025-02-18
Online:2025-09-20
Published:2025-09-27
Contact:
Shengbo Xie
摘要:
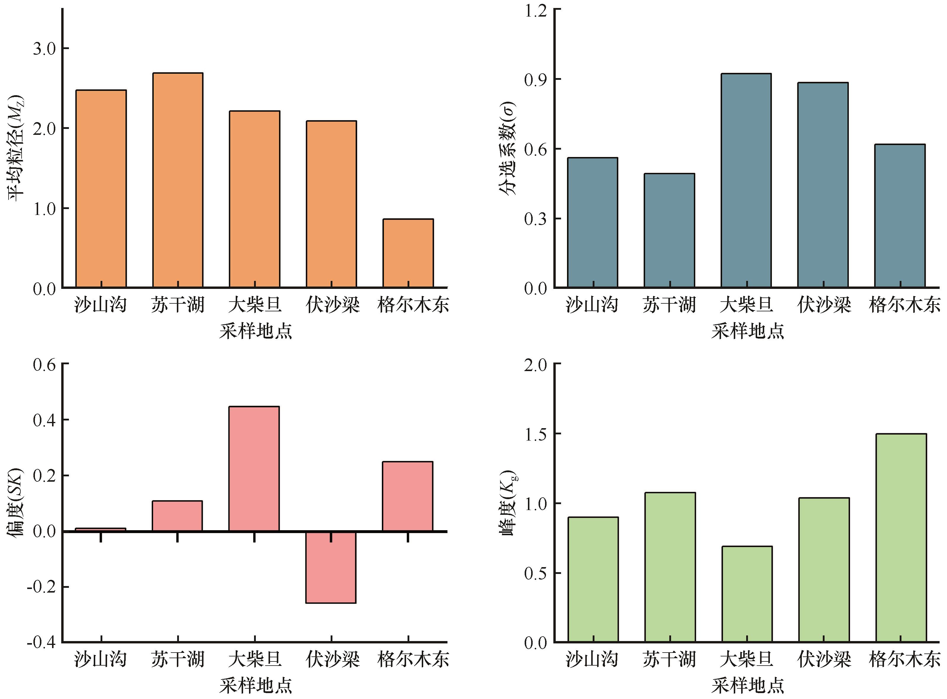
柳格高速公路修筑在河西走廊和柴达木盆地内陆极端干旱区,沿线以高寒风沙为主要环境特征,公路沙害严重但目前对柳格高速公路风沙过程和防治研究较少。为此,本文通过野外观测和粒度分析,对柳格高速公路沿线风沙环境进行研究。结果表明:公路沿线以西北风(NNW、WNW、W)为主,夏季(5—7月)起沙风频率、输沙势和最大可能输沙量均较高;冬季(11月至翌年1月)起沙风频率、输沙势、最大可能输沙量均较低,公路沿线输沙方向以SE、SSE、ESE、E方向为主。公路沿线自北向南,地表沉积物颗粒组成大致从细砂过渡到粗砂,沉积物平均粒径逐渐变粗,颗粒分布较均匀,粗颗粒物质较少。
中图分类号:
张可盈, 张娴, 谢胜波. 柳格高速公路沿线风沙环境特征[J]. 中国沙漠, 2025, 45(5): 277-288.
Keying Zhang, Xian Zhang, Shengbo Xie. Environmental characteristics of wind-sand along the Liuyuan-Golmud Expressway[J]. Journal of Desert Research, 2025, 45(5): 277-288.
图1 柳格高速公路风沙危害
Fig.1 Wind-sand hazards of Liuge Expressway (Sand on the road near Dachaidan (left); Sand on the road near Fushaliang (middle); Sand on the road near Golmud (right))
| 观测点 | 地理坐标 | 海拔/m |
|---|---|---|
| 沙山沟 | 39°47′34″N,94°20′40″E | 1 446 |
| 苏干湖 | 38°54′36″N,94°21′45″E | 2 814 |
| 大柴旦 | 37°41′16″N,95°20′16″E | 3 126 |
| 伏沙梁 | 37°09′20″N,95°09′11″E | 2 699 |
| 格尔木东 | 36°21′06″N,95°03′55″E | 2 793 |
表1 观测点坐标及海拔
Table 1 Coordinates and elevation of field observation points
| 观测点 | 地理坐标 | 海拔/m |
|---|---|---|
| 沙山沟 | 39°47′34″N,94°20′40″E | 1 446 |
| 苏干湖 | 38°54′36″N,94°21′45″E | 2 814 |
| 大柴旦 | 37°41′16″N,95°20′16″E | 3 126 |
| 伏沙梁 | 37°09′20″N,95°09′11″E | 2 699 |
| 格尔木东 | 36°21′06″N,95°03′55″E | 2 793 |
| 观测点 | 参数 | 观测日期(年-月) | |||||||||||
|---|---|---|---|---|---|---|---|---|---|---|---|---|---|
| 2023-10 | 2023-11 | 2023-12 | 2024-01 | 2024-02 | 2024-03 | 2024-04 | 2024-05 | 2024-06 | 2024-07 | 2024-08 | 2024-09 | ||
| 沙山沟 | RDD/(°) | 173.16 | 162.93 | 30.54 | 68.15 | 98.10 | 137.16 | 143.15 | 147.94 | 160.81 | 153.43 | 150.72 | 154.97 |
| 方向 | S | SSE | NNE | ENE | E | SE | SE | SSE | SSE | SSE | SSE | SSE | |
| RA/(°) | 179.96 | 165.76 | 29.42 | 68.37 | 92.56 | 132.60 | 142.29 | 147.22 | 154.44 | 150.54 | 148.52 | 151.19 | |
| 方向 | S | SSE | NNE | ENE | E | SE | SE | SSE | SSE | SSE | SSE | SSE | |
| 苏干湖 | RDD/(°) | 159.36 | 128.06 | 114.34 | 76.09 | 131.83 | 173.78 | 164.39 | 168.60 | 162.89 | 162.42 | 164.87 | 162.09 |
| 方向 | SSE | SE | ESE | ENE | SE | S | SSE | SSE | SSE | SSE | SSE | SSE | |
| RA/(°) | 158.45 | 125.94 | 90.76 | 83.70 | 130.09 | 173.30 | 158.82 | 162.37 | 147.00 | 162.53 | 165.37 | 162.95 | |
| 方向 | SSE | SE | E | E | SE | S | SSE | SSE | SSE | SSE | SSE | SSE | |
| 大柴旦 | RDD/(°) | 115.83 | 119.06 | 123.67 | 129.10 | 124.02 | 121.78 | 122.99 | 154.23 | 133.30 | 124.64 | 111.53 | 119.68 |
| 方向 | ESE | ESE | ESE | SE | SE | ESE | ESE | SSE | SE | SE | ESE | ESE | |
| RA/(°) | 89.03 | 118.83 | 124.43 | 113.85 | 115.66 | 122.14 | 123.39 | 91.72 | 100.37 | 102.03 | 98.82 | 103.15 | |
| 方向 | E | ESE | SE | ESE | ESE | ESE | ESE | E | E | ESE | E | ESE | |
| 伏沙梁 | RDD/(°) | 116.24 | 138.45 | 138.08 | 117.08 | 126.56 | 121.06 | 116.31 | 119.66 | 135.17 | 113.56 | 124.22 | 108.35 |
| 方向 | ESE | SE | SE | ESE | SE | ESE | ESE | ESE | SE | ESE | SE | ESE | |
| RA/(°) | 116.53 | 139.63 | 137.23 | 109.89 | 126.46 | 120.67 | 115.40 | 120.63 | 134.81 | 115.51 | 127.98 | 108.94 | |
| 方向 | ESE | SE | SE | ESE | SE | ESE | ESE | ESE | SE | ESE | SE | ESE | |
| 格尔木东 | RDD/(°) | 113.69 | 97.69 | 88.67 | 77.58 | 94.41 | 94.31 | 96.91 | 82.16 | 89.79 | 90.58 | 88.21 | 83.22 |
| 方向 | ESE | E | E | ENE | E | E | E | E | E | E | E | E | |
| RA/(°) | 84.35 | 98.46 | 90.39 | 76.41 | 94.92 | 94.75 | 96.69 | 80.88 | 89.54 | 90.03 | 87.88 | 82.53 | |
| 方向 | E | E | E | ENE | E | E | E | E | E | E | E | E | |
表2 研究区各观测点合成输沙方向的月变化
Table 2 Monthly variation of synthetic sand transport direction at each observation point in the study area
| 观测点 | 参数 | 观测日期(年-月) | |||||||||||
|---|---|---|---|---|---|---|---|---|---|---|---|---|---|
| 2023-10 | 2023-11 | 2023-12 | 2024-01 | 2024-02 | 2024-03 | 2024-04 | 2024-05 | 2024-06 | 2024-07 | 2024-08 | 2024-09 | ||
| 沙山沟 | RDD/(°) | 173.16 | 162.93 | 30.54 | 68.15 | 98.10 | 137.16 | 143.15 | 147.94 | 160.81 | 153.43 | 150.72 | 154.97 |
| 方向 | S | SSE | NNE | ENE | E | SE | SE | SSE | SSE | SSE | SSE | SSE | |
| RA/(°) | 179.96 | 165.76 | 29.42 | 68.37 | 92.56 | 132.60 | 142.29 | 147.22 | 154.44 | 150.54 | 148.52 | 151.19 | |
| 方向 | S | SSE | NNE | ENE | E | SE | SE | SSE | SSE | SSE | SSE | SSE | |
| 苏干湖 | RDD/(°) | 159.36 | 128.06 | 114.34 | 76.09 | 131.83 | 173.78 | 164.39 | 168.60 | 162.89 | 162.42 | 164.87 | 162.09 |
| 方向 | SSE | SE | ESE | ENE | SE | S | SSE | SSE | SSE | SSE | SSE | SSE | |
| RA/(°) | 158.45 | 125.94 | 90.76 | 83.70 | 130.09 | 173.30 | 158.82 | 162.37 | 147.00 | 162.53 | 165.37 | 162.95 | |
| 方向 | SSE | SE | E | E | SE | S | SSE | SSE | SSE | SSE | SSE | SSE | |
| 大柴旦 | RDD/(°) | 115.83 | 119.06 | 123.67 | 129.10 | 124.02 | 121.78 | 122.99 | 154.23 | 133.30 | 124.64 | 111.53 | 119.68 |
| 方向 | ESE | ESE | ESE | SE | SE | ESE | ESE | SSE | SE | SE | ESE | ESE | |
| RA/(°) | 89.03 | 118.83 | 124.43 | 113.85 | 115.66 | 122.14 | 123.39 | 91.72 | 100.37 | 102.03 | 98.82 | 103.15 | |
| 方向 | E | ESE | SE | ESE | ESE | ESE | ESE | E | E | ESE | E | ESE | |
| 伏沙梁 | RDD/(°) | 116.24 | 138.45 | 138.08 | 117.08 | 126.56 | 121.06 | 116.31 | 119.66 | 135.17 | 113.56 | 124.22 | 108.35 |
| 方向 | ESE | SE | SE | ESE | SE | ESE | ESE | ESE | SE | ESE | SE | ESE | |
| RA/(°) | 116.53 | 139.63 | 137.23 | 109.89 | 126.46 | 120.67 | 115.40 | 120.63 | 134.81 | 115.51 | 127.98 | 108.94 | |
| 方向 | ESE | SE | SE | ESE | SE | ESE | ESE | ESE | SE | ESE | SE | ESE | |
| 格尔木东 | RDD/(°) | 113.69 | 97.69 | 88.67 | 77.58 | 94.41 | 94.31 | 96.91 | 82.16 | 89.79 | 90.58 | 88.21 | 83.22 |
| 方向 | ESE | E | E | ENE | E | E | E | E | E | E | E | E | |
| RA/(°) | 84.35 | 98.46 | 90.39 | 76.41 | 94.92 | 94.75 | 96.69 | 80.88 | 89.54 | 90.03 | 87.88 | 82.53 | |
| 方向 | E | E | E | ENE | E | E | E | E | E | E | E | E | |
| 采样地点 | 极粗砂-1~0 Φ | 粗砂0~1 Φ | 中砂1~2 Φ | 细砂2~3 Φ | 极细砂3~4 Φ | 粉沙4~8 Φ | 黏土>8 Φ |
|---|---|---|---|---|---|---|---|
| 沙山沟 | 0 | 0.10 | 14.80 | 65.10 | 19.60 | 0.40 | 0 |
| 苏干湖 | 0 | 0 | 4.10 | 69.80 | 23.60 | 2.50 | 0 |
| 大柴旦 | 0 | 1.00 | 47.80 | 23.50 | 23.20 | 4.50 | 0 |
| 伏沙梁 | 0.90 | 11.90 | 21.70 | 52.60 | 11.20 | 1.70 | 0 |
| 格尔木东 | 1.20 | 59.60 | 31.10 | 4.90 | 2.80 | 0.40 | 0 |
| 平均 | 0.42 | 14.52 | 23.90 | 43.18 | 16.08 | 1.90 | 0 |
表3 研究区各观测点沉积物颗粒级配 (%)
Table 3 Sediment particle gradation at each observation point in the study area
| 采样地点 | 极粗砂-1~0 Φ | 粗砂0~1 Φ | 中砂1~2 Φ | 细砂2~3 Φ | 极细砂3~4 Φ | 粉沙4~8 Φ | 黏土>8 Φ |
|---|---|---|---|---|---|---|---|
| 沙山沟 | 0 | 0.10 | 14.80 | 65.10 | 19.60 | 0.40 | 0 |
| 苏干湖 | 0 | 0 | 4.10 | 69.80 | 23.60 | 2.50 | 0 |
| 大柴旦 | 0 | 1.00 | 47.80 | 23.50 | 23.20 | 4.50 | 0 |
| 伏沙梁 | 0.90 | 11.90 | 21.70 | 52.60 | 11.20 | 1.70 | 0 |
| 格尔木东 | 1.20 | 59.60 | 31.10 | 4.90 | 2.80 | 0.40 | 0 |
| 平均 | 0.42 | 14.52 | 23.90 | 43.18 | 16.08 | 1.90 | 0 |
| [1] | 张克存,安志山,何明珠,等.中国沙区公路风沙危害及防治研究进展[J].中国沙漠,2022,42(3):222-232. |
| [2] | 王涛.中国防沙治沙实践与沙漠科学发展的70年:Ⅲ.发展篇(1)[J].中国沙漠,2024,44(1):1-10. |
| [3] | Li C J, Wang Y D, Lei J Q,et al.Damage by wind-blown sand and its control measures along the Taklimakan Desert Highway in China[J].Journal of Arid Land,2021,13(1):98-106. |
| [4] | Ma P F, Zhang Z C, Zhang Y,et al.Effect of meteorological conditions on PM10 concentrations in the middle reaches of the Yarlung Zangbo River,Tibet Plateau[J].Theoretical and Applied Climatology,2023,151(1/2):725-737. |
| [5] | 张正偲,潘凯佳,张焱,等.中国西北戈壁区沙尘暴过程中近地层风沙运动特征[J].中国沙漠,2023,43(2):130-138. |
| [6] | Zou X Y, Dong Yuxiang, Jin Heling,et al.Desertification and control plan in the Tibet Autonomous Region of China[J].Journal of Arid Environments,2002,51:183-198. |
| [7] | Minola L, Zhang G, Ou T,et al.Climatology of near-surface wind speed from observational,reanalysis and high-resolution regional climate model data over the Tibetan Plateau[J].Climate Dynamics,2024,62:933-953. |
| [8] | 谢胜波,屈建军.青藏铁路主要沙害路段治理技术及成效[J].干旱区资源与环境,2014,28(7):105-110. |
| [9] | 张克存,屈建军,姚正毅,等.青藏铁路格拉段风沙危害及其防治[J].干旱区地理,2014,37(1):74-80. |
| [10] | 张克存,安志山,何明珠,等.乌海至玛沁高速公路中卫段风沙环境特征及沙害防治[J].干旱区地理,2021,44(4):983-991. |
| [11] | 王金国,安志山,张克存,等.乌玛高速公路中卫段风沙环境及输移规律[J].水土保持研究,2021,28(6):183-189. |
| [12] | Jordan T E, Lohman R B, Tapia L.Surface materials and land-forms as controls on InSAR permanent and transient responses to precipitation events in a hyperarid desert,Chile[J].Remote Sensing of Environment,2020,237:11544. |
| [13] | Wang Y D, Xu X W, Lei J Q,et al.The dynamics variation of soil moisture of shelterbelts along the Tarim Desert Highway[J].Chinese Science Bulletin,2008,53(Supp.2):102-108. |
| [14] | 赵晓彬,党兵,符亚儒,等.半干旱区沙地高速公路防风固沙林营造技术及其效益研究[J].中国沙漠,2010,30(6):1247-1255. |
| [15] | 王世杰,李生宇,徐新文,等.阿拉尔-和田沙漠公路机械防沙体系内风沙沉积的粒度特征[J].干旱区资源与环境,2014,28(6):130-135. |
| [16] | 俞祥祥,李生宇,马学喜,等.沙漠公路防护林影响下近地表风沙流粒度特征的空间分异[J].水土保持研究,2017,24(1):334-341. |
| [17] | 徐新良,刘纪远,张树文,等.中国多时期土地利用遥感监测数据集(CNLUCC)[Z].资源环境科学数据注册与出版系统. |
| [18] | 张昊,党晓宏,蒙仲举,等.乌珠穆沁沙地主要风沙环境特征及形成机制研究[J].干旱区研究,2023,40(10):1687-1697. |
| [19] | Mckee E D.A Study of Global Sand Seas[M].Hawaii,USA:University Press of the Pacific,1979:137-169. |
| [20] | 王兆云,牛改红,柳本立.风沙活动强度3种估算指标对比及适用性分析[J].中国沙漠,2021,41(3):118-126. |
| [21] | 凌裕泉.最大可能输沙量的工程计算[J].中国沙漠,1997,17(4):30-36. |
| [22] | Krumbein W C.Size frequency distributions of sediments and the normal phi curve[J].Journal of Sedimentary Research,1938,8(3):84-90. |
| [23] | Udden J A.Mechanical composition of clastic sediments[J].Geological Society of America Bulletin,1914,25(1):655-744. |
| [24] | Fork R L, Ward W C.Brazos river bar:a study in the significance of grain size parameters[J].Journal of Sedimentary Petrology,1957,27(1):3-26. |
| [25] | 孙茹.毛乌素沙地东南缘全新世沉积物粒度和磁化率特征及环境意义[D].辽宁大连:辽宁师范大学,2022. |
| [26] | 金秉福.粒度分析中偏度系数的影响因素及其意义[J].海洋科学,2012,36(2):129-135. |
| [27] | 高广磊,丁国栋,赵媛媛,等.生物结皮发育对毛乌素沙地土壤粒度特征的影响[J].农业机械学报,2014,45(1):115-120. |
| [28] | 丁延龙,高永,蒙仲举,等.希拉穆仁荒漠草原风蚀地表颗粒粒度特征[J].土壤,2016,48(4):803-812. |
| [29] | 刘茜雅,王海兵,左合君,等.库布齐沙漠沉积物粒度及其对沉积环境的指示意义[J].中国沙漠,2024,44(6):240-248. |
| [30] | 石龙,蒋富强,韩峰.风沙两相流对铁路路堤响应规律的数值模拟研究[J].铁道学报,2014,36(5):82-87. |
| [31] | 黄勇.酒额铁路戈壁风沙流地区沙害成因及防治措施[J] .铁道标准设计,2015,59(7):32-35. |
| [32] | Zhang X, Xie S B, Pang Y J.Numerical simulation on wind-sand flow field around railway embankment with different wind angles[J].Frontiers in Environmental Science,2023,10:1-12. |
| [33] | 李继彦,郜学敏,董治宝.柴达木盆地雅丹地貌区风况数据集[J].中国沙漠,2021,41(6):265-268. |
| [34] | 李晓丽,申向东,解卫东.土壤风蚀物中沙粒的动力学特性分析[J].农业工程学报,2009,25(6):71-75. |
| [35] | 钱广强,杨转玲,邢学刚,等.砾波纹地表风沙颗粒蠕移特征及其地貌学意义[J].中国沙漠,2024,44(6):287-298. |
| [1] | 周倩, 江艳冰, 谭立海, 王洪涛, 李轲. 格库铁路台特玛湖干涸湖盆段风沙环境特征[J]. 中国沙漠, 2025, 45(2): 102-110. |
| [2] | 张令光, 沈才生, 黄艳丽, 扎多, 拉珍, 张焱, 张正偲. 雅鲁藏布江流域输沙势空间特征[J]. 中国沙漠, 2025, 45(1): 304-317. |
| [3] | 郭酉元, 钱广强, 杨转玲, 邢学刚. 库姆塔格沙漠三垄沙地区砾波纹形态、粒度及环境风况[J]. 中国沙漠, 2024, 44(4): 37-45. |
| [4] | 缑永涛, 吴永祥, 彭波, 张勇, 孔会平, 赵兴红, 冀鹏举, 李云昊, 何明珠, 邵梅, 谭明亮, 逯军峰. 乌玛高速公路腾格里沙漠段防护体系典型断面风沙活动特征[J]. 中国沙漠, 2024, 44(3): 279-289. |
| [5] | 赵宏胜, 高永, 蒙仲举, 李婉娇, 冯霜, 党晓宏. 黄河上游十大孔兑区域风能环境及输沙势特征[J]. 中国沙漠, 2024, 44(3): 85-95. |
| [6] | 缑永涛, 吴永祥, 彭波, 杨昊, 马金库, 王朝晖, 白海龙, 何明珠, 谭明亮, 邵梅, 逯军峰. 乌玛高速公路腾格里沙漠段防护体系不同配置措施固沙效应评估[J]. 中国沙漠, 2024, 44(2): 264-272. |
| [7] | 刘建宗, 张峰, 卞红炜, 李璇, 苏谌杰. 塔克拉玛干沙漠东北部纵向沙垄粒度分布特征[J]. 中国沙漠, 2023, 43(6): 1-9. |
| [8] | 李强. 酒额铁路酒泉至东风段典型沙害区段风沙环境特征[J]. 中国沙漠, 2023, 43(6): 220-228. |
| [9] | 李继彦, 徐德华, 张姚姚, 薛倩文, 周玲. 柴达木盆地风能环境特征[J]. 中国沙漠, 2023, 43(5): 223-231. |
| [10] | 刘茜雅, 王海兵, 左合君, 温苏雅勒图, 霍海鹰. 巴音温都尔沙漠风况及输沙势特征[J]. 中国沙漠, 2023, 43(5): 41-48. |
| [11] | 张宏雪, 张克存, 安志山, 鱼燕萍. 敦煌-格尔木铁路沿线荒漠灌丛风动力环境与沉积物粒度特征[J]. 中国沙漠, 2023, 43(5): 49-58. |
| [12] | 李琦炜, 龚志军, 罗明, 彭花明, 王瀚, 王威. 鄱阳湖沙山两处具有平行层理砂层的粒度分析及其对沉积环境的指示意义[J]. 中国沙漠, 2023, 43(3): 152-159. |
| [13] | 曲书锋, 张国明, 董苗, 徐俊泉, 尚鹏, 严平, 刘连友, 杜洁雯. 阿尔金山国家级自然保护区东北部风况及输沙势特征[J]. 中国沙漠, 2023, 43(2): 114-120. |
| [14] | 潘加朋, 张克存, 安志山, 张宏雪, 薛承杰. 风沙治理工程综合效益分析[J]. 中国沙漠, 2023, 43(2): 233-242. |
| [15] | 古拉依赛木·艾拜都拉, 张峰, 吴枫, 吴世新, 郑江华, 孙涛. 腾格里沙漠沙丘沉积物粒度特征及其空间差异[J]. 中国沙漠, 2022, 42(5): 133-145. |
| 阅读次数 | ||||||
|
全文 |
|
|||||
|
摘要 |
|
|||||
©2018中国沙漠 编辑部
地址: 兰州市天水中路8号 (730000)
电话:0931-8267545
Email:caiedit@lzb.ac.cn;desert@lzb.ac.cn