0 引言
数字新基建是新型基础设施建设的核心组成部分,主要指以5G、人工智能、工业互联网、大数据中心等为代表的新一代信息技术基础设施体系,涵盖信息基础设施、融合基础设施和创新基础设施三大领域。它通过提供数字化转型、智能升级和融合创新服务,为产业升级和经济高质量发展注入新动能。作为中国重要的生态屏障和经济地带,沿黄九省(区)是中国重要的粮食、能源、工业等聚集区,因此,加快推进数字新基建赋能黄河流域高质量发展对全国经济高质量发展具有重要战略意义。
数字新基建与高质量发展存在深度关联,数字新基建有利于促进经济高质量发展[1 -3 ] ,其作用机制包括数字普惠金融和产业转型升级[1 -2 ] 。同时,数字新基建可借助空间溢出效应促进其他地区经济高质量发展[3 ] 。长江经济带数字新基建促进了区域高质量发展但存在区域差异[4 ] 。针对黄河流域,已有研究关注了数字经济如何促进高质量发展[5 -6 ] 、高质量发展的水平与其路径选择[7 ] 以及空间格局演进[8 ] 。然而,聚焦于黄河流域,系统考察数字新基建对高质量发展的作用机制(特别是技术创新和产业结构升级的双重传导路径)及其空间溢出效应的研究尚显不足。因此,本文基于黄河流域九省(区)2013—2023年省级面板数据,测度数字新基建发展水平和高质量发展水平,检验了数字新基建对高质量发展的促进作用、重要机制以及空间溢出效应。
1 理论分析
1.1 数字新基建促进黄河流域高质量发展
黄河流域包括青海、四川、甘肃、宁夏、内蒙古、陕西、山西、河南和山东9个省(区),拥有总量丰富但分布失衡的要素禀赋,受制于经济结构和自然地理条件,经济社会发展相对滞后[8 ] ,流域产业结构相对单一,存在产业同质化问题[9 ] 。流域各省(区)资源禀赋、经济基础和经济发展水平、宏观发展战略存在差异[6 ] ,中上游的7个省(区)长期处于发展不充分水平,与下游地区以及其他东部沿海发达地区相比差距显著[10 ] 。流域内部各区域之间多维(经济-生态-福利)失衡问题是制约流域整体发展的重要因素,需要借助数字新基建充分发挥数字牵引优势,打破地理位置限制,推动产业数字化转型,实现流域发展范式转变,从而促进高质量发展。
信息基础设施通过引入人工智能、区块链等自动化和智能化技术提高了信息收集效率,同时以数字化和智能化手段减少信息不对称、降低交易成本,提高经济运行的效率和稳定性。如黄河流域上游地区部署低功耗广域物联网、中游地区建设量子通信干线等信息基础设施建设极大提升了流域信息传输效率,促进了信息共享,降低了信息获取成本。融合基础设施将数字要素和数字技术应用于市场化交易活动,优化了劳动、资本等生产要素的配置,如黄河流域智慧水务平台提升了农业用水效率,资源高效配置促进全要素生产率的提升,深刻影响着经济发展和社会生活,已成为构建全国统一大市场、助力产业结构升级与推动经济动能转换的关键驱动[11 ] 。创新基础设施通过整合技术、信息、网络等提供新的生产要素,创造新的生产可能性。技术创新促进资源流动和城市发展,良好的基础设施能够吸引人才、留住人才,高技能人才是促使城市实现高质量发展的重要因素[12 ] ,以数字新基建创新人才培养为抓手,高校培养大量数字化人才,科研机构提供技术支撑,企业技术需求推动自主创新与技术进步,产学研合作模式加速科技成果转化和应用,推动产业升级和经济进步。黄河流域数字孪生实验室、人工智能产业创新园等的实践,为流域高质量发展提供了强有力的支撑。
坚持新发展理念与推动高质量发展是内在统一的,要始终以新发展理念的内在统一来把握发展、衡量发展、推动发展[13 ] 。从创新发展的角度看,数字新基建以核心层、外延层以及辐射层技术创新赋能高质量发展。协调发展注重解决发展不平衡不充分的问题,数字新基建以信息技术为载体,打破地理位置的制约壁垒,优化了空间布局,具有空间溢出效应,推动区域协调发展促进资源的合理配置和高效利用。同时,兼顾发展与保护的动态协调,区域发展的城乡及产业协调[7 ] 。在协调发展中,数字新基建形成区域协同网络、农村电商体系,提升乡村产业链价值捕获能力,以及虚实经济协调来促进高质量发展。在绿色发展中,数字新基建表现为数字控碳,如能源互联网全链条智能调控,区块链溯源技术支撑再生资源交易的材料循环,以及绿色算力体系助力高质量发展。数字新基建本身具有“碳减排”效应,能减轻传统基础设施对生态环境的破坏,并推动经济向低碳模式转型。同时,绿色技术进步通过提升能效、减少排放,加快低碳技术产业化应用,促进环境可持续发展[14 ] ,实现经济发展与环境保护的良性互动。随着数字新基建的发展,数据要素使国家间的贸易成本、贸易门槛降低[6 ] ,对外开放程度加深。数字丝路建设(跨境数据流动试点推动“一带一路”数字贸易以及数字平台形成文化输出新载体)重塑全球数字服务贸易格局,推动高质量发展。从共享的角度看,数字新基建以数字技术通过信息共享和知识共享,有效激发了人民参与高质量发展的积极性,同时,依托数字化手段推动公共服务均等化,弥合了教育鸿沟,创新性地培育了新型数字就业形态并通过5G+银发经济覆盖老年用户,为高质量发展提供了可持续的数字支撑。
基于此,提出研究假设H1:黄河流域数字新基建对高质量发展有显著的促进作用。
1.2 机制分析
1.2.1 数字新基建加快黄河流域技术创新
数字新基建有效推动流域内技术创新和进步,进而助推高质量发展。技术创新是支撑战略性新兴产业崛起与发展的核心动能[15 ] ,数字新基建不断发展的过程中以技术创新为核心,将创新成果应用于实际生活中,表现为数字产业化和产业数字化[16 ] 。同时,数字新基建自身蕴含创新特性,可通过技术手段融合、改造和优化传统生产要素[17 ] ,降低技术研发成本、形成高效率协同创新模式、缩短研发周期等方式促进技术创新[18 ] 。具体而言,数字新基建的技术创新特征表现为核心层技术创新、外延层技术创新以及辐射层技术创新三方面。5G、工业互联网、人工智能等为基础的核心层技术创新,提供了底层技术支撑,这些技术通过提高生产效率、降低能源消耗、促进数字化转型等途径,推动经济社会高质量发展。基于数字新基建衍生出的配套基础设施的外延层技术创新,如工业机器人的使用扩大企业产出规模、增加新企业进入和带动机器人相关产业链发展,促使企业结构调整以进一步提高生产率、提高创新水平[19 ] 。经过数字化、智能化改造的传统基建设施的辐射层技术创新,如传统基建中数字化施工建设、智慧城市等,提升了传统基建的效率和应用水平。可以看出,数字新基建能够促进各类创新,不同类型的数字技术创新成果可能对企业全要素生产率带来不同程度的影响,表现为底层技术层面的主流数字技术方向和实践应用层面的数字技术应用[20 ] ,使得技术创新有效促进流域高质量发展。
基于此,提出研究假设H2:数字新基建可通过加快技术创新推动高质量发展。
1.2.2 数字新基建加快黄河流域产业结构升级
5G等数字新基建通过加速区域间知识技术扩散,能有效促进产业结构升级,为高质量发展赋能[2 ] 。数字技术有利于专业化、多元化的分工与协作,有助于黄河流域传统产业的全方位改造,释放结构红利,从而驱动黄河流域经济高质量发展[6 ] 。一方面,数字新基建加速传统产业数字化、智能化转型。通过工业互联网、物联网、AI等技术,实现生产流程的智能化、供应链协同优化,推动制造业向“智能制造”转型,降低能耗和成本,提升产品附加值;利用大数据、区块链等技术实现精准农业,优化产销对接,提升农业产业链效率;通过远程医疗、在线教育、智慧物流等新模式,推动服务业向高端化、个性化发展。另一方面,数字新基建催生新产业、新业态,优化产业结构。5G、云计算、AI等技术的普及催生了人工智能、大数据服务、自动驾驶、元宇宙等新赛道,形成新的经济增长点;依托数字平台整合资源,如电商、共享出行,重构传统产业链,提升资源配置效率;数据成为关键生产要素,推动数字经济规模扩大,逐步替代传统低效产业。数字新基建通过技术赋能、效率提升和模式创新,能够从多个维度促进产业结构升级,进而助力高质量发展。
基于此,提出研究假设H3:数字新基建可通过加快产业结构升级推动高质量发展。
1.3 数字新基建对黄河流域高质量发展的空间溢出
数字新基建已经成为国家重大发展战略,是中国加强建设数字中国的重大举措,依托信息化技术示范区的带动作用,能增强区域联动与产业高级化效应,并通过结构创新持续放大经济增长动能[17 ] 。数字新基建主要通过要素流动带动欠发达地区的基础设施建设[3 -4 ] 。具体空间溢出效应表现在两方面:一是随着数字新基建建设水平的不断推进,以信息化知识传播为主的数字要素发挥关键影响,数实融合模式打破地理距离的制约,推动区域间劳动、技术等要素的流动,从而助力相邻省份的高质量发展;二是伴随区域一体化程度的加深,经济发达省份依托数字新基建外溢效应,发挥示范带头作用,推动外围欠发达地区发展[21 ] ,扎实推进邻近地区高质量发展。相关研究中,数字新基建的发展基本表现为正向空间溢出效应[3 -4 ,17 ,21 -24 ] ,在促进高质量发展[3 -4 ] 、经济协调发展[17 ] 中存在显著的正向空间溢出效应,具体表现为信息基础设施驱动效应最显著,融合基础设施、创新基础设施的驱动效应短时间内难以凸显[3 ] ,信息基建和创新基建效应显著为正且基本相同,而融合基建对高质量发展的推动作用不明显[4 ] ,融合基础设施有显著促进作用,信息基础设施和创新基础设施无溢出效应[17 ] 。有关空间溢出的负向效应,有研究认为数据量的增加抑制了周边省份的经济增长,缘于数据外溢作用有限[25 ] ,以及所有制结构在考虑经济因素的空间权重矩阵设定下具有较弱的负向影响[26 ] 。可见,数字新基建在空间层面能够带来正向的溢出效应,助力高质量发展。
基于此,提出研究假设H4:数字新基建对高质量发展具有正向空间溢出效应。
2 研究设计
2.1 模型选择
2.1.1 基准模型
H q d i t = α 0 + α 1 D n i i t + α c C i t + μ i + δ i + ε i t (1)
式中:i 、t 分别为省(区)、年份序号;Hqdit 代表被解释变量,即高质量发展水平;α 0 为常数项;α 1 为待估系数;Dniit 指代核心解释变量,即数字新基建水平;Cit 是控制变量;μ i 为不随时间变化的个体固定效应;δ i 为省(区)i 控制时间固定效应;εit 为随机误差项。
2.1.2 中介效应模型
I n n i t = β 0 + β 1 D n i i t + β c C i t + μ i + δ i + ε i t (2)
I s u i t = β 0 + β 1 D n i i t + β c C i t + μ i + δ i + ε i t (3)
I s r i t = β 0 + β 1 D n i i t + β c C i t + μ i + δ i + ε i t (4)
式中:β 1 度量了数字新基建对中介变量产生的影响;Innit 、Isuit 、Isrit 分别表示i 地区第t 年的技术创新水平、产业结构高级化水平和产业结构合理化水平,其余变量含义同式(1)。
2.2 变量选取与说明
被解释变量:各省(区)高质量发展水平(Hqd )。参考现有研究成果,依据新发展理念设计高质量发展评价指标体系,并运用熵值法确定指标权重(表1 )。
核心解释变量:各省(区)数字新基建水平(Dni )。2020年4月,国家发展改革委明确将数字新基建划分为信息基础设施、融合基础设施和创新基础设施三大类[3 ,27 ] 。从3个子维度(后文简称为信息基建、融合基建、创新基建)构建评价指标体系,采用熵值法进行赋权,评价指标体系如表2 所列。
控制变量:金融发展水平(fin )以金融机构年末各项贷款余额与生产总值的比值来表示;环境规制水平(env )以各省(区)工业污染治理投资额占工业增加值的比重表示;城镇化水平(urb )以年末城镇人口与总人口的比值来表示;政府干预程度(gov )以政府财政支出占地区生产总值比重来表示;失业水平(une )以年末省(区)登记失业率表示。
中介变量:借鉴已有文献,采用创新专利申请数作为技术创新水平(Inn )的衡量指标[28 ] ,产业结构升级通过高级化(Isu )和合理化(Isr)两个维度测度:Isu 以第三产业与第二产业增加值之比表征;Isr 则取泰尔指数(TL )的倒数,其值越大表明产业结构越合理[2 ] ,计算公式如下:
I s r = 1 T L = 1 ∑ i = 1 3 Y i Y l n Y i L i / Y L ( i = 1,2 , 3 ) (5)
式中:Isr 为产业结构合理化指数;TL 为泰尔指数;Yi 、Li 分别为第i 产业的增加值和就业人数;Y 、L 则对应各省(区)的生产总值与就业总人数。
2.3 数据来源
根据数字新基建发展情况,本文的研究时段为2013—2023年,数据源自《中国统计年鉴》《中国科技统计年鉴》《中国教育科技统计年鉴》《中国城乡统计年鉴》和中国工业和信息化部、国家统计局网站等。其中,邮电业务总量指标2023年数据缺失、新能源汽车充电桩数量指标和科学研究与技术服务业企业数量指标2013年和 2014年数据缺失、失业率变量2022年和2023年数据缺失,上述数据中存在的缺失值使用向前填充、向后填充以及均值法进行补齐。
核心变量的描述性统计显示:高质量发展水平(最大值:217 867.4,最小值:4 171.372)、数字新基建(最大值:101 738.8,最小值:569.3502)、技术创新(最大值:424 640,最小值:1 099)以及产业结构高级化与合理化指数,在各省(区)间均呈现显著差异。
3 实证分析
3.1 基准回归结果
表3 列(1)和列(2)分别展示了未纳入控制变量及纳入全部控制变量时,黄河流域数字新基建对高质量发展的基准回归结果。回归系数均统计显著,证实数字新基建对黄河流域高质量发展具有促进作用,假设H1得证。黄河流域上游(青海、四川、甘肃、宁夏)、中游(内蒙古、陕西、山西)、下游(河南、山东)各省区资源禀赋、经济发展、基础设施建设存在较大差异,可能会导致数字新基建对高质量发展的影响存在流域差异,因此分别进行回归,列(3)~(5)是回归结果。上游省(区)数字新基建对高质量发展的影响显著为正(P <0.01),说明上游省(区)以能源、矿产、农牧业为主,传统产业升级需求迫切,数字新基建能直接赋能,同时上游地区享受“西部大开发”“东数西算”等政策红利,数字新基建投资强度高。
数字新基建的不同维度对高质量发展的影响可能不同,表4 列(1)~(3)是信息基建、融合基建与创新基建对黄河流域高质量发展的影响系数,均在1%水平上统计显著,表明三者均对高质量发展产生了显著的促进作用,赋能效应表现为创新基建大于融合基建,融合基建大于信息基建。其中,创新基建的估计系数为2.863,对流域高质量发展的助力作用最强,原因在于创新基建是破解流域发展瓶颈的关键抓手,是流域内传统产业转型升级的核心动力,推动产业向高端化发展,更有效地助力于高质量发展。
3.2 稳健性检验
采用核心解释变量滞后一期、缩尾处理以及替换解释变量的测度方法进行稳健性检验,结果如表4 列(4)~(6),列(6)采用主成分分析法代替熵值法重新计算得到数字新基建发展指数,其中,信息基础设施权重为40.25%,融合基础设施权重为23.26%,创新基础设施权重为36.49%。以上3种方法回归结果均通过1%显著性水平检验,说明数字新基建的发展依然能够对高质量发展起到显著的正向作用,与基准回归结果一致。
借助两阶段最小二乘法,将1984年邮局数作为工具变量,使用工具变量法降低由双向因果及遗漏变量所引发的估计结果偏误[27 ] 。第一阶段工具变量估计系数为2.7913,且F统计量通过显著性检验,可排除弱工具变量可能性[14 ] (表5 )。采用工具变量法后,数字新基建的系数在1%水平上依然显著为正,说明其对高质量发展仍存在稳健的积极影响。
3.3 异质性检验
按照流域的资源依赖差异,各省(区)对自然资源,尤其是能源矿产、水资源的经济依赖程度不同,根据能源矿产经济占比、资源开发强度以及产业结构单一性,黄河流域九省(区)资源依赖性程度可分为高、中、低三组,高度资源依赖性省(区)以能源矿产为主导,能源采掘业占工业增加值与地区生产总值的比重超过30%,是财政核心支柱,水资源开发利用率超过80%,而且以煤炭、煤化工为主;中度资源依赖性省(区)能源产业占比10%~25%,水资源开发利用率为40%~60%,有资源集群但深加工不足;低度资源依赖性省(区)能源产业占比小于10%,水资源开发利用率为20%~35%,经济以制造业、服务业为主导。据此将黄河流域九省(区)分为高度资源依赖性省区(内蒙古、宁夏、山西、陕西)、中度资源依赖性省区(青海、甘肃、四川)和低度资源依赖性省区(河南、山东)。按照流域的人力资本存量差异,各省(区)劳动力素质与创新能力不同,根据教育资本、创新资本以及人才聚集,黄河流域九省(区)人力资本存量省(区)程度可分为高、中、低三组,高人力资本存量省(区)高等教育资源密集、创新产业集聚且研发投入占比高,高等教育毛入学率超过60%,R&D经费投入强度超过2.4%,科技从业人员占比超过3%;中人力资本存量省(区)高校数量较多但质量梯度明显,高等教育毛入学率为51%~55%,R&D经费投入强度为0.9%~2.3%,科技从业人员占比偏低;低人力资本存量省(区)高技能人才外流严重、教育资源薄弱且创新投入不足,高等教育毛入学率小于51%,R&D经费投入强度为0.9%左右,高技能人才占比偏低。据此将黄河流域九省(区)分为高人力资本存量省区(陕西、山东)、中人力资本存量省区(内蒙古、四川、河南)和低人力资本存量省区(青海、甘肃、宁夏、山西)。回归结果如表6 所列,列(2)(5)表明中度资源依赖省(区)、中人力资本存量省(区)数字新基建的影响更为显著,这可能是因为中度资源依赖性省(区)面临资源枯竭和环境污染压力,资源约束倒逼转型,转型压力与转型能力匹配,数字新基建可以通过工业互联网等提升资源利用效率并推动资源深加工来延长产业链,发挥杠杆效应,而高度资源依赖性省(区)受制于产业刚性锁定,数字化投入难以突破传统路径依赖,低度资源依赖性省(区)原有产业体系成熟,数字新基建的边际效益递减;中人力资本存量省(区)既拥有支撑技术应用的劳动力基础,又存在通过数字化实现跨越式发展的迫切需求,在人力成本优势和产业升级需求的精准匹配下,数字新基建通过技术代替人力短板,缓解人力资本“量不足、质不高”的约束,从而降低对高端人才的绝对依赖,快速提升了劳动力技能水平,而高人力资本存量省(区)技术应用饱和且创新成本攀升,创新投入边际递减,数字新基建投入陷入“精度竞赛”,低人力资本存量省(区)技能缺口形成硬约束,陷入“有设备无人才”困境,制约技术落地。
3.4 影响机制检验
利用模型(2)(3)(4)分别检验了数字新基建能否通过技术创新、产业结构升级促进黄河流域高质量发展,回归结果见表7 ,系数均显著。数字新基建能够通过促进技术创新、产业结构升级推动高质量发展,原因是技术进步和结构调整可以充分挖掘“技术红利”和“结构红利”,把握中国经济高质量发展基本走向[26 ] 。数字技术的深度应用推动生产要素与生产关系的数字化变革,有效降低经济活动的搜索、复制、传递、跟踪及验证成本,进而推动经济社会发展模式转型[20 ] 。数字新基建依托数字技术与设备[27 ] ,促进数实融合、突破基础技术,数据要素市场化配置效率提升。技术创新具有溢出效应[29 ] ,助力地区技术融合创新并使创新成果沿产业链多级扩散,为高质量发展实现赋能,假设H2得证。数据要素赋能产业结构的变迁,带来效率的提升[30 ] ,实现人、机、物的深度互联以及全要素、全产业链、全价值链的全面连接,在更大范围内整合资源,促进专业分工,实现优势互补[17 ] 。数字新基建为传统产业提供了新的升级路径,促进新兴产业和未来产业的快速发展,以数字技术产业化、市场化推动产业结构升级[2 ] ,形成兼具范围经济、规模经济以及长尾效应的经济环境[6 ] ,助力经济高质量发展,假设H3得证。
4 进一步分析
4.1 空间计量模型
选取邻接权重矩阵W 1 、反距离权重矩阵W 2 [31 ] 两个空间权重矩阵,在式(1)基础上构建空间计量模型:
H q d i t = α 0 + ρ W H q d i t + ϕ 1 W D n i i t + α 1 D n i i t + ϕ C W C i t + α c C i t + μ i + δ i + ε i t (6)
式中:W 表示空间权重;ρ 代表空间自回归系数,其余变量含义同式(1)。
W 1 = 1 , 省份 i 与省 份 j 相邻 0 , 省份 i 与省 份 j 不相 邻 其中 i ≠ j (7)
W 2 = 1 / d i j , i ≠ j 0 , i = j (8)
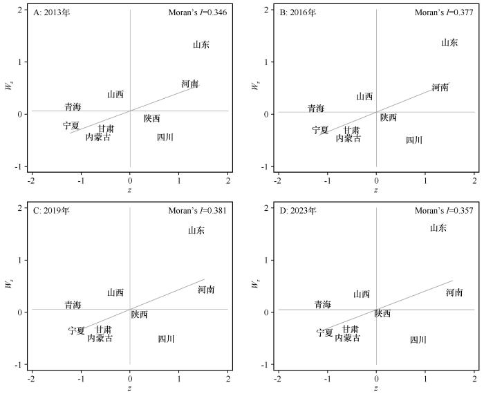
使用莫兰指数(Moran's I )检验各省(区)的高质量发展水平之间的空间依赖性,计算得出2013—2023年黄河流域各省(区)高质量发展水平的莫兰指数均为正值,且通过5%显著性水平检验,表明黄河流域各省(区)间存在显著的空间正相关性。本文使用W 1 为例,绘制了2013、2016、2019、2023年流域高质量发展水平的局部莫兰散点图(图1 ),横坐标代表省(区)的高质量发展水平,纵坐标代表高质量发展水平的空间滞后项。绝大部分省(区)位于第一象限和第三象限,高质量发展水平较高的省(区)的周边地区高质量发展水平也较高,如山东、河南等地,高质量发展水平较低的省(区),其邻近区域的发展水平也往往偏低,如内蒙古、宁夏和甘肃,呈现高高聚集和低低聚集的特征,表明各省(区)高质量发展水平在空间上具有正相关性。
图1
图1
高质量发展水平莫兰散点图
Fig.1
Moran scatter plot of high-quality development level
4.2 空间溢出效应
经LM检验、LR检验和WALD检验之后选择空间杜宾模型(SDM),将对被解释变量的影响总效应分解为直接效应和间接效应,效应分解估计结果如表8 所列,在使用两种空间权重矩阵的情况下,数字新基建的直接效应、间接效应以及总效应系数均显著大于零,表明本地区数字新基建的发展有助于提高本地区的高质量发展水平,而且有利于提高邻近地区的高质量发展水平,即数字新基建发展水平对高质量发展具有正向的空间溢出效应,假设H4得证。
5 结论与讨论
5.1 结论
数字新基建是推动经济高质量发展、培育新质生产力的基础支撑和重要动力,对于黄河流域生态保护和高质量发展具有重要意义。研究发现,黄河流域数字新基建能够显著促进高质量发展,而且创新基础设施的作用大于融合基础设施,而融合基础设施的作用又大于信息基础设施。这一结论明显区别于长江流域信息基础设施更为重要的结论[4 ] ,表明数字新基建在促进经济高质量发展过程中内部结构所呈现出的异质性,同时也意味着黄河流域各省(区)应该更加重视以重大科技基础设施、产业技术创新平台等为代表、直接赋能前沿科技突破和原始创新的“创新基础设施”。同样不同于长江流域,数字新基建对于黄河流域上游地区高质量发展促进作用更明显。异质性分析表明,数字新基建的促进作用在中度资源依赖性省(区)和中人力资本存量省(区)表现最为强劲。它表明数字新基建并没有在黄河流域“平均发力”,而是对处于特定转型阶段(资源依赖中等、具备一定但非顶尖人力基础)的区域具有更强的“催化”和“赋能”效应。技术创新、产业结构升级是数字新基建助力高质量发展的重要传导机制。同时,黄河流域各省(区)数字新基建对高质量发展也具有正向空间溢出效应,这与全国、长江流域研究的结论一致,一个省(区)的数字新基建投入不仅能提升本地发展质量,还能辐射带动邻近省(区)。这一发现有力支持了区域协调发展战略,它从空间维度拓展了我们对数字新基建效益的理解,为构建“流域数字共同体”提供了科学支撑。
5.2 进一步的讨论
本文的理论分析和实证检验都表明数字新基建对黄河流域高质量发展的促进作用,尤其是创新基础设施的突出贡献及其空间溢出效应,这些为促进区域高质量发展和新质生产力培育提供了实证支持。在当前国家大力推进“数字中国”“黄河流域生态保护和高质量发展”等战略背景下,黄河流域各省(区)应差异化推进数字新基建,尤其加强对上游地区和中度资源依赖省份的创新基础设施投入,发挥其“杠杆效应”和“催化作用”。
同时,数字新基建是落实黄河流域生态保护和高质量发展国家战略的重要抓手,许多问题有待深入研究:第一,深化数字新基建—区域转型能力匹配机制的研究。本文发现数字新基建对中度资源依赖和中等人力资本省份作用最显著,这表明数字新基建效果的发挥或许存在“窗口期”或“转型区间”,需要构建数字新基建—制度环境—要素结构的匹配模型,来识别不同发展阶段省份的最优数字投资结构与政策组合,尤其要关注如何通过数字技术缓解黄河流域资源型地区的“制度锁定”和“人才流失”问题。第二,不断丰富数字新基建赋能高质量发展的机制研究。在现有理论框架基础上,本研究分析技术创新、产业结构升级的作用路径,后续研究可构建其他变量评价体系,进一步丰富其机制渠道,同时引入非传统数据源使其在维度、权重方面更为系统全面,以提升测度的准确性与时效性。第三,关注数字新基建对区域公平与包容性发展的影响。本文证实了空间溢出效应(据此可依托郑州、济南、西安等流域中心城市,增强其对周边中小城市的技术辐射与产业带动能力),但未深入分析其分配效应,未来应关注数字新基建是否可能加剧某些地区的“数字鸿沟”或“技术边缘化”,尤其关注农村地区、老年群体、中小企业在数字化转型中的可获得性与适应性,探索如何通过治理创新(如数据普惠、数字公共服务均等化)增强包容性。第四,探索数字新基建与重大战略的联动机制。例如,如何通过“东数西算”工程推动黄河流域算力基础设施与能源结构的优化耦合;如何借助“一带一路”倡议推动跨境数字贸易与数字丝路建设;如何在“双碳”目标下实现数字新基建的绿色低碳转型与绿色算力体系建设等。
综上所述,数字新基建的研究应当从单一的效益—成本分析走向多维度、多尺度、多目标的系统治理框架,需要借助经济学、环境科学、数据科学等多学科方法,构建能够反映数字—实体—制度复杂互动的理论模型,积极开展基于大数据的实时监测和政策模拟,以更加精准和动态地支撑黄河流域乃至全国的高质量发展决策。
参考文献
View Option
[1]
谭皓方 ,张守夫 .数字新基建、金融资源配置与经济高质量发展
[J].云南民族大学学报(哲学社会科学版) ,2023 ,40 (1 ):134 -142 .
[本文引用: 2]
[2]
罗玉明 .数字新基建、产业结构升级与经济高质量增长
[J].技术经济与管理研究 ,2023 (12 ):40 -44 .
[本文引用: 4]
[3]
李海刚 .数字新基建、空间溢出与经济高质量发展
[J].经济问题探索 ,2022 (6 ):28 -39 .
[本文引用: 7]
[4]
汤学兵 ,张守磊 ,洪建国 .长江经济带数字新基建对高质量发展的影响
[J].开发研究 ,2024 (4 ):50 -62 .
[本文引用: 6]
[5]
任保平 ,巩羽浩 .数字经济助推黄河流域高质量发展的路径与政策
[J].经济问题 ,2023 (2 ):15 -22 .
[本文引用: 1]
[6]
王军 ,夏修燕 ,车帅 .数字经济赋能黄河流域高质量发展的内在机理与实证检验
[J].人民黄河 ,2024 ,46 (6 ):8 -13 .
[本文引用: 5]
[7]
任保平 ,付雅梅 ,杨羽宸 .黄河流域九省区经济高质量发展的评价及路径选择
[J].统计与信息论坛 ,2022 ,37 (1 ):89 -99 .
[本文引用: 2]
[8]
郝金连 ,王利 ,孙根年 ,等 .黄河流域高质量发展空间格局演进:基于新发展理念视角
[J].中国沙漠 ,2022 ,42 (6 ):266 -276 .
[本文引用: 2]
[9]
苏耀华 ,赵鹏睿 ,柳江 .黄河流域数字经济与制造业高质量发展耦合协调及其障碍因子
[J].中国沙漠 ,2024 ,44 (6 ):268 -276 .
[本文引用: 1]
[10]
柳江 ,李志花 .黄河流域经济社会与生态环境协调发展特征
[J].中国沙漠 ,2023 ,43 (6 ):51 -59 .
[本文引用: 1]
[11]
王正 ,左文进 .数字新基建、要素市场化与中国制造业价值链升级
[J].技术经济与管理研究 ,2024 (7 ):76 -83 .
[本文引用: 1]
[12]
焦豪 ,崔瑜 ,张亚敏 .数字基础设施建设与城市高技能创业人才吸引
[J].经济研究 ,2023 ,58 (12 ):150 -166 .
[本文引用: 1]
[13]
中国社会科学院经济研究所课题组 .新征程推动经济高质量发展的任务与政策
[J].经济研究 ,2023 ,58 (9 ):4 -21 .
[本文引用: 1]
[14]
张彧 .数字新基建、绿色技术进步与低碳经济转型
[J].经济经纬 ,2024 ,41 (1 ):57 -69 .
[本文引用: 2]
[15]
余萍 ,徐之琦 .数字新基建对战略性新兴产业绿色技术创新效率的影响
[J].工业技术经济 ,2023 ,42 (1 ):62 -70 .
[本文引用: 1]
[16]
陈雨露 .数字经济与实体经济融合发展的理论探索
[J].经济研究 ,2023 ,58 (9 ):22 -30 .
[本文引用: 1]
[17]
程云洁 ,王佩佩 .数字新基建对区域经济协调发展的影响研究
[J].技术经济与管理研究 ,2023 (7 ):109 -114 .
[本文引用: 6]
[18]
霍春辉 ,吕梦晓 ,张银丹 .数字新基建对国内价值链循环的影响研究
[J].当代财经 ,2023 (2 ):120 -131 .
[本文引用: 1]
[19]
李建军 ,吴周易 .机器人使用的税收红利:基于新质生产力视角
[J].管理世界 ,2024 ,40 (6 ):1 -15 .
[本文引用: 1]
[20]
黄勃 ,李海彤 ,刘俊岐 ,等 .数字技术创新与中国企业高质量发展:来自企业数字专利的证据
[J].经济研究 ,2023 ,58 (3 ):97 -115 .
[本文引用: 2]
[21]
王亚健 .数字新基建对中国式现代化发展的赋能效应研究
[J].技术经济与管理研究 ,2024 (5 ):51 -56 .
[本文引用: 2]
[22]
康超 .农村普惠金融、资源错配与城乡经济融合:兼论数字新基建的调节效应
[J].中国流通经济 ,2022 ,36 (12 ):102 -113 .
[23]
杨明霞 .数字新基建、创新创业活跃度与共同富裕
[J].技术经济与管理研究 ,2024 (1 ):51 -58 .
[24]
段洪成 ,武文 ,柳佳 .数字新基建、要素配置效率与中国式农业农村现代化
[J].管理现代化 ,2024 ,44 (2 ):28 -37 .
[本文引用: 1]
[25]
刘涛雄 ,张亚迪 ,戎珂 ,等 .数据要素成为中国经济增长新动能的机制探析
[J].经济研究 ,2024 ,59 (10 ):19 -36 .
[本文引用: 1]
[26]
邵帅 ,范美婷 ,杨莉莉 .经济结构调整、绿色技术进步与中国低碳转型发展:基于总体技术前沿和空间溢出效应视角的经验考察
[J].管理世界 ,2022 ,38 (2 ):46 -69 .
[本文引用: 2]
[27]
吕锡月 ,吴俊杰 .数字新基建、现代产业体系构建与共同富裕
[J].统计与决策 ,2024 ,40 (18 ):22 -27 .
[本文引用: 3]
[28]
朱洁西 ,李俊江 .数字经济、技术创新与城市绿色经济效率:基于空间计量模型和中介效应的实证分析
[J].经济问题探索 ,2023 (2 ):65 -80 .
[本文引用: 1]
[29]
郭娜 ,李悦欣 .数字经济、技术创新与现代服务业高质量发展:基于我国省级面板数据的实证分析
[J].创新科技 ,2023 ,23 (9 ):48 -58 .
[本文引用: 1]
[30]
陈晓佳 ,徐玮 .数据要素、交通基础设施与产业结构升级:基于量化空间一般均衡模型分析
[J].管理世界 ,2024 ,40 (4 ):78 -98 .
[本文引用: 1]
[31]
倪宣明 ,周祖强 ,姜淼 ,等 .科技金融对技术创新的空间溢出效应研究
[J].系统工程理论与实践 ,2025 ,45 (6 ):1729 -1744 .
[本文引用: 1]
数字新基建、金融资源配置与经济高质量发展
2
2023
... 数字新基建与高质量发展存在深度关联,数字新基建有利于促进经济高质量发展[1 -3 ] ,其作用机制包括数字普惠金融和产业转型升级[1 -2 ] .同时,数字新基建可借助空间溢出效应促进其他地区经济高质量发展[3 ] .长江经济带数字新基建促进了区域高质量发展但存在区域差异[4 ] .针对黄河流域,已有研究关注了数字经济如何促进高质量发展[5 -6 ] 、高质量发展的水平与其路径选择[7 ] 以及空间格局演进[8 ] .然而,聚焦于黄河流域,系统考察数字新基建对高质量发展的作用机制(特别是技术创新和产业结构升级的双重传导路径)及其空间溢出效应的研究尚显不足.因此,本文基于黄河流域九省(区)2013—2023年省级面板数据,测度数字新基建发展水平和高质量发展水平,检验了数字新基建对高质量发展的促进作用、重要机制以及空间溢出效应. ...
... [1 -2 ].同时,数字新基建可借助空间溢出效应促进其他地区经济高质量发展[3 ] .长江经济带数字新基建促进了区域高质量发展但存在区域差异[4 ] .针对黄河流域,已有研究关注了数字经济如何促进高质量发展[5 -6 ] 、高质量发展的水平与其路径选择[7 ] 以及空间格局演进[8 ] .然而,聚焦于黄河流域,系统考察数字新基建对高质量发展的作用机制(特别是技术创新和产业结构升级的双重传导路径)及其空间溢出效应的研究尚显不足.因此,本文基于黄河流域九省(区)2013—2023年省级面板数据,测度数字新基建发展水平和高质量发展水平,检验了数字新基建对高质量发展的促进作用、重要机制以及空间溢出效应. ...
数字新基建、产业结构升级与经济高质量增长
4
2023
... 数字新基建与高质量发展存在深度关联,数字新基建有利于促进经济高质量发展[1 -3 ] ,其作用机制包括数字普惠金融和产业转型升级[1 -2 ] .同时,数字新基建可借助空间溢出效应促进其他地区经济高质量发展[3 ] .长江经济带数字新基建促进了区域高质量发展但存在区域差异[4 ] .针对黄河流域,已有研究关注了数字经济如何促进高质量发展[5 -6 ] 、高质量发展的水平与其路径选择[7 ] 以及空间格局演进[8 ] .然而,聚焦于黄河流域,系统考察数字新基建对高质量发展的作用机制(特别是技术创新和产业结构升级的双重传导路径)及其空间溢出效应的研究尚显不足.因此,本文基于黄河流域九省(区)2013—2023年省级面板数据,测度数字新基建发展水平和高质量发展水平,检验了数字新基建对高质量发展的促进作用、重要机制以及空间溢出效应. ...
... 5G等数字新基建通过加速区域间知识技术扩散,能有效促进产业结构升级,为高质量发展赋能[2 ] .数字技术有利于专业化、多元化的分工与协作,有助于黄河流域传统产业的全方位改造,释放结构红利,从而驱动黄河流域经济高质量发展[6 ] .一方面,数字新基建加速传统产业数字化、智能化转型.通过工业互联网、物联网、AI等技术,实现生产流程的智能化、供应链协同优化,推动制造业向“智能制造”转型,降低能耗和成本,提升产品附加值;利用大数据、区块链等技术实现精准农业,优化产销对接,提升农业产业链效率;通过远程医疗、在线教育、智慧物流等新模式,推动服务业向高端化、个性化发展.另一方面,数字新基建催生新产业、新业态,优化产业结构.5G、云计算、AI等技术的普及催生了人工智能、大数据服务、自动驾驶、元宇宙等新赛道,形成新的经济增长点;依托数字平台整合资源,如电商、共享出行,重构传统产业链,提升资源配置效率;数据成为关键生产要素,推动数字经济规模扩大,逐步替代传统低效产业.数字新基建通过技术赋能、效率提升和模式创新,能够从多个维度促进产业结构升级,进而助力高质量发展. ...
... 中介变量:借鉴已有文献,采用创新专利申请数作为技术创新水平(Inn )的衡量指标[28 ] ,产业结构升级通过高级化(Isu )和合理化(Isr)两个维度测度:Isu 以第三产业与第二产业增加值之比表征;Isr 则取泰尔指数(TL )的倒数,其值越大表明产业结构越合理[2 ] ,计算公式如下: ...
... 利用模型(2)(3)(4)分别检验了数字新基建能否通过技术创新、产业结构升级促进黄河流域高质量发展,回归结果见表7 ,系数均显著.数字新基建能够通过促进技术创新、产业结构升级推动高质量发展,原因是技术进步和结构调整可以充分挖掘“技术红利”和“结构红利”,把握中国经济高质量发展基本走向[26 ] .数字技术的深度应用推动生产要素与生产关系的数字化变革,有效降低经济活动的搜索、复制、传递、跟踪及验证成本,进而推动经济社会发展模式转型[20 ] .数字新基建依托数字技术与设备[27 ] ,促进数实融合、突破基础技术,数据要素市场化配置效率提升.技术创新具有溢出效应[29 ] ,助力地区技术融合创新并使创新成果沿产业链多级扩散,为高质量发展实现赋能,假设H2得证.数据要素赋能产业结构的变迁,带来效率的提升[30 ] ,实现人、机、物的深度互联以及全要素、全产业链、全价值链的全面连接,在更大范围内整合资源,促进专业分工,实现优势互补[17 ] .数字新基建为传统产业提供了新的升级路径,促进新兴产业和未来产业的快速发展,以数字技术产业化、市场化推动产业结构升级[2 ] ,形成兼具范围经济、规模经济以及长尾效应的经济环境[6 ] ,助力经济高质量发展,假设H3得证. ...
数字新基建、空间溢出与经济高质量发展
7
2022
... 数字新基建与高质量发展存在深度关联,数字新基建有利于促进经济高质量发展[1 -3 ] ,其作用机制包括数字普惠金融和产业转型升级[1 -2 ] .同时,数字新基建可借助空间溢出效应促进其他地区经济高质量发展[3 ] .长江经济带数字新基建促进了区域高质量发展但存在区域差异[4 ] .针对黄河流域,已有研究关注了数字经济如何促进高质量发展[5 -6 ] 、高质量发展的水平与其路径选择[7 ] 以及空间格局演进[8 ] .然而,聚焦于黄河流域,系统考察数字新基建对高质量发展的作用机制(特别是技术创新和产业结构升级的双重传导路径)及其空间溢出效应的研究尚显不足.因此,本文基于黄河流域九省(区)2013—2023年省级面板数据,测度数字新基建发展水平和高质量发展水平,检验了数字新基建对高质量发展的促进作用、重要机制以及空间溢出效应. ...
... [3 ].长江经济带数字新基建促进了区域高质量发展但存在区域差异[4 ] .针对黄河流域,已有研究关注了数字经济如何促进高质量发展[5 -6 ] 、高质量发展的水平与其路径选择[7 ] 以及空间格局演进[8 ] .然而,聚焦于黄河流域,系统考察数字新基建对高质量发展的作用机制(特别是技术创新和产业结构升级的双重传导路径)及其空间溢出效应的研究尚显不足.因此,本文基于黄河流域九省(区)2013—2023年省级面板数据,测度数字新基建发展水平和高质量发展水平,检验了数字新基建对高质量发展的促进作用、重要机制以及空间溢出效应. ...
... 数字新基建已经成为国家重大发展战略,是中国加强建设数字中国的重大举措,依托信息化技术示范区的带动作用,能增强区域联动与产业高级化效应,并通过结构创新持续放大经济增长动能[17 ] .数字新基建主要通过要素流动带动欠发达地区的基础设施建设[3 -4 ] .具体空间溢出效应表现在两方面:一是随着数字新基建建设水平的不断推进,以信息化知识传播为主的数字要素发挥关键影响,数实融合模式打破地理距离的制约,推动区域间劳动、技术等要素的流动,从而助力相邻省份的高质量发展;二是伴随区域一体化程度的加深,经济发达省份依托数字新基建外溢效应,发挥示范带头作用,推动外围欠发达地区发展[21 ] ,扎实推进邻近地区高质量发展.相关研究中,数字新基建的发展基本表现为正向空间溢出效应[3 -4 ,17 ,21 -24 ] ,在促进高质量发展[3 -4 ] 、经济协调发展[17 ] 中存在显著的正向空间溢出效应,具体表现为信息基础设施驱动效应最显著,融合基础设施、创新基础设施的驱动效应短时间内难以凸显[3 ] ,信息基建和创新基建效应显著为正且基本相同,而融合基建对高质量发展的推动作用不明显[4 ] ,融合基础设施有显著促进作用,信息基础设施和创新基础设施无溢出效应[17 ] .有关空间溢出的负向效应,有研究认为数据量的增加抑制了周边省份的经济增长,缘于数据外溢作用有限[25 ] ,以及所有制结构在考虑经济因素的空间权重矩阵设定下具有较弱的负向影响[26 ] .可见,数字新基建在空间层面能够带来正向的溢出效应,助力高质量发展. ...
... [3 -4 ,17 ,21 -24 ],在促进高质量发展[3 -4 ] 、经济协调发展[17 ] 中存在显著的正向空间溢出效应,具体表现为信息基础设施驱动效应最显著,融合基础设施、创新基础设施的驱动效应短时间内难以凸显[3 ] ,信息基建和创新基建效应显著为正且基本相同,而融合基建对高质量发展的推动作用不明显[4 ] ,融合基础设施有显著促进作用,信息基础设施和创新基础设施无溢出效应[17 ] .有关空间溢出的负向效应,有研究认为数据量的增加抑制了周边省份的经济增长,缘于数据外溢作用有限[25 ] ,以及所有制结构在考虑经济因素的空间权重矩阵设定下具有较弱的负向影响[26 ] .可见,数字新基建在空间层面能够带来正向的溢出效应,助力高质量发展. ...
... [3 -4 ]、经济协调发展[17 ] 中存在显著的正向空间溢出效应,具体表现为信息基础设施驱动效应最显著,融合基础设施、创新基础设施的驱动效应短时间内难以凸显[3 ] ,信息基建和创新基建效应显著为正且基本相同,而融合基建对高质量发展的推动作用不明显[4 ] ,融合基础设施有显著促进作用,信息基础设施和创新基础设施无溢出效应[17 ] .有关空间溢出的负向效应,有研究认为数据量的增加抑制了周边省份的经济增长,缘于数据外溢作用有限[25 ] ,以及所有制结构在考虑经济因素的空间权重矩阵设定下具有较弱的负向影响[26 ] .可见,数字新基建在空间层面能够带来正向的溢出效应,助力高质量发展. ...
... [3 ],信息基建和创新基建效应显著为正且基本相同,而融合基建对高质量发展的推动作用不明显[4 ] ,融合基础设施有显著促进作用,信息基础设施和创新基础设施无溢出效应[17 ] .有关空间溢出的负向效应,有研究认为数据量的增加抑制了周边省份的经济增长,缘于数据外溢作用有限[25 ] ,以及所有制结构在考虑经济因素的空间权重矩阵设定下具有较弱的负向影响[26 ] .可见,数字新基建在空间层面能够带来正向的溢出效应,助力高质量发展. ...
... 核心解释变量:各省(区)数字新基建水平(Dni ).2020年4月,国家发展改革委明确将数字新基建划分为信息基础设施、融合基础设施和创新基础设施三大类[3 ,27 ] .从3个子维度(后文简称为信息基建、融合基建、创新基建)构建评价指标体系,采用熵值法进行赋权,评价指标体系如表2 所列. ...
长江经济带数字新基建对高质量发展的影响
6
2024
... 数字新基建与高质量发展存在深度关联,数字新基建有利于促进经济高质量发展[1 -3 ] ,其作用机制包括数字普惠金融和产业转型升级[1 -2 ] .同时,数字新基建可借助空间溢出效应促进其他地区经济高质量发展[3 ] .长江经济带数字新基建促进了区域高质量发展但存在区域差异[4 ] .针对黄河流域,已有研究关注了数字经济如何促进高质量发展[5 -6 ] 、高质量发展的水平与其路径选择[7 ] 以及空间格局演进[8 ] .然而,聚焦于黄河流域,系统考察数字新基建对高质量发展的作用机制(特别是技术创新和产业结构升级的双重传导路径)及其空间溢出效应的研究尚显不足.因此,本文基于黄河流域九省(区)2013—2023年省级面板数据,测度数字新基建发展水平和高质量发展水平,检验了数字新基建对高质量发展的促进作用、重要机制以及空间溢出效应. ...
... 数字新基建已经成为国家重大发展战略,是中国加强建设数字中国的重大举措,依托信息化技术示范区的带动作用,能增强区域联动与产业高级化效应,并通过结构创新持续放大经济增长动能[17 ] .数字新基建主要通过要素流动带动欠发达地区的基础设施建设[3 -4 ] .具体空间溢出效应表现在两方面:一是随着数字新基建建设水平的不断推进,以信息化知识传播为主的数字要素发挥关键影响,数实融合模式打破地理距离的制约,推动区域间劳动、技术等要素的流动,从而助力相邻省份的高质量发展;二是伴随区域一体化程度的加深,经济发达省份依托数字新基建外溢效应,发挥示范带头作用,推动外围欠发达地区发展[21 ] ,扎实推进邻近地区高质量发展.相关研究中,数字新基建的发展基本表现为正向空间溢出效应[3 -4 ,17 ,21 -24 ] ,在促进高质量发展[3 -4 ] 、经济协调发展[17 ] 中存在显著的正向空间溢出效应,具体表现为信息基础设施驱动效应最显著,融合基础设施、创新基础设施的驱动效应短时间内难以凸显[3 ] ,信息基建和创新基建效应显著为正且基本相同,而融合基建对高质量发展的推动作用不明显[4 ] ,融合基础设施有显著促进作用,信息基础设施和创新基础设施无溢出效应[17 ] .有关空间溢出的负向效应,有研究认为数据量的增加抑制了周边省份的经济增长,缘于数据外溢作用有限[25 ] ,以及所有制结构在考虑经济因素的空间权重矩阵设定下具有较弱的负向影响[26 ] .可见,数字新基建在空间层面能够带来正向的溢出效应,助力高质量发展. ...
... -4 ,17 ,21 -24 ],在促进高质量发展[3 -4 ] 、经济协调发展[17 ] 中存在显著的正向空间溢出效应,具体表现为信息基础设施驱动效应最显著,融合基础设施、创新基础设施的驱动效应短时间内难以凸显[3 ] ,信息基建和创新基建效应显著为正且基本相同,而融合基建对高质量发展的推动作用不明显[4 ] ,融合基础设施有显著促进作用,信息基础设施和创新基础设施无溢出效应[17 ] .有关空间溢出的负向效应,有研究认为数据量的增加抑制了周边省份的经济增长,缘于数据外溢作用有限[25 ] ,以及所有制结构在考虑经济因素的空间权重矩阵设定下具有较弱的负向影响[26 ] .可见,数字新基建在空间层面能够带来正向的溢出效应,助力高质量发展. ...
... -4 ]、经济协调发展[17 ] 中存在显著的正向空间溢出效应,具体表现为信息基础设施驱动效应最显著,融合基础设施、创新基础设施的驱动效应短时间内难以凸显[3 ] ,信息基建和创新基建效应显著为正且基本相同,而融合基建对高质量发展的推动作用不明显[4 ] ,融合基础设施有显著促进作用,信息基础设施和创新基础设施无溢出效应[17 ] .有关空间溢出的负向效应,有研究认为数据量的增加抑制了周边省份的经济增长,缘于数据外溢作用有限[25 ] ,以及所有制结构在考虑经济因素的空间权重矩阵设定下具有较弱的负向影响[26 ] .可见,数字新基建在空间层面能够带来正向的溢出效应,助力高质量发展. ...
... [4 ],融合基础设施有显著促进作用,信息基础设施和创新基础设施无溢出效应[17 ] .有关空间溢出的负向效应,有研究认为数据量的增加抑制了周边省份的经济增长,缘于数据外溢作用有限[25 ] ,以及所有制结构在考虑经济因素的空间权重矩阵设定下具有较弱的负向影响[26 ] .可见,数字新基建在空间层面能够带来正向的溢出效应,助力高质量发展. ...
... 数字新基建是推动经济高质量发展、培育新质生产力的基础支撑和重要动力,对于黄河流域生态保护和高质量发展具有重要意义.研究发现,黄河流域数字新基建能够显著促进高质量发展,而且创新基础设施的作用大于融合基础设施,而融合基础设施的作用又大于信息基础设施.这一结论明显区别于长江流域信息基础设施更为重要的结论[4 ] ,表明数字新基建在促进经济高质量发展过程中内部结构所呈现出的异质性,同时也意味着黄河流域各省(区)应该更加重视以重大科技基础设施、产业技术创新平台等为代表、直接赋能前沿科技突破和原始创新的“创新基础设施”.同样不同于长江流域,数字新基建对于黄河流域上游地区高质量发展促进作用更明显.异质性分析表明,数字新基建的促进作用在中度资源依赖性省(区)和中人力资本存量省(区)表现最为强劲.它表明数字新基建并没有在黄河流域“平均发力”,而是对处于特定转型阶段(资源依赖中等、具备一定但非顶尖人力基础)的区域具有更强的“催化”和“赋能”效应.技术创新、产业结构升级是数字新基建助力高质量发展的重要传导机制.同时,黄河流域各省(区)数字新基建对高质量发展也具有正向空间溢出效应,这与全国、长江流域研究的结论一致,一个省(区)的数字新基建投入不仅能提升本地发展质量,还能辐射带动邻近省(区).这一发现有力支持了区域协调发展战略,它从空间维度拓展了我们对数字新基建效益的理解,为构建“流域数字共同体”提供了科学支撑. ...
数字经济助推黄河流域高质量发展的路径与政策
1
2023
... 数字新基建与高质量发展存在深度关联,数字新基建有利于促进经济高质量发展[1 -3 ] ,其作用机制包括数字普惠金融和产业转型升级[1 -2 ] .同时,数字新基建可借助空间溢出效应促进其他地区经济高质量发展[3 ] .长江经济带数字新基建促进了区域高质量发展但存在区域差异[4 ] .针对黄河流域,已有研究关注了数字经济如何促进高质量发展[5 -6 ] 、高质量发展的水平与其路径选择[7 ] 以及空间格局演进[8 ] .然而,聚焦于黄河流域,系统考察数字新基建对高质量发展的作用机制(特别是技术创新和产业结构升级的双重传导路径)及其空间溢出效应的研究尚显不足.因此,本文基于黄河流域九省(区)2013—2023年省级面板数据,测度数字新基建发展水平和高质量发展水平,检验了数字新基建对高质量发展的促进作用、重要机制以及空间溢出效应. ...
数字经济赋能黄河流域高质量发展的内在机理与实证检验
5
2024
... 数字新基建与高质量发展存在深度关联,数字新基建有利于促进经济高质量发展[1 -3 ] ,其作用机制包括数字普惠金融和产业转型升级[1 -2 ] .同时,数字新基建可借助空间溢出效应促进其他地区经济高质量发展[3 ] .长江经济带数字新基建促进了区域高质量发展但存在区域差异[4 ] .针对黄河流域,已有研究关注了数字经济如何促进高质量发展[5 -6 ] 、高质量发展的水平与其路径选择[7 ] 以及空间格局演进[8 ] .然而,聚焦于黄河流域,系统考察数字新基建对高质量发展的作用机制(特别是技术创新和产业结构升级的双重传导路径)及其空间溢出效应的研究尚显不足.因此,本文基于黄河流域九省(区)2013—2023年省级面板数据,测度数字新基建发展水平和高质量发展水平,检验了数字新基建对高质量发展的促进作用、重要机制以及空间溢出效应. ...
... 黄河流域包括青海、四川、甘肃、宁夏、内蒙古、陕西、山西、河南和山东9个省(区),拥有总量丰富但分布失衡的要素禀赋,受制于经济结构和自然地理条件,经济社会发展相对滞后[8 ] ,流域产业结构相对单一,存在产业同质化问题[9 ] .流域各省(区)资源禀赋、经济基础和经济发展水平、宏观发展战略存在差异[6 ] ,中上游的7个省(区)长期处于发展不充分水平,与下游地区以及其他东部沿海发达地区相比差距显著[10 ] .流域内部各区域之间多维(经济-生态-福利)失衡问题是制约流域整体发展的重要因素,需要借助数字新基建充分发挥数字牵引优势,打破地理位置限制,推动产业数字化转型,实现流域发展范式转变,从而促进高质量发展. ...
... 坚持新发展理念与推动高质量发展是内在统一的,要始终以新发展理念的内在统一来把握发展、衡量发展、推动发展[13 ] .从创新发展的角度看,数字新基建以核心层、外延层以及辐射层技术创新赋能高质量发展.协调发展注重解决发展不平衡不充分的问题,数字新基建以信息技术为载体,打破地理位置的制约壁垒,优化了空间布局,具有空间溢出效应,推动区域协调发展促进资源的合理配置和高效利用.同时,兼顾发展与保护的动态协调,区域发展的城乡及产业协调[7 ] .在协调发展中,数字新基建形成区域协同网络、农村电商体系,提升乡村产业链价值捕获能力,以及虚实经济协调来促进高质量发展.在绿色发展中,数字新基建表现为数字控碳,如能源互联网全链条智能调控,区块链溯源技术支撑再生资源交易的材料循环,以及绿色算力体系助力高质量发展.数字新基建本身具有“碳减排”效应,能减轻传统基础设施对生态环境的破坏,并推动经济向低碳模式转型.同时,绿色技术进步通过提升能效、减少排放,加快低碳技术产业化应用,促进环境可持续发展[14 ] ,实现经济发展与环境保护的良性互动.随着数字新基建的发展,数据要素使国家间的贸易成本、贸易门槛降低[6 ] ,对外开放程度加深.数字丝路建设(跨境数据流动试点推动“一带一路”数字贸易以及数字平台形成文化输出新载体)重塑全球数字服务贸易格局,推动高质量发展.从共享的角度看,数字新基建以数字技术通过信息共享和知识共享,有效激发了人民参与高质量发展的积极性,同时,依托数字化手段推动公共服务均等化,弥合了教育鸿沟,创新性地培育了新型数字就业形态并通过5G+银发经济覆盖老年用户,为高质量发展提供了可持续的数字支撑. ...
... 5G等数字新基建通过加速区域间知识技术扩散,能有效促进产业结构升级,为高质量发展赋能[2 ] .数字技术有利于专业化、多元化的分工与协作,有助于黄河流域传统产业的全方位改造,释放结构红利,从而驱动黄河流域经济高质量发展[6 ] .一方面,数字新基建加速传统产业数字化、智能化转型.通过工业互联网、物联网、AI等技术,实现生产流程的智能化、供应链协同优化,推动制造业向“智能制造”转型,降低能耗和成本,提升产品附加值;利用大数据、区块链等技术实现精准农业,优化产销对接,提升农业产业链效率;通过远程医疗、在线教育、智慧物流等新模式,推动服务业向高端化、个性化发展.另一方面,数字新基建催生新产业、新业态,优化产业结构.5G、云计算、AI等技术的普及催生了人工智能、大数据服务、自动驾驶、元宇宙等新赛道,形成新的经济增长点;依托数字平台整合资源,如电商、共享出行,重构传统产业链,提升资源配置效率;数据成为关键生产要素,推动数字经济规模扩大,逐步替代传统低效产业.数字新基建通过技术赋能、效率提升和模式创新,能够从多个维度促进产业结构升级,进而助力高质量发展. ...
... 利用模型(2)(3)(4)分别检验了数字新基建能否通过技术创新、产业结构升级促进黄河流域高质量发展,回归结果见表7 ,系数均显著.数字新基建能够通过促进技术创新、产业结构升级推动高质量发展,原因是技术进步和结构调整可以充分挖掘“技术红利”和“结构红利”,把握中国经济高质量发展基本走向[26 ] .数字技术的深度应用推动生产要素与生产关系的数字化变革,有效降低经济活动的搜索、复制、传递、跟踪及验证成本,进而推动经济社会发展模式转型[20 ] .数字新基建依托数字技术与设备[27 ] ,促进数实融合、突破基础技术,数据要素市场化配置效率提升.技术创新具有溢出效应[29 ] ,助力地区技术融合创新并使创新成果沿产业链多级扩散,为高质量发展实现赋能,假设H2得证.数据要素赋能产业结构的变迁,带来效率的提升[30 ] ,实现人、机、物的深度互联以及全要素、全产业链、全价值链的全面连接,在更大范围内整合资源,促进专业分工,实现优势互补[17 ] .数字新基建为传统产业提供了新的升级路径,促进新兴产业和未来产业的快速发展,以数字技术产业化、市场化推动产业结构升级[2 ] ,形成兼具范围经济、规模经济以及长尾效应的经济环境[6 ] ,助力经济高质量发展,假设H3得证. ...
黄河流域九省区经济高质量发展的评价及路径选择
2
2022
... 数字新基建与高质量发展存在深度关联,数字新基建有利于促进经济高质量发展[1 -3 ] ,其作用机制包括数字普惠金融和产业转型升级[1 -2 ] .同时,数字新基建可借助空间溢出效应促进其他地区经济高质量发展[3 ] .长江经济带数字新基建促进了区域高质量发展但存在区域差异[4 ] .针对黄河流域,已有研究关注了数字经济如何促进高质量发展[5 -6 ] 、高质量发展的水平与其路径选择[7 ] 以及空间格局演进[8 ] .然而,聚焦于黄河流域,系统考察数字新基建对高质量发展的作用机制(特别是技术创新和产业结构升级的双重传导路径)及其空间溢出效应的研究尚显不足.因此,本文基于黄河流域九省(区)2013—2023年省级面板数据,测度数字新基建发展水平和高质量发展水平,检验了数字新基建对高质量发展的促进作用、重要机制以及空间溢出效应. ...
... 坚持新发展理念与推动高质量发展是内在统一的,要始终以新发展理念的内在统一来把握发展、衡量发展、推动发展[13 ] .从创新发展的角度看,数字新基建以核心层、外延层以及辐射层技术创新赋能高质量发展.协调发展注重解决发展不平衡不充分的问题,数字新基建以信息技术为载体,打破地理位置的制约壁垒,优化了空间布局,具有空间溢出效应,推动区域协调发展促进资源的合理配置和高效利用.同时,兼顾发展与保护的动态协调,区域发展的城乡及产业协调[7 ] .在协调发展中,数字新基建形成区域协同网络、农村电商体系,提升乡村产业链价值捕获能力,以及虚实经济协调来促进高质量发展.在绿色发展中,数字新基建表现为数字控碳,如能源互联网全链条智能调控,区块链溯源技术支撑再生资源交易的材料循环,以及绿色算力体系助力高质量发展.数字新基建本身具有“碳减排”效应,能减轻传统基础设施对生态环境的破坏,并推动经济向低碳模式转型.同时,绿色技术进步通过提升能效、减少排放,加快低碳技术产业化应用,促进环境可持续发展[14 ] ,实现经济发展与环境保护的良性互动.随着数字新基建的发展,数据要素使国家间的贸易成本、贸易门槛降低[6 ] ,对外开放程度加深.数字丝路建设(跨境数据流动试点推动“一带一路”数字贸易以及数字平台形成文化输出新载体)重塑全球数字服务贸易格局,推动高质量发展.从共享的角度看,数字新基建以数字技术通过信息共享和知识共享,有效激发了人民参与高质量发展的积极性,同时,依托数字化手段推动公共服务均等化,弥合了教育鸿沟,创新性地培育了新型数字就业形态并通过5G+银发经济覆盖老年用户,为高质量发展提供了可持续的数字支撑. ...
黄河流域高质量发展空间格局演进:基于新发展理念视角
2
2022
... 数字新基建与高质量发展存在深度关联,数字新基建有利于促进经济高质量发展[1 -3 ] ,其作用机制包括数字普惠金融和产业转型升级[1 -2 ] .同时,数字新基建可借助空间溢出效应促进其他地区经济高质量发展[3 ] .长江经济带数字新基建促进了区域高质量发展但存在区域差异[4 ] .针对黄河流域,已有研究关注了数字经济如何促进高质量发展[5 -6 ] 、高质量发展的水平与其路径选择[7 ] 以及空间格局演进[8 ] .然而,聚焦于黄河流域,系统考察数字新基建对高质量发展的作用机制(特别是技术创新和产业结构升级的双重传导路径)及其空间溢出效应的研究尚显不足.因此,本文基于黄河流域九省(区)2013—2023年省级面板数据,测度数字新基建发展水平和高质量发展水平,检验了数字新基建对高质量发展的促进作用、重要机制以及空间溢出效应. ...
... 黄河流域包括青海、四川、甘肃、宁夏、内蒙古、陕西、山西、河南和山东9个省(区),拥有总量丰富但分布失衡的要素禀赋,受制于经济结构和自然地理条件,经济社会发展相对滞后[8 ] ,流域产业结构相对单一,存在产业同质化问题[9 ] .流域各省(区)资源禀赋、经济基础和经济发展水平、宏观发展战略存在差异[6 ] ,中上游的7个省(区)长期处于发展不充分水平,与下游地区以及其他东部沿海发达地区相比差距显著[10 ] .流域内部各区域之间多维(经济-生态-福利)失衡问题是制约流域整体发展的重要因素,需要借助数字新基建充分发挥数字牵引优势,打破地理位置限制,推动产业数字化转型,实现流域发展范式转变,从而促进高质量发展. ...
黄河流域数字经济与制造业高质量发展耦合协调及其障碍因子
1
2024
... 黄河流域包括青海、四川、甘肃、宁夏、内蒙古、陕西、山西、河南和山东9个省(区),拥有总量丰富但分布失衡的要素禀赋,受制于经济结构和自然地理条件,经济社会发展相对滞后[8 ] ,流域产业结构相对单一,存在产业同质化问题[9 ] .流域各省(区)资源禀赋、经济基础和经济发展水平、宏观发展战略存在差异[6 ] ,中上游的7个省(区)长期处于发展不充分水平,与下游地区以及其他东部沿海发达地区相比差距显著[10 ] .流域内部各区域之间多维(经济-生态-福利)失衡问题是制约流域整体发展的重要因素,需要借助数字新基建充分发挥数字牵引优势,打破地理位置限制,推动产业数字化转型,实现流域发展范式转变,从而促进高质量发展. ...
黄河流域经济社会与生态环境协调发展特征
1
2023
... 黄河流域包括青海、四川、甘肃、宁夏、内蒙古、陕西、山西、河南和山东9个省(区),拥有总量丰富但分布失衡的要素禀赋,受制于经济结构和自然地理条件,经济社会发展相对滞后[8 ] ,流域产业结构相对单一,存在产业同质化问题[9 ] .流域各省(区)资源禀赋、经济基础和经济发展水平、宏观发展战略存在差异[6 ] ,中上游的7个省(区)长期处于发展不充分水平,与下游地区以及其他东部沿海发达地区相比差距显著[10 ] .流域内部各区域之间多维(经济-生态-福利)失衡问题是制约流域整体发展的重要因素,需要借助数字新基建充分发挥数字牵引优势,打破地理位置限制,推动产业数字化转型,实现流域发展范式转变,从而促进高质量发展. ...
数字新基建、要素市场化与中国制造业价值链升级
1
2024
... 信息基础设施通过引入人工智能、区块链等自动化和智能化技术提高了信息收集效率,同时以数字化和智能化手段减少信息不对称、降低交易成本,提高经济运行的效率和稳定性.如黄河流域上游地区部署低功耗广域物联网、中游地区建设量子通信干线等信息基础设施建设极大提升了流域信息传输效率,促进了信息共享,降低了信息获取成本.融合基础设施将数字要素和数字技术应用于市场化交易活动,优化了劳动、资本等生产要素的配置,如黄河流域智慧水务平台提升了农业用水效率,资源高效配置促进全要素生产率的提升,深刻影响着经济发展和社会生活,已成为构建全国统一大市场、助力产业结构升级与推动经济动能转换的关键驱动[11 ] .创新基础设施通过整合技术、信息、网络等提供新的生产要素,创造新的生产可能性.技术创新促进资源流动和城市发展,良好的基础设施能够吸引人才、留住人才,高技能人才是促使城市实现高质量发展的重要因素[12 ] ,以数字新基建创新人才培养为抓手,高校培养大量数字化人才,科研机构提供技术支撑,企业技术需求推动自主创新与技术进步,产学研合作模式加速科技成果转化和应用,推动产业升级和经济进步.黄河流域数字孪生实验室、人工智能产业创新园等的实践,为流域高质量发展提供了强有力的支撑. ...
数字基础设施建设与城市高技能创业人才吸引
1
2023
... 信息基础设施通过引入人工智能、区块链等自动化和智能化技术提高了信息收集效率,同时以数字化和智能化手段减少信息不对称、降低交易成本,提高经济运行的效率和稳定性.如黄河流域上游地区部署低功耗广域物联网、中游地区建设量子通信干线等信息基础设施建设极大提升了流域信息传输效率,促进了信息共享,降低了信息获取成本.融合基础设施将数字要素和数字技术应用于市场化交易活动,优化了劳动、资本等生产要素的配置,如黄河流域智慧水务平台提升了农业用水效率,资源高效配置促进全要素生产率的提升,深刻影响着经济发展和社会生活,已成为构建全国统一大市场、助力产业结构升级与推动经济动能转换的关键驱动[11 ] .创新基础设施通过整合技术、信息、网络等提供新的生产要素,创造新的生产可能性.技术创新促进资源流动和城市发展,良好的基础设施能够吸引人才、留住人才,高技能人才是促使城市实现高质量发展的重要因素[12 ] ,以数字新基建创新人才培养为抓手,高校培养大量数字化人才,科研机构提供技术支撑,企业技术需求推动自主创新与技术进步,产学研合作模式加速科技成果转化和应用,推动产业升级和经济进步.黄河流域数字孪生实验室、人工智能产业创新园等的实践,为流域高质量发展提供了强有力的支撑. ...
新征程推动经济高质量发展的任务与政策
1
2023
... 坚持新发展理念与推动高质量发展是内在统一的,要始终以新发展理念的内在统一来把握发展、衡量发展、推动发展[13 ] .从创新发展的角度看,数字新基建以核心层、外延层以及辐射层技术创新赋能高质量发展.协调发展注重解决发展不平衡不充分的问题,数字新基建以信息技术为载体,打破地理位置的制约壁垒,优化了空间布局,具有空间溢出效应,推动区域协调发展促进资源的合理配置和高效利用.同时,兼顾发展与保护的动态协调,区域发展的城乡及产业协调[7 ] .在协调发展中,数字新基建形成区域协同网络、农村电商体系,提升乡村产业链价值捕获能力,以及虚实经济协调来促进高质量发展.在绿色发展中,数字新基建表现为数字控碳,如能源互联网全链条智能调控,区块链溯源技术支撑再生资源交易的材料循环,以及绿色算力体系助力高质量发展.数字新基建本身具有“碳减排”效应,能减轻传统基础设施对生态环境的破坏,并推动经济向低碳模式转型.同时,绿色技术进步通过提升能效、减少排放,加快低碳技术产业化应用,促进环境可持续发展[14 ] ,实现经济发展与环境保护的良性互动.随着数字新基建的发展,数据要素使国家间的贸易成本、贸易门槛降低[6 ] ,对外开放程度加深.数字丝路建设(跨境数据流动试点推动“一带一路”数字贸易以及数字平台形成文化输出新载体)重塑全球数字服务贸易格局,推动高质量发展.从共享的角度看,数字新基建以数字技术通过信息共享和知识共享,有效激发了人民参与高质量发展的积极性,同时,依托数字化手段推动公共服务均等化,弥合了教育鸿沟,创新性地培育了新型数字就业形态并通过5G+银发经济覆盖老年用户,为高质量发展提供了可持续的数字支撑. ...
数字新基建、绿色技术进步与低碳经济转型
2
2024
... 坚持新发展理念与推动高质量发展是内在统一的,要始终以新发展理念的内在统一来把握发展、衡量发展、推动发展[13 ] .从创新发展的角度看,数字新基建以核心层、外延层以及辐射层技术创新赋能高质量发展.协调发展注重解决发展不平衡不充分的问题,数字新基建以信息技术为载体,打破地理位置的制约壁垒,优化了空间布局,具有空间溢出效应,推动区域协调发展促进资源的合理配置和高效利用.同时,兼顾发展与保护的动态协调,区域发展的城乡及产业协调[7 ] .在协调发展中,数字新基建形成区域协同网络、农村电商体系,提升乡村产业链价值捕获能力,以及虚实经济协调来促进高质量发展.在绿色发展中,数字新基建表现为数字控碳,如能源互联网全链条智能调控,区块链溯源技术支撑再生资源交易的材料循环,以及绿色算力体系助力高质量发展.数字新基建本身具有“碳减排”效应,能减轻传统基础设施对生态环境的破坏,并推动经济向低碳模式转型.同时,绿色技术进步通过提升能效、减少排放,加快低碳技术产业化应用,促进环境可持续发展[14 ] ,实现经济发展与环境保护的良性互动.随着数字新基建的发展,数据要素使国家间的贸易成本、贸易门槛降低[6 ] ,对外开放程度加深.数字丝路建设(跨境数据流动试点推动“一带一路”数字贸易以及数字平台形成文化输出新载体)重塑全球数字服务贸易格局,推动高质量发展.从共享的角度看,数字新基建以数字技术通过信息共享和知识共享,有效激发了人民参与高质量发展的积极性,同时,依托数字化手段推动公共服务均等化,弥合了教育鸿沟,创新性地培育了新型数字就业形态并通过5G+银发经济覆盖老年用户,为高质量发展提供了可持续的数字支撑. ...
... 借助两阶段最小二乘法,将1984年邮局数作为工具变量,使用工具变量法降低由双向因果及遗漏变量所引发的估计结果偏误[27 ] .第一阶段工具变量估计系数为2.7913,且F统计量通过显著性检验,可排除弱工具变量可能性[14 ] (表5 ).采用工具变量法后,数字新基建的系数在1%水平上依然显著为正,说明其对高质量发展仍存在稳健的积极影响. ...
数字新基建对战略性新兴产业绿色技术创新效率的影响
1
2023
... 数字新基建有效推动流域内技术创新和进步,进而助推高质量发展.技术创新是支撑战略性新兴产业崛起与发展的核心动能[15 ] ,数字新基建不断发展的过程中以技术创新为核心,将创新成果应用于实际生活中,表现为数字产业化和产业数字化[16 ] .同时,数字新基建自身蕴含创新特性,可通过技术手段融合、改造和优化传统生产要素[17 ] ,降低技术研发成本、形成高效率协同创新模式、缩短研发周期等方式促进技术创新[18 ] .具体而言,数字新基建的技术创新特征表现为核心层技术创新、外延层技术创新以及辐射层技术创新三方面.5G、工业互联网、人工智能等为基础的核心层技术创新,提供了底层技术支撑,这些技术通过提高生产效率、降低能源消耗、促进数字化转型等途径,推动经济社会高质量发展.基于数字新基建衍生出的配套基础设施的外延层技术创新,如工业机器人的使用扩大企业产出规模、增加新企业进入和带动机器人相关产业链发展,促使企业结构调整以进一步提高生产率、提高创新水平[19 ] .经过数字化、智能化改造的传统基建设施的辐射层技术创新,如传统基建中数字化施工建设、智慧城市等,提升了传统基建的效率和应用水平.可以看出,数字新基建能够促进各类创新,不同类型的数字技术创新成果可能对企业全要素生产率带来不同程度的影响,表现为底层技术层面的主流数字技术方向和实践应用层面的数字技术应用[20 ] ,使得技术创新有效促进流域高质量发展. ...
数字经济与实体经济融合发展的理论探索
1
2023
... 数字新基建有效推动流域内技术创新和进步,进而助推高质量发展.技术创新是支撑战略性新兴产业崛起与发展的核心动能[15 ] ,数字新基建不断发展的过程中以技术创新为核心,将创新成果应用于实际生活中,表现为数字产业化和产业数字化[16 ] .同时,数字新基建自身蕴含创新特性,可通过技术手段融合、改造和优化传统生产要素[17 ] ,降低技术研发成本、形成高效率协同创新模式、缩短研发周期等方式促进技术创新[18 ] .具体而言,数字新基建的技术创新特征表现为核心层技术创新、外延层技术创新以及辐射层技术创新三方面.5G、工业互联网、人工智能等为基础的核心层技术创新,提供了底层技术支撑,这些技术通过提高生产效率、降低能源消耗、促进数字化转型等途径,推动经济社会高质量发展.基于数字新基建衍生出的配套基础设施的外延层技术创新,如工业机器人的使用扩大企业产出规模、增加新企业进入和带动机器人相关产业链发展,促使企业结构调整以进一步提高生产率、提高创新水平[19 ] .经过数字化、智能化改造的传统基建设施的辐射层技术创新,如传统基建中数字化施工建设、智慧城市等,提升了传统基建的效率和应用水平.可以看出,数字新基建能够促进各类创新,不同类型的数字技术创新成果可能对企业全要素生产率带来不同程度的影响,表现为底层技术层面的主流数字技术方向和实践应用层面的数字技术应用[20 ] ,使得技术创新有效促进流域高质量发展. ...
数字新基建对区域经济协调发展的影响研究
6
2023
... 数字新基建有效推动流域内技术创新和进步,进而助推高质量发展.技术创新是支撑战略性新兴产业崛起与发展的核心动能[15 ] ,数字新基建不断发展的过程中以技术创新为核心,将创新成果应用于实际生活中,表现为数字产业化和产业数字化[16 ] .同时,数字新基建自身蕴含创新特性,可通过技术手段融合、改造和优化传统生产要素[17 ] ,降低技术研发成本、形成高效率协同创新模式、缩短研发周期等方式促进技术创新[18 ] .具体而言,数字新基建的技术创新特征表现为核心层技术创新、外延层技术创新以及辐射层技术创新三方面.5G、工业互联网、人工智能等为基础的核心层技术创新,提供了底层技术支撑,这些技术通过提高生产效率、降低能源消耗、促进数字化转型等途径,推动经济社会高质量发展.基于数字新基建衍生出的配套基础设施的外延层技术创新,如工业机器人的使用扩大企业产出规模、增加新企业进入和带动机器人相关产业链发展,促使企业结构调整以进一步提高生产率、提高创新水平[19 ] .经过数字化、智能化改造的传统基建设施的辐射层技术创新,如传统基建中数字化施工建设、智慧城市等,提升了传统基建的效率和应用水平.可以看出,数字新基建能够促进各类创新,不同类型的数字技术创新成果可能对企业全要素生产率带来不同程度的影响,表现为底层技术层面的主流数字技术方向和实践应用层面的数字技术应用[20 ] ,使得技术创新有效促进流域高质量发展. ...
... 数字新基建已经成为国家重大发展战略,是中国加强建设数字中国的重大举措,依托信息化技术示范区的带动作用,能增强区域联动与产业高级化效应,并通过结构创新持续放大经济增长动能[17 ] .数字新基建主要通过要素流动带动欠发达地区的基础设施建设[3 -4 ] .具体空间溢出效应表现在两方面:一是随着数字新基建建设水平的不断推进,以信息化知识传播为主的数字要素发挥关键影响,数实融合模式打破地理距离的制约,推动区域间劳动、技术等要素的流动,从而助力相邻省份的高质量发展;二是伴随区域一体化程度的加深,经济发达省份依托数字新基建外溢效应,发挥示范带头作用,推动外围欠发达地区发展[21 ] ,扎实推进邻近地区高质量发展.相关研究中,数字新基建的发展基本表现为正向空间溢出效应[3 -4 ,17 ,21 -24 ] ,在促进高质量发展[3 -4 ] 、经济协调发展[17 ] 中存在显著的正向空间溢出效应,具体表现为信息基础设施驱动效应最显著,融合基础设施、创新基础设施的驱动效应短时间内难以凸显[3 ] ,信息基建和创新基建效应显著为正且基本相同,而融合基建对高质量发展的推动作用不明显[4 ] ,融合基础设施有显著促进作用,信息基础设施和创新基础设施无溢出效应[17 ] .有关空间溢出的负向效应,有研究认为数据量的增加抑制了周边省份的经济增长,缘于数据外溢作用有限[25 ] ,以及所有制结构在考虑经济因素的空间权重矩阵设定下具有较弱的负向影响[26 ] .可见,数字新基建在空间层面能够带来正向的溢出效应,助力高质量发展. ...
... ,17 ,21 -24 ],在促进高质量发展[3 -4 ] 、经济协调发展[17 ] 中存在显著的正向空间溢出效应,具体表现为信息基础设施驱动效应最显著,融合基础设施、创新基础设施的驱动效应短时间内难以凸显[3 ] ,信息基建和创新基建效应显著为正且基本相同,而融合基建对高质量发展的推动作用不明显[4 ] ,融合基础设施有显著促进作用,信息基础设施和创新基础设施无溢出效应[17 ] .有关空间溢出的负向效应,有研究认为数据量的增加抑制了周边省份的经济增长,缘于数据外溢作用有限[25 ] ,以及所有制结构在考虑经济因素的空间权重矩阵设定下具有较弱的负向影响[26 ] .可见,数字新基建在空间层面能够带来正向的溢出效应,助力高质量发展. ...
... [17 ]中存在显著的正向空间溢出效应,具体表现为信息基础设施驱动效应最显著,融合基础设施、创新基础设施的驱动效应短时间内难以凸显[3 ] ,信息基建和创新基建效应显著为正且基本相同,而融合基建对高质量发展的推动作用不明显[4 ] ,融合基础设施有显著促进作用,信息基础设施和创新基础设施无溢出效应[17 ] .有关空间溢出的负向效应,有研究认为数据量的增加抑制了周边省份的经济增长,缘于数据外溢作用有限[25 ] ,以及所有制结构在考虑经济因素的空间权重矩阵设定下具有较弱的负向影响[26 ] .可见,数字新基建在空间层面能够带来正向的溢出效应,助力高质量发展. ...
... [17 ].有关空间溢出的负向效应,有研究认为数据量的增加抑制了周边省份的经济增长,缘于数据外溢作用有限[25 ] ,以及所有制结构在考虑经济因素的空间权重矩阵设定下具有较弱的负向影响[26 ] .可见,数字新基建在空间层面能够带来正向的溢出效应,助力高质量发展. ...
... 利用模型(2)(3)(4)分别检验了数字新基建能否通过技术创新、产业结构升级促进黄河流域高质量发展,回归结果见表7 ,系数均显著.数字新基建能够通过促进技术创新、产业结构升级推动高质量发展,原因是技术进步和结构调整可以充分挖掘“技术红利”和“结构红利”,把握中国经济高质量发展基本走向[26 ] .数字技术的深度应用推动生产要素与生产关系的数字化变革,有效降低经济活动的搜索、复制、传递、跟踪及验证成本,进而推动经济社会发展模式转型[20 ] .数字新基建依托数字技术与设备[27 ] ,促进数实融合、突破基础技术,数据要素市场化配置效率提升.技术创新具有溢出效应[29 ] ,助力地区技术融合创新并使创新成果沿产业链多级扩散,为高质量发展实现赋能,假设H2得证.数据要素赋能产业结构的变迁,带来效率的提升[30 ] ,实现人、机、物的深度互联以及全要素、全产业链、全价值链的全面连接,在更大范围内整合资源,促进专业分工,实现优势互补[17 ] .数字新基建为传统产业提供了新的升级路径,促进新兴产业和未来产业的快速发展,以数字技术产业化、市场化推动产业结构升级[2 ] ,形成兼具范围经济、规模经济以及长尾效应的经济环境[6 ] ,助力经济高质量发展,假设H3得证. ...
数字新基建对国内价值链循环的影响研究
1
2023
... 数字新基建有效推动流域内技术创新和进步,进而助推高质量发展.技术创新是支撑战略性新兴产业崛起与发展的核心动能[15 ] ,数字新基建不断发展的过程中以技术创新为核心,将创新成果应用于实际生活中,表现为数字产业化和产业数字化[16 ] .同时,数字新基建自身蕴含创新特性,可通过技术手段融合、改造和优化传统生产要素[17 ] ,降低技术研发成本、形成高效率协同创新模式、缩短研发周期等方式促进技术创新[18 ] .具体而言,数字新基建的技术创新特征表现为核心层技术创新、外延层技术创新以及辐射层技术创新三方面.5G、工业互联网、人工智能等为基础的核心层技术创新,提供了底层技术支撑,这些技术通过提高生产效率、降低能源消耗、促进数字化转型等途径,推动经济社会高质量发展.基于数字新基建衍生出的配套基础设施的外延层技术创新,如工业机器人的使用扩大企业产出规模、增加新企业进入和带动机器人相关产业链发展,促使企业结构调整以进一步提高生产率、提高创新水平[19 ] .经过数字化、智能化改造的传统基建设施的辐射层技术创新,如传统基建中数字化施工建设、智慧城市等,提升了传统基建的效率和应用水平.可以看出,数字新基建能够促进各类创新,不同类型的数字技术创新成果可能对企业全要素生产率带来不同程度的影响,表现为底层技术层面的主流数字技术方向和实践应用层面的数字技术应用[20 ] ,使得技术创新有效促进流域高质量发展. ...
机器人使用的税收红利:基于新质生产力视角
1
2024
... 数字新基建有效推动流域内技术创新和进步,进而助推高质量发展.技术创新是支撑战略性新兴产业崛起与发展的核心动能[15 ] ,数字新基建不断发展的过程中以技术创新为核心,将创新成果应用于实际生活中,表现为数字产业化和产业数字化[16 ] .同时,数字新基建自身蕴含创新特性,可通过技术手段融合、改造和优化传统生产要素[17 ] ,降低技术研发成本、形成高效率协同创新模式、缩短研发周期等方式促进技术创新[18 ] .具体而言,数字新基建的技术创新特征表现为核心层技术创新、外延层技术创新以及辐射层技术创新三方面.5G、工业互联网、人工智能等为基础的核心层技术创新,提供了底层技术支撑,这些技术通过提高生产效率、降低能源消耗、促进数字化转型等途径,推动经济社会高质量发展.基于数字新基建衍生出的配套基础设施的外延层技术创新,如工业机器人的使用扩大企业产出规模、增加新企业进入和带动机器人相关产业链发展,促使企业结构调整以进一步提高生产率、提高创新水平[19 ] .经过数字化、智能化改造的传统基建设施的辐射层技术创新,如传统基建中数字化施工建设、智慧城市等,提升了传统基建的效率和应用水平.可以看出,数字新基建能够促进各类创新,不同类型的数字技术创新成果可能对企业全要素生产率带来不同程度的影响,表现为底层技术层面的主流数字技术方向和实践应用层面的数字技术应用[20 ] ,使得技术创新有效促进流域高质量发展. ...
数字技术创新与中国企业高质量发展:来自企业数字专利的证据
2
2023
... 数字新基建有效推动流域内技术创新和进步,进而助推高质量发展.技术创新是支撑战略性新兴产业崛起与发展的核心动能[15 ] ,数字新基建不断发展的过程中以技术创新为核心,将创新成果应用于实际生活中,表现为数字产业化和产业数字化[16 ] .同时,数字新基建自身蕴含创新特性,可通过技术手段融合、改造和优化传统生产要素[17 ] ,降低技术研发成本、形成高效率协同创新模式、缩短研发周期等方式促进技术创新[18 ] .具体而言,数字新基建的技术创新特征表现为核心层技术创新、外延层技术创新以及辐射层技术创新三方面.5G、工业互联网、人工智能等为基础的核心层技术创新,提供了底层技术支撑,这些技术通过提高生产效率、降低能源消耗、促进数字化转型等途径,推动经济社会高质量发展.基于数字新基建衍生出的配套基础设施的外延层技术创新,如工业机器人的使用扩大企业产出规模、增加新企业进入和带动机器人相关产业链发展,促使企业结构调整以进一步提高生产率、提高创新水平[19 ] .经过数字化、智能化改造的传统基建设施的辐射层技术创新,如传统基建中数字化施工建设、智慧城市等,提升了传统基建的效率和应用水平.可以看出,数字新基建能够促进各类创新,不同类型的数字技术创新成果可能对企业全要素生产率带来不同程度的影响,表现为底层技术层面的主流数字技术方向和实践应用层面的数字技术应用[20 ] ,使得技术创新有效促进流域高质量发展. ...
... 利用模型(2)(3)(4)分别检验了数字新基建能否通过技术创新、产业结构升级促进黄河流域高质量发展,回归结果见表7 ,系数均显著.数字新基建能够通过促进技术创新、产业结构升级推动高质量发展,原因是技术进步和结构调整可以充分挖掘“技术红利”和“结构红利”,把握中国经济高质量发展基本走向[26 ] .数字技术的深度应用推动生产要素与生产关系的数字化变革,有效降低经济活动的搜索、复制、传递、跟踪及验证成本,进而推动经济社会发展模式转型[20 ] .数字新基建依托数字技术与设备[27 ] ,促进数实融合、突破基础技术,数据要素市场化配置效率提升.技术创新具有溢出效应[29 ] ,助力地区技术融合创新并使创新成果沿产业链多级扩散,为高质量发展实现赋能,假设H2得证.数据要素赋能产业结构的变迁,带来效率的提升[30 ] ,实现人、机、物的深度互联以及全要素、全产业链、全价值链的全面连接,在更大范围内整合资源,促进专业分工,实现优势互补[17 ] .数字新基建为传统产业提供了新的升级路径,促进新兴产业和未来产业的快速发展,以数字技术产业化、市场化推动产业结构升级[2 ] ,形成兼具范围经济、规模经济以及长尾效应的经济环境[6 ] ,助力经济高质量发展,假设H3得证. ...
数字新基建对中国式现代化发展的赋能效应研究
2
2024
... 数字新基建已经成为国家重大发展战略,是中国加强建设数字中国的重大举措,依托信息化技术示范区的带动作用,能增强区域联动与产业高级化效应,并通过结构创新持续放大经济增长动能[17 ] .数字新基建主要通过要素流动带动欠发达地区的基础设施建设[3 -4 ] .具体空间溢出效应表现在两方面:一是随着数字新基建建设水平的不断推进,以信息化知识传播为主的数字要素发挥关键影响,数实融合模式打破地理距离的制约,推动区域间劳动、技术等要素的流动,从而助力相邻省份的高质量发展;二是伴随区域一体化程度的加深,经济发达省份依托数字新基建外溢效应,发挥示范带头作用,推动外围欠发达地区发展[21 ] ,扎实推进邻近地区高质量发展.相关研究中,数字新基建的发展基本表现为正向空间溢出效应[3 -4 ,17 ,21 -24 ] ,在促进高质量发展[3 -4 ] 、经济协调发展[17 ] 中存在显著的正向空间溢出效应,具体表现为信息基础设施驱动效应最显著,融合基础设施、创新基础设施的驱动效应短时间内难以凸显[3 ] ,信息基建和创新基建效应显著为正且基本相同,而融合基建对高质量发展的推动作用不明显[4 ] ,融合基础设施有显著促进作用,信息基础设施和创新基础设施无溢出效应[17 ] .有关空间溢出的负向效应,有研究认为数据量的增加抑制了周边省份的经济增长,缘于数据外溢作用有限[25 ] ,以及所有制结构在考虑经济因素的空间权重矩阵设定下具有较弱的负向影响[26 ] .可见,数字新基建在空间层面能够带来正向的溢出效应,助力高质量发展. ...
... ,21 -24 ],在促进高质量发展[3 -4 ] 、经济协调发展[17 ] 中存在显著的正向空间溢出效应,具体表现为信息基础设施驱动效应最显著,融合基础设施、创新基础设施的驱动效应短时间内难以凸显[3 ] ,信息基建和创新基建效应显著为正且基本相同,而融合基建对高质量发展的推动作用不明显[4 ] ,融合基础设施有显著促进作用,信息基础设施和创新基础设施无溢出效应[17 ] .有关空间溢出的负向效应,有研究认为数据量的增加抑制了周边省份的经济增长,缘于数据外溢作用有限[25 ] ,以及所有制结构在考虑经济因素的空间权重矩阵设定下具有较弱的负向影响[26 ] .可见,数字新基建在空间层面能够带来正向的溢出效应,助力高质量发展. ...
农村普惠金融、资源错配与城乡经济融合:兼论数字新基建的调节效应
0
2022
数字新基建、创新创业活跃度与共同富裕
0
2024
数字新基建、要素配置效率与中国式农业农村现代化
1
2024
... 数字新基建已经成为国家重大发展战略,是中国加强建设数字中国的重大举措,依托信息化技术示范区的带动作用,能增强区域联动与产业高级化效应,并通过结构创新持续放大经济增长动能[17 ] .数字新基建主要通过要素流动带动欠发达地区的基础设施建设[3 -4 ] .具体空间溢出效应表现在两方面:一是随着数字新基建建设水平的不断推进,以信息化知识传播为主的数字要素发挥关键影响,数实融合模式打破地理距离的制约,推动区域间劳动、技术等要素的流动,从而助力相邻省份的高质量发展;二是伴随区域一体化程度的加深,经济发达省份依托数字新基建外溢效应,发挥示范带头作用,推动外围欠发达地区发展[21 ] ,扎实推进邻近地区高质量发展.相关研究中,数字新基建的发展基本表现为正向空间溢出效应[3 -4 ,17 ,21 -24 ] ,在促进高质量发展[3 -4 ] 、经济协调发展[17 ] 中存在显著的正向空间溢出效应,具体表现为信息基础设施驱动效应最显著,融合基础设施、创新基础设施的驱动效应短时间内难以凸显[3 ] ,信息基建和创新基建效应显著为正且基本相同,而融合基建对高质量发展的推动作用不明显[4 ] ,融合基础设施有显著促进作用,信息基础设施和创新基础设施无溢出效应[17 ] .有关空间溢出的负向效应,有研究认为数据量的增加抑制了周边省份的经济增长,缘于数据外溢作用有限[25 ] ,以及所有制结构在考虑经济因素的空间权重矩阵设定下具有较弱的负向影响[26 ] .可见,数字新基建在空间层面能够带来正向的溢出效应,助力高质量发展. ...
数据要素成为中国经济增长新动能的机制探析
1
2024
... 数字新基建已经成为国家重大发展战略,是中国加强建设数字中国的重大举措,依托信息化技术示范区的带动作用,能增强区域联动与产业高级化效应,并通过结构创新持续放大经济增长动能[17 ] .数字新基建主要通过要素流动带动欠发达地区的基础设施建设[3 -4 ] .具体空间溢出效应表现在两方面:一是随着数字新基建建设水平的不断推进,以信息化知识传播为主的数字要素发挥关键影响,数实融合模式打破地理距离的制约,推动区域间劳动、技术等要素的流动,从而助力相邻省份的高质量发展;二是伴随区域一体化程度的加深,经济发达省份依托数字新基建外溢效应,发挥示范带头作用,推动外围欠发达地区发展[21 ] ,扎实推进邻近地区高质量发展.相关研究中,数字新基建的发展基本表现为正向空间溢出效应[3 -4 ,17 ,21 -24 ] ,在促进高质量发展[3 -4 ] 、经济协调发展[17 ] 中存在显著的正向空间溢出效应,具体表现为信息基础设施驱动效应最显著,融合基础设施、创新基础设施的驱动效应短时间内难以凸显[3 ] ,信息基建和创新基建效应显著为正且基本相同,而融合基建对高质量发展的推动作用不明显[4 ] ,融合基础设施有显著促进作用,信息基础设施和创新基础设施无溢出效应[17 ] .有关空间溢出的负向效应,有研究认为数据量的增加抑制了周边省份的经济增长,缘于数据外溢作用有限[25 ] ,以及所有制结构在考虑经济因素的空间权重矩阵设定下具有较弱的负向影响[26 ] .可见,数字新基建在空间层面能够带来正向的溢出效应,助力高质量发展. ...
经济结构调整、绿色技术进步与中国低碳转型发展:基于总体技术前沿和空间溢出效应视角的经验考察
2
2022
... 数字新基建已经成为国家重大发展战略,是中国加强建设数字中国的重大举措,依托信息化技术示范区的带动作用,能增强区域联动与产业高级化效应,并通过结构创新持续放大经济增长动能[17 ] .数字新基建主要通过要素流动带动欠发达地区的基础设施建设[3 -4 ] .具体空间溢出效应表现在两方面:一是随着数字新基建建设水平的不断推进,以信息化知识传播为主的数字要素发挥关键影响,数实融合模式打破地理距离的制约,推动区域间劳动、技术等要素的流动,从而助力相邻省份的高质量发展;二是伴随区域一体化程度的加深,经济发达省份依托数字新基建外溢效应,发挥示范带头作用,推动外围欠发达地区发展[21 ] ,扎实推进邻近地区高质量发展.相关研究中,数字新基建的发展基本表现为正向空间溢出效应[3 -4 ,17 ,21 -24 ] ,在促进高质量发展[3 -4 ] 、经济协调发展[17 ] 中存在显著的正向空间溢出效应,具体表现为信息基础设施驱动效应最显著,融合基础设施、创新基础设施的驱动效应短时间内难以凸显[3 ] ,信息基建和创新基建效应显著为正且基本相同,而融合基建对高质量发展的推动作用不明显[4 ] ,融合基础设施有显著促进作用,信息基础设施和创新基础设施无溢出效应[17 ] .有关空间溢出的负向效应,有研究认为数据量的增加抑制了周边省份的经济增长,缘于数据外溢作用有限[25 ] ,以及所有制结构在考虑经济因素的空间权重矩阵设定下具有较弱的负向影响[26 ] .可见,数字新基建在空间层面能够带来正向的溢出效应,助力高质量发展. ...
... 利用模型(2)(3)(4)分别检验了数字新基建能否通过技术创新、产业结构升级促进黄河流域高质量发展,回归结果见表7 ,系数均显著.数字新基建能够通过促进技术创新、产业结构升级推动高质量发展,原因是技术进步和结构调整可以充分挖掘“技术红利”和“结构红利”,把握中国经济高质量发展基本走向[26 ] .数字技术的深度应用推动生产要素与生产关系的数字化变革,有效降低经济活动的搜索、复制、传递、跟踪及验证成本,进而推动经济社会发展模式转型[20 ] .数字新基建依托数字技术与设备[27 ] ,促进数实融合、突破基础技术,数据要素市场化配置效率提升.技术创新具有溢出效应[29 ] ,助力地区技术融合创新并使创新成果沿产业链多级扩散,为高质量发展实现赋能,假设H2得证.数据要素赋能产业结构的变迁,带来效率的提升[30 ] ,实现人、机、物的深度互联以及全要素、全产业链、全价值链的全面连接,在更大范围内整合资源,促进专业分工,实现优势互补[17 ] .数字新基建为传统产业提供了新的升级路径,促进新兴产业和未来产业的快速发展,以数字技术产业化、市场化推动产业结构升级[2 ] ,形成兼具范围经济、规模经济以及长尾效应的经济环境[6 ] ,助力经济高质量发展,假设H3得证. ...
数字新基建、现代产业体系构建与共同富裕
3
2024
... 核心解释变量:各省(区)数字新基建水平(Dni ).2020年4月,国家发展改革委明确将数字新基建划分为信息基础设施、融合基础设施和创新基础设施三大类[3 ,27 ] .从3个子维度(后文简称为信息基建、融合基建、创新基建)构建评价指标体系,采用熵值法进行赋权,评价指标体系如表2 所列. ...
... 借助两阶段最小二乘法,将1984年邮局数作为工具变量,使用工具变量法降低由双向因果及遗漏变量所引发的估计结果偏误[27 ] .第一阶段工具变量估计系数为2.7913,且F统计量通过显著性检验,可排除弱工具变量可能性[14 ] (表5 ).采用工具变量法后,数字新基建的系数在1%水平上依然显著为正,说明其对高质量发展仍存在稳健的积极影响. ...
... 利用模型(2)(3)(4)分别检验了数字新基建能否通过技术创新、产业结构升级促进黄河流域高质量发展,回归结果见表7 ,系数均显著.数字新基建能够通过促进技术创新、产业结构升级推动高质量发展,原因是技术进步和结构调整可以充分挖掘“技术红利”和“结构红利”,把握中国经济高质量发展基本走向[26 ] .数字技术的深度应用推动生产要素与生产关系的数字化变革,有效降低经济活动的搜索、复制、传递、跟踪及验证成本,进而推动经济社会发展模式转型[20 ] .数字新基建依托数字技术与设备[27 ] ,促进数实融合、突破基础技术,数据要素市场化配置效率提升.技术创新具有溢出效应[29 ] ,助力地区技术融合创新并使创新成果沿产业链多级扩散,为高质量发展实现赋能,假设H2得证.数据要素赋能产业结构的变迁,带来效率的提升[30 ] ,实现人、机、物的深度互联以及全要素、全产业链、全价值链的全面连接,在更大范围内整合资源,促进专业分工,实现优势互补[17 ] .数字新基建为传统产业提供了新的升级路径,促进新兴产业和未来产业的快速发展,以数字技术产业化、市场化推动产业结构升级[2 ] ,形成兼具范围经济、规模经济以及长尾效应的经济环境[6 ] ,助力经济高质量发展,假设H3得证. ...
数字经济、技术创新与城市绿色经济效率:基于空间计量模型和中介效应的实证分析
1
2023
... 中介变量:借鉴已有文献,采用创新专利申请数作为技术创新水平(Inn )的衡量指标[28 ] ,产业结构升级通过高级化(Isu )和合理化(Isr)两个维度测度:Isu 以第三产业与第二产业增加值之比表征;Isr 则取泰尔指数(TL )的倒数,其值越大表明产业结构越合理[2 ] ,计算公式如下: ...
数字经济、技术创新与现代服务业高质量发展:基于我国省级面板数据的实证分析
1
2023
... 利用模型(2)(3)(4)分别检验了数字新基建能否通过技术创新、产业结构升级促进黄河流域高质量发展,回归结果见表7 ,系数均显著.数字新基建能够通过促进技术创新、产业结构升级推动高质量发展,原因是技术进步和结构调整可以充分挖掘“技术红利”和“结构红利”,把握中国经济高质量发展基本走向[26 ] .数字技术的深度应用推动生产要素与生产关系的数字化变革,有效降低经济活动的搜索、复制、传递、跟踪及验证成本,进而推动经济社会发展模式转型[20 ] .数字新基建依托数字技术与设备[27 ] ,促进数实融合、突破基础技术,数据要素市场化配置效率提升.技术创新具有溢出效应[29 ] ,助力地区技术融合创新并使创新成果沿产业链多级扩散,为高质量发展实现赋能,假设H2得证.数据要素赋能产业结构的变迁,带来效率的提升[30 ] ,实现人、机、物的深度互联以及全要素、全产业链、全价值链的全面连接,在更大范围内整合资源,促进专业分工,实现优势互补[17 ] .数字新基建为传统产业提供了新的升级路径,促进新兴产业和未来产业的快速发展,以数字技术产业化、市场化推动产业结构升级[2 ] ,形成兼具范围经济、规模经济以及长尾效应的经济环境[6 ] ,助力经济高质量发展,假设H3得证. ...
数据要素、交通基础设施与产业结构升级:基于量化空间一般均衡模型分析
1
2024
... 利用模型(2)(3)(4)分别检验了数字新基建能否通过技术创新、产业结构升级促进黄河流域高质量发展,回归结果见表7 ,系数均显著.数字新基建能够通过促进技术创新、产业结构升级推动高质量发展,原因是技术进步和结构调整可以充分挖掘“技术红利”和“结构红利”,把握中国经济高质量发展基本走向[26 ] .数字技术的深度应用推动生产要素与生产关系的数字化变革,有效降低经济活动的搜索、复制、传递、跟踪及验证成本,进而推动经济社会发展模式转型[20 ] .数字新基建依托数字技术与设备[27 ] ,促进数实融合、突破基础技术,数据要素市场化配置效率提升.技术创新具有溢出效应[29 ] ,助力地区技术融合创新并使创新成果沿产业链多级扩散,为高质量发展实现赋能,假设H2得证.数据要素赋能产业结构的变迁,带来效率的提升[30 ] ,实现人、机、物的深度互联以及全要素、全产业链、全价值链的全面连接,在更大范围内整合资源,促进专业分工,实现优势互补[17 ] .数字新基建为传统产业提供了新的升级路径,促进新兴产业和未来产业的快速发展,以数字技术产业化、市场化推动产业结构升级[2 ] ,形成兼具范围经济、规模经济以及长尾效应的经济环境[6 ] ,助力经济高质量发展,假设H3得证. ...
科技金融对技术创新的空间溢出效应研究
1
2025
... 选取邻接权重矩阵W 1 、反距离权重矩阵W 2 [31 ] 两个空间权重矩阵,在式(1) 基础上构建空间计量模型: ...