接种复合藻液对河西走廊工程扰动面生物结皮及土壤性质的影响
1.
2.
Effects of artificially inoculated composite algal solutions on biological soil crusts and soil properties in engineering-disturbed areas of the Hexi Corridor
1.
2.
通讯作者:
收稿日期: 2024-12-09 修回日期: 2025-03-11
| 基金资助: |
|
Received: 2024-12-09 Revised: 2025-03-11
作者简介 About authors
康红梅(1973—),女,甘肃兰州人,博士,研究方向为生态修复技术E-mail:
关键词:
Keywords:
本文引用格式
康红梅, 张军, 李鑫, 刘金鹏.
Kang Hongmei, Zhang Jun, Li Xin, Liu Jinpeng.
0 引言
土壤生物结皮(Biological soil crusts,BSC)是由蓝藻、绿藻、地衣、藓类和微生物,以及相关的其他生物体通过菌丝体、假根和分泌物等与土壤表层颗粒胶结形成的复杂地表覆盖体,是荒漠生态系统的重要组成成分[5-6],其盖度占全球干旱、半干旱区裸地面积的70%,发挥着极其重要的生态系统功能[7]。随着大量生产建设项目的实施,BSC破坏严重,而天然BSC的形成需要几年甚至几十年[8-11],人工培育可以缩短BSC的形成时间,并迅速对沙化土壤进行固定,从而改善土壤生境,成为沙化土地治理的新模式[12-13]。人工培育BSC用于生态修复的研究已经开展了10多年,主要在库布齐沙漠、腾格里沙漠等地区[4,14-15]。由于人工BSC中藻种单一,缺乏胞外多糖和微生物群落,其抗干扰能力较弱,在短期内难以达到工程迹地防风蚀需求。为了改善人工藻种生长的微环境,提高其成活率,我们开发了一种蓝藻、微生物菌剂和沙蒿胶联合诱导人工BSC的新方法,在室内沙盘实验中取得良好效果,但还没有在野外实践中得到验证。
本试验在河西走廊地区模拟常见的工程扰动面(挖方边坡、填方边坡和碾压扰动面),通过接种复合藻液(Cyanobacteria,Cy),研究工程扰动面类型、藻种、沙蒿胶等因子对人工BSC生长和土壤性质的影响。研究结果可为河西走廊干旱、半干旱区工程建设后生态修复提供一种新方法,为评价人工生物结皮的生态修复效应提供数据支撑。
1 材料与方法
1.1 试验区概况
试验于2021年7月至2023年9月在古浪县孟家庄(37°26′55″N、103°36′37″E,海拔1 980 m)进行。试验场位于河西走廊东段、乌鞘岭北麓、腾格里沙漠南缘,属温带大陆性气候,该地区年平均气温5.9 ℃,极端最高气温33 ℃。年降水量360.5 mm,年蒸发量2 300 mm。
试验场地尺寸为50 m×50 m,周边无相关建筑物和山丘。为避免野生动物以及其他人为干扰,试验场周边采用铁丝围栏封闭,围栏高度高出地面1.5 m(铁丝围栏对小区风力特征的影响本次研究暂不考虑)。工程建设中对地表的扰动破坏主要表现为挖填、堆弃和碾压。模拟生产建设活动我们布设了3种基本特征小区,即:开挖边坡、填方边坡、机械碾压扰动面(施工道路)。
参考一般的建设项目施工特征,确定各小区特征。开挖小区:开挖深度为2.0 m、坡率1∶1.3;填方小区:填方高度2.0 m、坡率 1∶1.5;机械碾压小区:机械碾压扰动面宽度6.0 m,长度按30 m 计,表面填土50 cm,人工夯击模拟碾压。建设完成后共有5种扰动面(Disturbed surfaces,S),即开挖边坡阳坡(扰动面Ⅰ)、开挖边坡阴坡(扰动面Ⅱ)、填方边坡阳坡(扰动面Ⅲ)、填方边坡阴坡(扰动面Ⅳ)、机械碾压扰动面(扰动面Ⅴ)。每个坡面各布置2 m×1 m的试验小区各12处,合计60处。该区域土壤类型为淡棕钙土,处理前土壤含水量(Soil water content,SWC)为0.03%~0.12% (110 ℃,烘干6 h),土壤硬度为0.7~1.9 kg.cm-2,pH值为8.40(土壤-水浸提法,水土比为1∶2.5)。
1.2 研究方法
本试验选用的藻种为具鞘微鞘藻(Microcoleus vaginatus,MV)、爪哇伪枝藻(Scytonema javanicum,SJ)和纤细席藻(Phormidium tenue,PT),均购自中国科学院武汉水生生物研究所藻种库。另选取当地发育良好的野生藻结皮人工扩繁后备用。藻结皮于2020年7月采自古浪固定沙丘(37°37′25.25″N,103°14′25.58″E)。MV、PT及本土藻种采用BG11液体培养基,SJ采用BG110液体培养基。藻种在25±1 ℃、光照强度40 μE·m-2·s-1(8 h·d-1)条件下,经过恢复培养和分级扩大培养以获得足量藻液。微藻细胞中叶绿素a含量(Chl a)与细胞生长呈良好的线性关系,因此本研究用Chl a含量反映微藻生物量的情况。3种荒漠藻的混合方法参照谢作明[16]的方法(即MV∶SJ∶PT=10∶1∶5),混合后为Cy①,藻类生物量为63 μg·L-1。本土藻种由于起始培养浓度较低,培养后生物量为20 μg·L-1,为Cy②。
每种扰动面设置4个处理(Treatment,T),每个处理3个重复,于坡面60个2 m×1 m小区中随机分布。处理1为无接种(CK),处理2和处理3的藻种分别为Cy①和Cy②,处理4为0.1% ASKP。根据前期试验,Cy①和Cy②均添加0.1% ASKP和枯草芽孢杆菌(Bacillus subtilis,BS;芽孢数≥30×108 CFU·g-1)。藻液与ASKP体积比为7∶3,BS添加至土壤表面,添加量为20 g·m-2。各处理的液体接种量为2 L·m-2,即Cy①的接种量为126 μg Chl a·m-2,Cy②的接种量为40 μg Chl a·m-2。藻液接种后养护3~4周,所有处理每日适量浇水(雨天除外),浇水量约3 L·m-2[17-18]。在3个月、2 a后采集BSC(0~2 cm)及其下(5 cm内)土壤,分别测定BSC厚度及Chl a含量、土壤养分及土壤酶活性。每个小区中部设1个测钎,测钎长度50 cm,测钎垂直打入地面,外露高度为20 cm,于试验结束时测定风蚀率。另外,选取机械碾压面(扰动面Ⅴ)为对象,对围挡2 a后区域内植物种类和数量进行统计以计算Shannon多样性指数。
1.3 观测指标及方法
SWC采用称重法,土壤pH值采用酸度计(雷磁DHS-3C)测量。BSC的厚度和抗压强度分别采用电子游标卡尺和土壤硬度计(TYD-1,杭州绿博)进行测定,抗压强度用土壤硬度来表示。在每个处理小区均匀选取5个点,随机选点测量生物结皮厚度3次。BSC生物量(Chl a)用95%乙醇提取[19]。土壤风蚀量采取测钎法。
生物多样性Shannon指数(H)按照以下公式计算:
H=-
式中:S为物种数;Pi 为第i种的个体比例。
1.4 统计与分析
试验数据采用SPSS 15.0软件进行统计分析。采用双因素方差分析(Two-Way ANOVA)法,分析不同扰动面(S)和处理(T)及其交互作用对土壤理化参数和BSC生长的影响。采用One-Way ANOVA对不同创面或不同处理分别进行单因素分析。本文图形均采用Origin 2018软件绘制。
2 结果与分析
藻液接种后,各扰动面(S)及处理(T)下土壤表面有不同程度的BSC生成。所有小区未观察到明显风蚀,各处理有不同程度的堆积(蚀积量> 0)。土壤理化参数与S和T的双因素方差分析结果如表1所列。S对BSC生长和土壤理化指标影响显著(3个月和2 a);T在短期内(3个月)对各指标影响不显著,但随后T对土壤硬度、BSC生物量及厚度、土壤磷酸酶活性及有效磷和速效钾含量影响显著(2 a)。S和T对土壤pH值、BSC生物量、土壤酶活性及土壤养分的影响存在交互作用,但对土壤硬度、BSC厚度、脲酶活性及速效钾含量无交互作用(2 a)。
表1 BSC及土壤理化参数对不同扰动面(Disturbed surfaces,S)和处理(Treatments,T)的双因素方差分析结果( F )
Table 1
| 参数 | 扰动面S(n=12) | 处理T(n=15) | S×T | |||||
|---|---|---|---|---|---|---|---|---|
| 3个月 | 2 a | 3个月 | 2 a | 3个月 | 2 a | |||
| dF | 4 | 3 | 12 | |||||
| SWC | 97.176*** | 1.293ns | 1.926ns | 0.773ns | 0.875ns | 0.616ns | ||
| pH | 7.667*** | 17.244*** | 0.658ns | 0.446ns | 3.328** | 2.313* | ||
| 土壤硬度 | 6.576*** | 3.285* | 0.978ns | 5.171** | 2.713** | 1.736ns | ||
| 叶绿素a | 10.429*** | 9.103*** | 2.224ns | 8.166*** | 1.686ns | 2.902** | ||
| BSC厚度 | 3.194* | 24.807*** | 0.282ns | 2.934* | 1.362ns | 1.028ns | ||
| 碱性磷酸酶 | 13.909*** | 18.557*** | 2.563ns | 4.125* | 2.670** | 2.218* | ||
| 脲酶 | 20.290*** | 36.330*** | 0.708ns | 1.641ns | 2.948** | 1.565ns | ||
| 过氧化氢酶 | 16.405*** | 24.832*** | 1.684ns | 2.355ns | 2.942** | 2.371* | ||
| 有机质 | — | 26.315*** | — | 1.942ns | — | 2.175* | ||
| 全氮 | — | 10.798*** | — | 1.742ns | — | 3.282** | ||
| 有效磷 | — | 45.868*** | — | 3.153* | — | 5.045*** | ||
| 速效钾 | — | 15.389*** | — | 3.403* | — | 1.108ns | ||
2.1 不同扰动面(S)对土壤性质及BSC的影响
图1
图1
2 a时不同扰动面(S)及处理(T)下的SWC、pH值及土壤硬度
Fig.1
SWC, pH, and soil hardness across different disturbed surfaces (S) and treatments (T) after 2 years of inoculation
表2 不同扰动面(S)的pH值、土壤硬度及BSC生长情况
Table 2
| 扰动面 | pH | 土壤硬度/(kg·cm-2) | Chl a/(μg·g-1) | BSC厚度/mm | |||||||
|---|---|---|---|---|---|---|---|---|---|---|---|
| 3个月 | 2 a | 3个月 | 2 a | 3个月 | 2 a | 3个月 | 2 a | ||||
| Ⅰ | 8.24±0.02b | 8.67±0.01a | 1.94±0.23c | 3.82±0.31b | 0.56±0.06ab | 0.93±0.07ab | 0.67±0.03bc | 2.18±0.10a | |||
| Ⅱ | 8.23±0.01b | 8.72±0.15a | 1.58±0.14b | 3.97±0.42b | 0.33±0.05a | 0.68±0.12a | 0.68±0.04c | 2.68±0.12b | |||
| Ⅲ | 8.20±0.01b | 8.83±0.04b | 1.46±0.13b | 3.63±0.39b | 0.91±0.12c | 1.21±0.12bc | 0.60±0.03ab | 3.46±0.13c | |||
| Ⅳ | 8.15±0.02a | 9.04±0.07c | 0.73±0.07a | 2.59±0.12a | 0.30±0.05a | 1.63±0.31c | 0.62±0.02ab | 4.02±0.15d | |||
| Ⅴ | 8.23±0.01b | 8.85±0.02b | 1.50±0.08b | 2.50±0.14a | 0.71±0.12bc | 1.35±0.13bc | 0.54±0.01a | 3.71±0.17cd | |||
不同扰动面BSC生长情况如图2、表2所示。扰动面Ⅳ的Chl a含量和BSC厚度最高,达1.63 μg·g-1和4.02 mm。Chl a含量(2 a)比3个月时增加了32.5%(Ⅲ)~439.4%(Ⅳ),BSC厚度是3个月的3.24倍(Ⅰ)~6.90倍(Ⅴ),说明各扰动面BSC生长良好,藻液喷施促进了BSC发育。另外扰动面Ⅱ的Chl a增长比扰动面Ⅰ高出42.0%(与3个月相比),扰动面Ⅳ的Chl a增长是Ⅲ的13.5倍。扰动面Ⅱ和Ⅳ的BSC厚度为2.68 mm和4.02 mm,是BSC初期厚度的4~6倍,增速高于扰动面Ⅰ和Ⅲ。这说明阴坡BSC的生长速度比阳坡快,暗示阴坡的微环境更适于BSC的生长。
图2
图2
2 a时不同扰动面(S)及处理(T)下的BSC生长情况
Fig.2
The growth of BSC across different disturbed surfaces (S) and treatments (T) after 2 years of inoculation
表3 不同扰动面(S)的土壤酶活性
Table 3
| 扰动面 | 碱性磷酸酶/(μg·g-1-24h) | 脲酶(NH3-N μg·g-1-24h) | 过氧化氢酶/(mL·g-1) | |||||
|---|---|---|---|---|---|---|---|---|
| 3个月 | 2 a | 3个月 | 2 a | 3个月 | 2 a | |||
| Ⅰ | 20.71±2.04a | 38.78±3.84a | 0.56±0.05a | 1.19±0.05a | 0.61±0.01a | 0.66±0.01a | ||
| Ⅱ | 38.65±2.27b | 42.53±3.66ab | 0.86±0.07b | 2.00±0.06b | 0.69±0.01c | 0.69±0.02b | ||
| Ⅲ | 41.56±6.31bc | 53.6±9.05b | 1.05±0.07c | 2.13±0.15bc | 0.69±0.01c | 0.71±0.01b | ||
| Ⅳ | 51.93±4.07c | 80.5±4.01c | 1.02±0.09c | 2.85±0.17d | 0.63±0.01ab | 0.77±0.01c | ||
| Ⅴ | 48.63±3.37bc | 73.12±3.88c | 1.27±0.05d | 2.40±0.04c | 0.65±0.01b | 0.76±0.01c | ||
图3
图3
不同扰动面(S)及处理(T)下的土壤酶活性
Fig.3
Soil enzyme activities under different disturbed surfaces (S) and treatments (T)
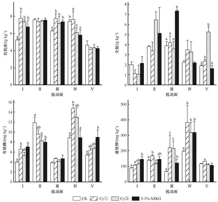
表4 2 a时不同扰动面(S)的土壤养分状况
Table 4
| 扰动面 | 有机质/(g·kg-1) | 全N /(g·kg-1) | 有效P/(mg·kg-1) | 速效K/(mg·kg-1) |
|---|---|---|---|---|
| Ⅰ | 6.78±0.38b | 1.82±0.35a | 5.75±0.40b | 114.25±7.24a |
| Ⅱ | 7.48±0.11b | 4.71±0.71b | 9.43±0.60c | 142.25±7.04a |
| Ⅲ | 7.14±0.26b | 4.77±0.51b | 4.35±0.21a | 156.20±28.49a |
| Ⅳ | 6.73±0.35b | 2.56±0.41a | 11.35±0.95d | 304.00±37.12b |
| Ⅴ | 4.31±0.16a | 2.80±0.46a | 6.88±0.51b | 117.35±5.31a |
图4
图4
2 a时不同扰动面(S)及处理(T)下的土壤养分
Fig.4
Soil nutrients under different disturbed surfaces (S) and treatments (T) after 2 years of inoculation
2.2 不同处理(T)对土壤性质及BSC的影响
表5 2 a时不同处理(T)下BSC生长、土壤性质及生物多样性指数
Table 5
| 处理 | 土壤硬度/(kg·cm-2) | Chl a/(μg·g-1) | BSC厚度 /mm | 碱性磷酸酶/(μg·g-1-24h) | 有效P/(mg·kg-1) | 速效K/(mg·kg-1) | H 指数 (扰动面Ⅴ) |
|---|---|---|---|---|---|---|---|
| 1(CK) | 1.99±0.38a | 0.702±0.101a | 2.71±0.19a | 47.35±5.97a | 6.79±0.85a | 122.27±11.99a | 1.59±0.13 |
| 2 | 3.67±0.23b | 1.319±0.123b | 3.32±0.11b | 60.60±6.31b | 8.41±0.97b | 201.80±35.08b | 1.80±0.27 |
| 3 | 3.10±0.22b | 1.345±0.170b | 3.31±0.13b | 57.05±4.78ab | 7.49±0.90ab | 175.53±25.64ab | 2.06±0.26 |
| 4 | 3.48±0.23b | 1.345±0.209b | 3.18±0.12b | 65.82±7.01b | 7.52±0.58ab | 167.54±24.68ab | 1.84±0.12 |
复合藻液接种在短期对土壤性质及生物结皮生长的影响不显著(3个月),但随着时间的增加,不同处理对BSC的生长,土壤磷酸酶活性、土壤有效磷和速效钾含量影响显著(表1)。
在不同扰动面上接种复合藻液或沙蒿胶均可有效防治风蚀并促进BSC的生长(图2,表5)。喷洒复合藻液或沙蒿胶,其土壤硬度、BSC生物量和厚度均显著高于CK,但3种喷洒液的效果差异不明显。3种处理的土壤硬度比CK增加了55.78%~84.42%,Chl a含量和BSC厚度增加了约90%和20%。喷洒人工复合藻液(处理2)的土壤碱性磷酸酶活性、土壤有效P和速效K含量分别比CK高27.98%、23.86%和65.04%(P<0.05)。喷洒本土藻种或沙蒿胶的创面(处理3和处理4),其BSC生长情况与处理2相似,但本土藻种的喷洒生物量仅为人工混合藻种的1/3,暗示本土种更适应当地环境,生长速度更快。值得注意的是,处理4的土壤BSC生长与土壤养分状况与处理2和3差异不大,说明0.1%沙蒿胶也可促进BSC生长、改善土壤养分,增加土壤硬度。
我们以机械碾压面(扰动面Ⅴ)为对象,对不同处理下的生物多样性指数做了统计(表5)。经过2 a的生长,各处理的H指数有所增加。处理3的H指数为2.06,高于其他。各处理的生物多样性指数比CK增加了13.51%~29.86%(P > 0.05),但差异不显著。原因可能是该扰动面位于挖方边坡旁(背风坡后),影响了种子的传播。另外本研究试验时间仅持续了2 a,且试验区面积较小,试验数据不足。
3 讨论
3.1 不同扰动面对BSC生长及土壤性质的影响
工程建设产生的扰动面的基底类型多样,多有开挖、堆积形成。由于工程建设造成立地条件差,草灌植物难以在坡面定植,自然恢复过程缓慢。本研究在古浪模拟常见的工程扰动面,通过喷施复合藻液的新方法成功诱导人工BSC,取得良好的风蚀防治和土壤养分改善的效果。
在古浪为期2 a的模拟试验中发现,不同工程扰动面对生物结皮生长及土壤理化性质的影响极其显著(P<0.001)。其原因可能是BSC形成与发育不仅与气候、土壤结构、酸碱度及养分含量等有关,还受地形、植物分布及发育状况等的影响[22],边坡的朝向是影响土壤性质和结皮发育最重要的因素[3]。坡向通常与光照条件相关,而光照是决定土壤蒸发量、温度、碳-氮循环的首要因素[23]。本研究结果与前人相似,微环境是影响工程迹地BSC形成的主要因素。无论是填方边坡还是挖方边坡,其阴坡的生物结皮发育速度和土壤养分及土壤酶活性均明显高于阳坡,阴坡的微环境更适于藻结皮的早期发育。因此,在人工藻结皮的发育早期,适度遮阴有利于藻类初期的生长。
3.2 沙蒿胶及菌剂的添加对BSC生长及土壤理化性质的影响
虽然人工培养的藻种在野外接种后可显著增强固沙功能[24-28],改善沙面土壤的水文[29-31]和理化属性[26,28,30],但在BSC培育初期,创伤表面的微藻生物量较低,不足形成藻结皮,微藻容易吸附在土壤颗粒表面,随风迁移。因此,需要将生物结皮诱导与化学固沙方法相结合,在生物结皮培育前期给生物结皮的形成发育提供稳定的微环境,已有少量关于沙蒿胶和微藻联合固沙[17],以及微藻配合高吸水性聚合物固沙等新方法的报道[26]。有研究者使用3种本土蓝藻(Nostoc sp., Phormidium sp.和Scytonema arcangeli),配合使用固沙剂和高吸水性聚合物在腾格里沙漠流沙中接种,1 a后人工BSC功能可达到发育20 a自然BSC的50%~100%[26]。本研究中,我们在人工藻液中添加了适量沙蒿胶和枯草芽孢杆菌以促进藻类生长。沙蒿胶是从沙生植物白沙蒿(Artemisia sphaerocephala)种子中提取的一种物质,具有较高的黏度、良好的吸水性和保水性[32],是一种对环境友好的新型生态固沙材料,可促进虫实、沙蒿种子萌发和幼苗生长[17,33]。枯草芽孢杆菌可分泌大量的胞外多糖,诱导碳酸钙沉淀,增大风沙土团聚体稳定性,进而提高风沙土抗蚀能力[34];生物结皮的发育往往伴随着微生物群落的发展,二者相互作用,共同发挥生态效益[35]。另外,枯草芽孢杆菌还可改善沙土质量、促进沙生植物生长[36]。借鉴前人研究成果,本试验采用了在蓝藻混合液中添加菌剂和沙蒿胶的方法来改善土壤水分和养分状况,促进藻类的生长和发育。在我们的试验中,不同工程扰动面喷洒复合藻液(藻液+枯草芽孢杆菌+沙蒿胶)3个月内可迅速生成BSC,2 a后可达稳定状态。人工藻液添加适量沙蒿胶和枯草芽孢杆菌,可有效促进藻类在极端干旱环境下的定植和发育,有效防止风蚀发生。
3.3 藻种对人工BSC重建的影响
藻种的选择对人工生物结皮诱导尤为重要。河西走廊戈壁土壤的pH值在7.0~8.0,呈微碱性[37]。在中性和碱性土壤中,丝状蓝藻如微鞘藻和念珠藻分布较多[38],微鞘藻属(Microcoleus)、伪枝藻属(Scytonema)等是藻结皮的先锋拓植优势物种[39-40]。因此,本试验选取了M. vaginatus、S. javanicum和P. tenue做为藻种。M. vaginatus、S. javanicum和P. tenue按10∶1∶5的生物量混合接种时,形成的荒漠藻结皮的抗压强度最大,其稳定性也最高[16]。综合前人经验和我们的前期试验,我们将上述3种藻株做为藻种,添加沙蒿胶和功能性菌剂后接种在古浪试验地成功诱导人工BSC生长并改善了土壤养分。作为对比,我们也选取了本土混合藻种,结果显示在接种量很小的情况下(40 μg·m-2 Chl a),可达到相同的防治效果,显示出一定的优势。因此,在实际应用中应优先选择本土藻种。
3.4 本试验中的其他问题
沙蒿胶具有良好的固沙效果,可以作为环境友好型固沙剂,与生物固沙结合用于治沙,沙蒿胶喷洒质量分数以0.20%为宜[33]。在本试验中喷洒0.1%沙蒿胶也取得了良好的效果。目前沙蒿胶的市场价为3.6万元·t-1,按照2 L·m-2计算(浓度为0.1%),每平方米的成本低于0.1元,远低于其他化学固沙剂。在实际应用中,短期可优先采用沙蒿胶,但长期还需考虑沙蒿胶的抗老化能力和抗冻融能力。
另外,本试验仅开展了2 a,试验结束时未观察到有地衣结皮或苔藓结皮,但已有植物群落开始生长。蓝藻、微生物菌剂和沙蒿胶的联合诱导人工BSC新方法在河西走廊干旱区BSC恢复和重建中应用效果还需要更长的时间检验。
4 结论
在河西走廊荒漠戈壁区工程迹地,通过接种人工复合藻液能有效防止风蚀发生,加快人工BSC形成和发育,改善土壤养分,为下一步的植物群落定植奠定基础。不同坡向及扰动面对BSC的发育影响显著,蓝藻、微生物菌剂和沙蒿胶的联合固沙新方法可用于干旱区常见工程创面(边坡和碾压面)的风蚀防治和生态修复,但在实际应用中应优先选择本土藻种。化学固沙剂沙蒿胶因其价格低廉、使用方便、防风蚀效果明显而具较大优势。
参考文献
Cyanobacterial inoculation (cyanobacterisation): perspective for the development of a standardized multifunctional technology for soil fertilization and desertification reversal
[J].
Induced biological soil crusts and soil properties varied between slope aspect,slope gradient and plant canopy in the Hobq Desert of China
[J].
Structure and function of microphytic soil crusts in wildland ecosystems of arid to semi-arid regions
[J].
Microbiotic soil crusts: a review of their roles in soil and ecological processes in the rangelands of Australia
[J].
Long-term ecosystem effects of sand-binding vegetation in the Tengger Desert,northern China
[J].
Biological soil crust development and its topsoil properties in the process of dune stabilization,Inner Mongolia,China
[J].
The effects of plantation development on biological soil crust and topsoil properties in a desert in northern China
[J].
Natural recovery of moss-dominated biological soil crusts after surface soil removal and their long-term effects on soil water conditions in a semiarid environment
[J].
Spectrophotometric characteristics of chlorophylls a and b and their phenophytins in ethanol
[J].
Slope aspect affects the nonstructural carbohydrates and C∶N∶P stoichiometry of Artemisia sacrorum on the Loess Plateau in China
[J].
Responses of microalgal-microbial biomass and enzyme activities of biological soil crusts to moisture and inoculated Microcoleus vaginatus gradients
[J].
Feasibility of cyanobacterial inoculation for biological soil crusts formation in desert area
[J].
Rapid development of cyanobacterial crust in the field for combating desertification
[J].
Use of cyanobacterial polysaccharides to promote shrub performances in desert soils: a potential approach for the restoration of desertified areas
[J].
Effects of artificially cultivated biological soil crusts on soil nutrients and biological activities in the Loess Plateau
[J].
Artificial culture of biological soil crusts and its effects on overland flow and infiltration under simulated rainfall
[J].
Development of artificial moss-dominated biological soil crusts and their effects on runoff and soil water content in a semi-arid environment
[J].
Artificially accelerating the reversal of desertification: cyanobacterial inoculation facilitates the succession of vegetation communities
[J].
Extraction,fractionation and physicochemical characterization of water-soluble polysaccharides from Artemisia sphaerocephala Krasch seed
[J].
Relationships between biological soil crusts,bacterial diversity and abundance,and ecosystem functioning:insights from a semi-arid Mediterranean environment
[J].
How is desertification research addressed in Spain? land versus soil approaches
[J].
/
| 〈 |
|
〉 |

甘公网安备 62010202000688号