img

官方微信

高级检索

中国沙漠 ›› 2025, Vol. 45 ›› Issue (5): 369-379.DOI: 10.7522/j.issn.1000-694X.2025.00138

• • 上一篇    

数字新基建赋能黄河流域高质量发展:机制与空间溢出

柳江1(), 李艳吉2   

  1. 1.兰州财经大学,财政与税务学院,甘肃 兰州 730101
    2.兰州财经大学,经济学院,甘肃 兰州 730101
  • 收稿日期:2025-07-07 修回日期:2025-09-08 出版日期:2025-09-20 发布日期:2025-09-27
  • 作者简介:柳江(1975—),男,江苏东海人,教授,主要研究领域为中国经济转型中的增长与发展问题、产业经济学。E-mail: lj7513@163.com
  • 基金资助:
    国家社科基金项目(24BJL055)

Digital new infrastructure empowering high-quality development in the Yellow River Basinmechanism and spatial spillover effects

Jiang Liu1(), Yanji Li2   

  1. 1.School of Finance and Taxation /, Lanzhou University of Finance and Economics,Lanzhou 730101,China
    2.School of Economics, Lanzhou University of Finance and Economics,Lanzhou 730101,China
  • Received:2025-07-07 Revised:2025-09-08 Online:2025-09-20 Published:2025-09-27

摘要:

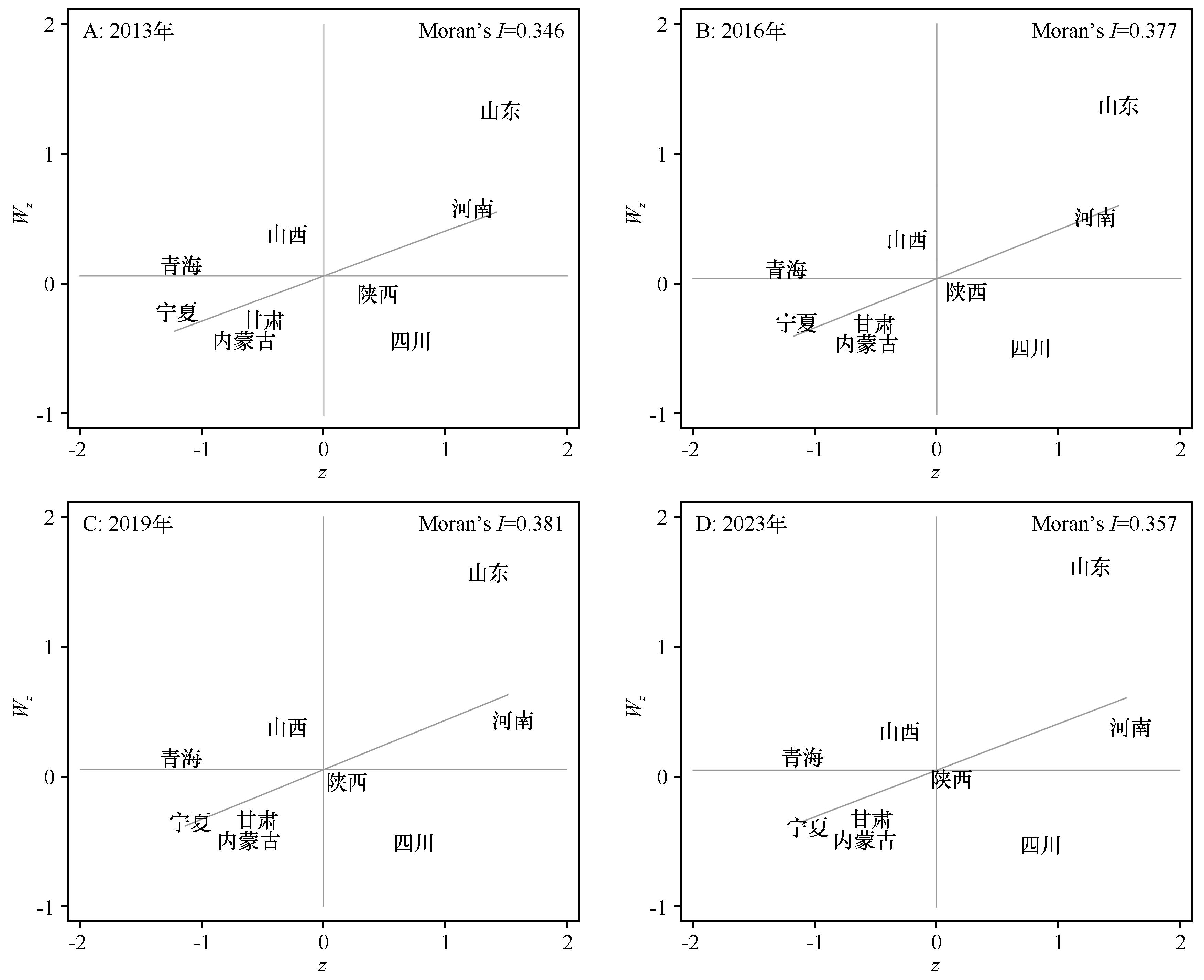
黄河流域是巩固脱贫攻坚、协调区域发展的主阵地,其高质量发展亟须数字新基建的战略性基础支撑。基于黄河流域九省(区)2013—2023年省级面板数据,进行实证检验。结果表明:数字新基建显著促进黄河流域高质量发展,上游省(区)促进作用最强,且创新基础设施的作用大于融合基础设施,融合基础设施的作用大于信息基础设施,该结论在经过一系列内生性和稳健性检验后依然显著成立。机制检验表明,技术创新和产业结构升级是数字新基建促进黄河流域高质量发展的重要传导渠道,而且数字新基建推动黄河流域高质量发展会产生正向的空间溢出效应。异质性检验表明,数字新基建对中度资源依赖性省(区)以及中人力资本存量省(区)高质量发展的促进作用更明显。

关键词: 数字新基建, 高质量发展, 黄河流域, 技术创新, 产业结构升级

Abstract:

The Yellow River Basin is the main battlefield for consolidating poverty alleviation achievements and coordinating regional development. Its high-quality development urgently requires the strategic support of digital new infrastructure. Based on the provincial panel data of the nine provinces (autonomous regions) in the Yellow River Basin from 2013 to 2023, empirical tests show that digital new infrastructure significantly promotes the high-quality development of the Yellow River Basin, with the strongest promoting effect in the upstream provinces (autonomous regions). Moreover, the role of innovation infrastructure is greater than that of integration infrastructure, and the role of integration infrastructure is greater than that of information infrastructure. This conclusion remains significantly valid after a series of endogeneity and robustness tests. Mechanism tests indicate that technological innovation and industrial structure upgrading are important transmission channels for digital new infrastructure to promote the high-quality development of the Yellow River Basin. Moreover, the promotion of digital new infrastructure for the high-quality development of the Yellow River Basin will produce a positive spatial spillover effect. Heterogeneity tests show that digital new infrastructure has a more obvious promoting effect on the high-quality development of moderately resource-dependent provinces (autonomous regions) and provinces (autonomous regions) with medium human capital stock.

Key words: digital new infrastructure, high-quality development, Yellow River Basin, technological innovation, industrial structure upgrading

中图分类号: