Implications of carbon neutrality for power sector investments and stranded coal assets in China
1
2023
... 全球经济飞速发展与环境可持续发展之间的矛盾正促使能源领域发生着深刻变革.尽管当前煤炭、石油和天然气等传统能源在全球能源结构中仍占据主导地位[1],但太阳能、风能等新能源占比在日益增长[2-3].截至2023年底,全球可再生能源装机容量达3 864 GW,较2014年净增2 166 GW,年均增长率为9.7%[4].尤其值得关注的是,2023年可再生能源装机容量在全球总装机容量中占比已达43%,当年新增可再生能源装机容量为473 GW,占全球新增发电量的86%[4].其中,太阳能光伏装机呈现显著增长态势,2023年全球累计装机容量达1 418 GW,较2022年同比增长32.4%[4-5].从区域分布看,中国、印度、美国和德国等主要市场光伏装机表现突出,2023年新增装机同比增幅分别为55.2%、15.3%、17.8%和21.2%[4]. ...
Formation of energy policy in Europe,taking into account trends in the global market
1
2020
... 全球经济飞速发展与环境可持续发展之间的矛盾正促使能源领域发生着深刻变革.尽管当前煤炭、石油和天然气等传统能源在全球能源结构中仍占据主导地位[1],但太阳能、风能等新能源占比在日益增长[2-3].截至2023年底,全球可再生能源装机容量达3 864 GW,较2014年净增2 166 GW,年均增长率为9.7%[4].尤其值得关注的是,2023年可再生能源装机容量在全球总装机容量中占比已达43%,当年新增可再生能源装机容量为473 GW,占全球新增发电量的86%[4].其中,太阳能光伏装机呈现显著增长态势,2023年全球累计装机容量达1 418 GW,较2022年同比增长32.4%[4-5].从区域分布看,中国、印度、美国和德国等主要市场光伏装机表现突出,2023年新增装机同比增幅分别为55.2%、15.3%、17.8%和21.2%[4]. ...
Contemplation on China's energy-development strategies and initiatives in the context of its carbon neutrality goal
1
2021
... 全球经济飞速发展与环境可持续发展之间的矛盾正促使能源领域发生着深刻变革.尽管当前煤炭、石油和天然气等传统能源在全球能源结构中仍占据主导地位[1],但太阳能、风能等新能源占比在日益增长[2-3].截至2023年底,全球可再生能源装机容量达3 864 GW,较2014年净增2 166 GW,年均增长率为9.7%[4].尤其值得关注的是,2023年可再生能源装机容量在全球总装机容量中占比已达43%,当年新增可再生能源装机容量为473 GW,占全球新增发电量的86%[4].其中,太阳能光伏装机呈现显著增长态势,2023年全球累计装机容量达1 418 GW,较2022年同比增长32.4%[4-5].从区域分布看,中国、印度、美国和德国等主要市场光伏装机表现突出,2023年新增装机同比增幅分别为55.2%、15.3%、17.8%和21.2%[4]. ...
Renewable Energy Statistics 2024
4
2024
... 全球经济飞速发展与环境可持续发展之间的矛盾正促使能源领域发生着深刻变革.尽管当前煤炭、石油和天然气等传统能源在全球能源结构中仍占据主导地位[1],但太阳能、风能等新能源占比在日益增长[2-3].截至2023年底,全球可再生能源装机容量达3 864 GW,较2014年净增2 166 GW,年均增长率为9.7%[4].尤其值得关注的是,2023年可再生能源装机容量在全球总装机容量中占比已达43%,当年新增可再生能源装机容量为473 GW,占全球新增发电量的86%[4].其中,太阳能光伏装机呈现显著增长态势,2023年全球累计装机容量达1 418 GW,较2022年同比增长32.4%[4-5].从区域分布看,中国、印度、美国和德国等主要市场光伏装机表现突出,2023年新增装机同比增幅分别为55.2%、15.3%、17.8%和21.2%[4]. ...
... [4].其中,太阳能光伏装机呈现显著增长态势,2023年全球累计装机容量达1 418 GW,较2022年同比增长32.4%[4-5].从区域分布看,中国、印度、美国和德国等主要市场光伏装机表现突出,2023年新增装机同比增幅分别为55.2%、15.3%、17.8%和21.2%[4]. ...
... [4-5].从区域分布看,中国、印度、美国和德国等主要市场光伏装机表现突出,2023年新增装机同比增幅分别为55.2%、15.3%、17.8%和21.2%[4]. ...
... [4]. ...
The role of new energy in carbon neutral
1
2021
... 全球经济飞速发展与环境可持续发展之间的矛盾正促使能源领域发生着深刻变革.尽管当前煤炭、石油和天然气等传统能源在全球能源结构中仍占据主导地位[1],但太阳能、风能等新能源占比在日益增长[2-3].截至2023年底,全球可再生能源装机容量达3 864 GW,较2014年净增2 166 GW,年均增长率为9.7%[4].尤其值得关注的是,2023年可再生能源装机容量在全球总装机容量中占比已达43%,当年新增可再生能源装机容量为473 GW,占全球新增发电量的86%[4].其中,太阳能光伏装机呈现显著增长态势,2023年全球累计装机容量达1 418 GW,较2022年同比增长32.4%[4-5].从区域分布看,中国、印度、美国和德国等主要市场光伏装机表现突出,2023年新增装机同比增幅分别为55.2%、15.3%、17.8%和21.2%[4]. ...
Ecological functions of PV power plants in the desert and gobi
2
2016
... 沙漠地区拥有丰富的光照与大量未利用土地资源,这为大规模光伏电站建设提供了得天独厚的条件[6-7].然而,沙漠光伏电站建设和运营会显著改变局地风沙运动规律,带来连锁生态环境效应.从风沙动力学角度看,光伏设施通过改变近地表流场结构,显著干扰区域风沙移动过程,从而打破原有侵蚀-堆积平衡状态,引起光伏板下地表的强烈掏蚀和板间堆积[8-9].由此引发的板下土壤差异性侵蚀将导致光伏支架立柱不均匀沉降,其反过来会影响光伏组件的发电效率,并会导致光伏板损坏[10].调查发现,光伏板下土壤在强烈的侵蚀作用下可形成深度15~30 cm的掏蚀坑,相应的板间堆积体高度40~60 cm[11],这种微地形改变效应在固定式低支架光伏阵列体系中尤为明显[12].在光伏电站长期运营过程中,持续风蚀作用还会导致板下土壤有机质大量流失,使得本就脆弱的沙漠生态系统稳定性进一步降低[8]. ...
... 近年来,光伏阵列-工程沙障-固沙植物三位一体协同发展与治理体系逐渐受到大家重视[8].该体系通过集成植被重建、土壤改良以及风沙防治等技术,构建了多尺度生态修复体系,从而实现了光伏发电与生态治理并重的荒漠生态系统可持续利用路径[13].有研究表明,在光伏阵列板间区域布设1.5 m×1.5 m草方格沙障并种植梭梭(Haloxylon ammodendron)、沙蒿(Artemisia desertorum)等旱生植物可增加地表粗糙度,有效降低近地面0.5 m高度处的风速[14].在光伏板下,通过客土法铺设15~20 cm厚度土壤后,光伏板遮荫诱发板下温度降低与水分蒸发减少所形成的微生境条件将有利于作物生长[6].因此,板上发电、板间固沙、板下种植的立体化发展路径[15]通过能量-水分-土壤耦合调控机制[16],可形成光伏+治沙+农业耦合发展模式,这为荒漠生态系统区域服务功能增值找到了较佳发展路径[11]. ...
腾格里沙漠南缘大型光伏基地植被保护和生态修复的理论与对策
1
2024
... 沙漠地区拥有丰富的光照与大量未利用土地资源,这为大规模光伏电站建设提供了得天独厚的条件[6-7].然而,沙漠光伏电站建设和运营会显著改变局地风沙运动规律,带来连锁生态环境效应.从风沙动力学角度看,光伏设施通过改变近地表流场结构,显著干扰区域风沙移动过程,从而打破原有侵蚀-堆积平衡状态,引起光伏板下地表的强烈掏蚀和板间堆积[8-9].由此引发的板下土壤差异性侵蚀将导致光伏支架立柱不均匀沉降,其反过来会影响光伏组件的发电效率,并会导致光伏板损坏[10].调查发现,光伏板下土壤在强烈的侵蚀作用下可形成深度15~30 cm的掏蚀坑,相应的板间堆积体高度40~60 cm[11],这种微地形改变效应在固定式低支架光伏阵列体系中尤为明显[12].在光伏电站长期运营过程中,持续风蚀作用还会导致板下土壤有机质大量流失,使得本就脆弱的沙漠生态系统稳定性进一步降低[8]. ...
不同措施对光伏电站风沙环境及土壤的影响
3
2024
... 沙漠地区拥有丰富的光照与大量未利用土地资源,这为大规模光伏电站建设提供了得天独厚的条件[6-7].然而,沙漠光伏电站建设和运营会显著改变局地风沙运动规律,带来连锁生态环境效应.从风沙动力学角度看,光伏设施通过改变近地表流场结构,显著干扰区域风沙移动过程,从而打破原有侵蚀-堆积平衡状态,引起光伏板下地表的强烈掏蚀和板间堆积[8-9].由此引发的板下土壤差异性侵蚀将导致光伏支架立柱不均匀沉降,其反过来会影响光伏组件的发电效率,并会导致光伏板损坏[10].调查发现,光伏板下土壤在强烈的侵蚀作用下可形成深度15~30 cm的掏蚀坑,相应的板间堆积体高度40~60 cm[11],这种微地形改变效应在固定式低支架光伏阵列体系中尤为明显[12].在光伏电站长期运营过程中,持续风蚀作用还会导致板下土壤有机质大量流失,使得本就脆弱的沙漠生态系统稳定性进一步降低[8]. ...
... [8]. ...
... 近年来,光伏阵列-工程沙障-固沙植物三位一体协同发展与治理体系逐渐受到大家重视[8].该体系通过集成植被重建、土壤改良以及风沙防治等技术,构建了多尺度生态修复体系,从而实现了光伏发电与生态治理并重的荒漠生态系统可持续利用路径[13].有研究表明,在光伏阵列板间区域布设1.5 m×1.5 m草方格沙障并种植梭梭(Haloxylon ammodendron)、沙蒿(Artemisia desertorum)等旱生植物可增加地表粗糙度,有效降低近地面0.5 m高度处的风速[14].在光伏板下,通过客土法铺设15~20 cm厚度土壤后,光伏板遮荫诱发板下温度降低与水分蒸发减少所形成的微生境条件将有利于作物生长[6].因此,板上发电、板间固沙、板下种植的立体化发展路径[15]通过能量-水分-土壤耦合调控机制[16],可形成光伏+治沙+农业耦合发展模式,这为荒漠生态系统区域服务功能增值找到了较佳发展路径[11]. ...
我国沙漠地区光伏产业与生态治理分析
1
2024
... 沙漠地区拥有丰富的光照与大量未利用土地资源,这为大规模光伏电站建设提供了得天独厚的条件[6-7].然而,沙漠光伏电站建设和运营会显著改变局地风沙运动规律,带来连锁生态环境效应.从风沙动力学角度看,光伏设施通过改变近地表流场结构,显著干扰区域风沙移动过程,从而打破原有侵蚀-堆积平衡状态,引起光伏板下地表的强烈掏蚀和板间堆积[8-9].由此引发的板下土壤差异性侵蚀将导致光伏支架立柱不均匀沉降,其反过来会影响光伏组件的发电效率,并会导致光伏板损坏[10].调查发现,光伏板下土壤在强烈的侵蚀作用下可形成深度15~30 cm的掏蚀坑,相应的板间堆积体高度40~60 cm[11],这种微地形改变效应在固定式低支架光伏阵列体系中尤为明显[12].在光伏电站长期运营过程中,持续风蚀作用还会导致板下土壤有机质大量流失,使得本就脆弱的沙漠生态系统稳定性进一步降低[8]. ...
Analysis of the tilt and azimuth angles of photovoltaic systems in non-ideal positions for urban applications
1
2022
... 沙漠地区拥有丰富的光照与大量未利用土地资源,这为大规模光伏电站建设提供了得天独厚的条件[6-7].然而,沙漠光伏电站建设和运营会显著改变局地风沙运动规律,带来连锁生态环境效应.从风沙动力学角度看,光伏设施通过改变近地表流场结构,显著干扰区域风沙移动过程,从而打破原有侵蚀-堆积平衡状态,引起光伏板下地表的强烈掏蚀和板间堆积[8-9].由此引发的板下土壤差异性侵蚀将导致光伏支架立柱不均匀沉降,其反过来会影响光伏组件的发电效率,并会导致光伏板损坏[10].调查发现,光伏板下土壤在强烈的侵蚀作用下可形成深度15~30 cm的掏蚀坑,相应的板间堆积体高度40~60 cm[11],这种微地形改变效应在固定式低支架光伏阵列体系中尤为明显[12].在光伏电站长期运营过程中,持续风蚀作用还会导致板下土壤有机质大量流失,使得本就脆弱的沙漠生态系统稳定性进一步降低[8]. ...
库布齐沙漠生态治理与开发利用的典型模式
2
2017
... 沙漠地区拥有丰富的光照与大量未利用土地资源,这为大规模光伏电站建设提供了得天独厚的条件[6-7].然而,沙漠光伏电站建设和运营会显著改变局地风沙运动规律,带来连锁生态环境效应.从风沙动力学角度看,光伏设施通过改变近地表流场结构,显著干扰区域风沙移动过程,从而打破原有侵蚀-堆积平衡状态,引起光伏板下地表的强烈掏蚀和板间堆积[8-9].由此引发的板下土壤差异性侵蚀将导致光伏支架立柱不均匀沉降,其反过来会影响光伏组件的发电效率,并会导致光伏板损坏[10].调查发现,光伏板下土壤在强烈的侵蚀作用下可形成深度15~30 cm的掏蚀坑,相应的板间堆积体高度40~60 cm[11],这种微地形改变效应在固定式低支架光伏阵列体系中尤为明显[12].在光伏电站长期运营过程中,持续风蚀作用还会导致板下土壤有机质大量流失,使得本就脆弱的沙漠生态系统稳定性进一步降低[8]. ...
... 近年来,光伏阵列-工程沙障-固沙植物三位一体协同发展与治理体系逐渐受到大家重视[8].该体系通过集成植被重建、土壤改良以及风沙防治等技术,构建了多尺度生态修复体系,从而实现了光伏发电与生态治理并重的荒漠生态系统可持续利用路径[13].有研究表明,在光伏阵列板间区域布设1.5 m×1.5 m草方格沙障并种植梭梭(Haloxylon ammodendron)、沙蒿(Artemisia desertorum)等旱生植物可增加地表粗糙度,有效降低近地面0.5 m高度处的风速[14].在光伏板下,通过客土法铺设15~20 cm厚度土壤后,光伏板遮荫诱发板下温度降低与水分蒸发减少所形成的微生境条件将有利于作物生长[6].因此,板上发电、板间固沙、板下种植的立体化发展路径[15]通过能量-水分-土壤耦合调控机制[16],可形成光伏+治沙+农业耦合发展模式,这为荒漠生态系统区域服务功能增值找到了较佳发展路径[11]. ...
库布齐沙漠110 MW光伏基地次生风沙危害的动力学机制
1
2018
... 沙漠地区拥有丰富的光照与大量未利用土地资源,这为大规模光伏电站建设提供了得天独厚的条件[6-7].然而,沙漠光伏电站建设和运营会显著改变局地风沙运动规律,带来连锁生态环境效应.从风沙动力学角度看,光伏设施通过改变近地表流场结构,显著干扰区域风沙移动过程,从而打破原有侵蚀-堆积平衡状态,引起光伏板下地表的强烈掏蚀和板间堆积[8-9].由此引发的板下土壤差异性侵蚀将导致光伏支架立柱不均匀沉降,其反过来会影响光伏组件的发电效率,并会导致光伏板损坏[10].调查发现,光伏板下土壤在强烈的侵蚀作用下可形成深度15~30 cm的掏蚀坑,相应的板间堆积体高度40~60 cm[11],这种微地形改变效应在固定式低支架光伏阵列体系中尤为明显[12].在光伏电站长期运营过程中,持续风蚀作用还会导致板下土壤有机质大量流失,使得本就脆弱的沙漠生态系统稳定性进一步降低[8]. ...
Combined ecological and economic benefits of the solar photovoltaic industry in arid sandy ecosystems
2
2020
... 近年来,光伏阵列-工程沙障-固沙植物三位一体协同发展与治理体系逐渐受到大家重视[8].该体系通过集成植被重建、土壤改良以及风沙防治等技术,构建了多尺度生态修复体系,从而实现了光伏发电与生态治理并重的荒漠生态系统可持续利用路径[13].有研究表明,在光伏阵列板间区域布设1.5 m×1.5 m草方格沙障并种植梭梭(Haloxylon ammodendron)、沙蒿(Artemisia desertorum)等旱生植物可增加地表粗糙度,有效降低近地面0.5 m高度处的风速[14].在光伏板下,通过客土法铺设15~20 cm厚度土壤后,光伏板遮荫诱发板下温度降低与水分蒸发减少所形成的微生境条件将有利于作物生长[6].因此,板上发电、板间固沙、板下种植的立体化发展路径[15]通过能量-水分-土壤耦合调控机制[16],可形成光伏+治沙+农业耦合发展模式,这为荒漠生态系统区域服务功能增值找到了较佳发展路径[11]. ...
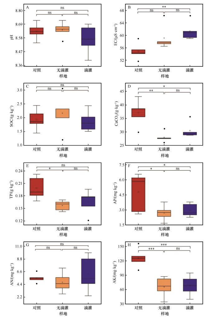
... 具体来看,无滴灌区的SMC显著低于对照区(图2),这说明单纯的农业光伏体系会造成沙漠土壤水分耗损[27].在无滴灌措施时,尽管光伏板遮阴会导致土壤蒸发量减小[13,28-29],但其并不能从根本上弥补植物种植增加的土壤水分需求.显然,红枣灌木虽然耐旱,但其对土壤水分仍有较高需求[30].研究表明,植物蒸腾作用对土壤水分的耗损远大于土壤蒸发[31],因而滴灌措施下外源水分输入在一定程度上补偿了红枣的水分需求,这使得滴灌区的SMC尽管低于对照区,但其差异并不显著. ...
Straw checkboard or afforestation?:assessment and comparison of combined benefits of two typical sand fixing models
1
2022
... 近年来,光伏阵列-工程沙障-固沙植物三位一体协同发展与治理体系逐渐受到大家重视[8].该体系通过集成植被重建、土壤改良以及风沙防治等技术,构建了多尺度生态修复体系,从而实现了光伏发电与生态治理并重的荒漠生态系统可持续利用路径[13].有研究表明,在光伏阵列板间区域布设1.5 m×1.5 m草方格沙障并种植梭梭(Haloxylon ammodendron)、沙蒿(Artemisia desertorum)等旱生植物可增加地表粗糙度,有效降低近地面0.5 m高度处的风速[14].在光伏板下,通过客土法铺设15~20 cm厚度土壤后,光伏板遮荫诱发板下温度降低与水分蒸发减少所形成的微生境条件将有利于作物生长[6].因此,板上发电、板间固沙、板下种植的立体化发展路径[15]通过能量-水分-土壤耦合调控机制[16],可形成光伏+治沙+农业耦合发展模式,这为荒漠生态系统区域服务功能增值找到了较佳发展路径[11]. ...
基于无人机和卫星影像的光伏电站植被协同管理研究
1
2024
... 近年来,光伏阵列-工程沙障-固沙植物三位一体协同发展与治理体系逐渐受到大家重视[8].该体系通过集成植被重建、土壤改良以及风沙防治等技术,构建了多尺度生态修复体系,从而实现了光伏发电与生态治理并重的荒漠生态系统可持续利用路径[13].有研究表明,在光伏阵列板间区域布设1.5 m×1.5 m草方格沙障并种植梭梭(Haloxylon ammodendron)、沙蒿(Artemisia desertorum)等旱生植物可增加地表粗糙度,有效降低近地面0.5 m高度处的风速[14].在光伏板下,通过客土法铺设15~20 cm厚度土壤后,光伏板遮荫诱发板下温度降低与水分蒸发减少所形成的微生境条件将有利于作物生长[6].因此,板上发电、板间固沙、板下种植的立体化发展路径[15]通过能量-水分-土壤耦合调控机制[16],可形成光伏+治沙+农业耦合发展模式,这为荒漠生态系统区域服务功能增值找到了较佳发展路径[11]. ...
Agrivoltaics provide mutual benefits across the food-energy-water nexus in drylands
1
2019
... 近年来,光伏阵列-工程沙障-固沙植物三位一体协同发展与治理体系逐渐受到大家重视[8].该体系通过集成植被重建、土壤改良以及风沙防治等技术,构建了多尺度生态修复体系,从而实现了光伏发电与生态治理并重的荒漠生态系统可持续利用路径[13].有研究表明,在光伏阵列板间区域布设1.5 m×1.5 m草方格沙障并种植梭梭(Haloxylon ammodendron)、沙蒿(Artemisia desertorum)等旱生植物可增加地表粗糙度,有效降低近地面0.5 m高度处的风速[14].在光伏板下,通过客土法铺设15~20 cm厚度土壤后,光伏板遮荫诱发板下温度降低与水分蒸发减少所形成的微生境条件将有利于作物生长[6].因此,板上发电、板间固沙、板下种植的立体化发展路径[15]通过能量-水分-土壤耦合调控机制[16],可形成光伏+治沙+农业耦合发展模式,这为荒漠生态系统区域服务功能增值找到了较佳发展路径[11]. ...
民勤绿洲边缘荒漠植被滴灌恢复试验研究
1
2007
... 滴灌是缓解旱境地区水资源短缺与防治土壤退化的有效策略[17].该策略通过精准施水提高土壤水分有效性,进而改善土壤养分供应能力并促进土壤结构正常发育[18].因此,光伏+滴灌模式在理论上有利于提升旱境土壤质量.尽管滴灌措施下土壤环境特性响应已开展了大量研究,然而在沙漠生境中,农业光伏体系耦合滴灌措施如何影响土壤环境特性,目前研究较为匮乏.因此,本研究以库布齐沙漠建站运行5年的光伏电站为研究对象,对比研究滴灌和无滴灌光伏区之间及其与无光伏对照区在土壤物理、化学、生物学属性上的差异,并考察不同土壤属性间内在联系.本研究旨在探明滴灌措施影响沙质土壤环境的方向和路径,进而为光伏体系下沙漠生态系统可持续利用提供可行的发展策略. ...
Scientific substantiation of introduction of systems of small-intensive irrigation under conditions of mineral farming in Azerbaijan
1
2019
... 滴灌是缓解旱境地区水资源短缺与防治土壤退化的有效策略[17].该策略通过精准施水提高土壤水分有效性,进而改善土壤养分供应能力并促进土壤结构正常发育[18].因此,光伏+滴灌模式在理论上有利于提升旱境土壤质量.尽管滴灌措施下土壤环境特性响应已开展了大量研究,然而在沙漠生境中,农业光伏体系耦合滴灌措施如何影响土壤环境特性,目前研究较为匮乏.因此,本研究以库布齐沙漠建站运行5年的光伏电站为研究对象,对比研究滴灌和无滴灌光伏区之间及其与无光伏对照区在土壤物理、化学、生物学属性上的差异,并考察不同土壤属性间内在联系.本研究旨在探明滴灌措施影响沙质土壤环境的方向和路径,进而为光伏体系下沙漠生态系统可持续利用提供可行的发展策略. ...
库布齐沙漠侵蚀状况及治理构想
1
1998
... 研究区位于内蒙古自治区鄂尔多斯市达拉特旗昭君镇库布齐沙漠光伏电站(图1).该电站于2018年5月29日开工建设,同年12月10日全面并网.该区域属于温带大陆性气候,年平均气温为7.3 ℃,年降水量119.6~403.2 mm,年蒸发量为2 162 mm.降水主要在7—9月,约占全年降水量的80%.该地区风、光资源丰富,年日照时数为3 100 h,年太阳总辐射量597.9 kJ∙cm-2,风速为3.2~3.9 m∙s-1,最大风速可达22 m∙s-1[19-20]. ...
库布齐沙漠沉积物粒度及其对沉积环境的指示意义
1
2024
... 研究区位于内蒙古自治区鄂尔多斯市达拉特旗昭君镇库布齐沙漠光伏电站(图1).该电站于2018年5月29日开工建设,同年12月10日全面并网.该区域属于温带大陆性气候,年平均气温为7.3 ℃,年降水量119.6~403.2 mm,年蒸发量为2 162 mm.降水主要在7—9月,约占全年降水量的80%.该地区风、光资源丰富,年日照时数为3 100 h,年太阳总辐射量597.9 kJ∙cm-2,风速为3.2~3.9 m∙s-1,最大风速可达22 m∙s-1[19-20]. ...
1
2002
... 研究区光伏电站的光伏组件采用追踪式高支架体系,光伏阵列间距为9 m,支架高度大于4 m.光伏板间种植矮化经济林树种红枣(Ziziphus jujuba),共种植约88 hm2,株行距为2 m×3 m.红枣种植区一分为二,一半为雨养型,一半采用滴灌方式进行灌溉,滴灌管线平行于光伏支架,孔口距离红枣树干10~15 cm.滴灌水源为煤矿疏干水,水质满足《地表水环境质量标准(GB 3838—2002)》[21]的三级水质标准.灌溉从4月持续至10月,20 d灌溉一次,每次持续一星期,滴灌用水量为13.6 m3∙d-1∙hm-2.在光伏区附近,选择经历同样土地平整的无光伏地块作为对照区. ...
1
2006
... 土壤理化指标的测定,参照鲍士旦[22]的方法进行.土壤容重(BD)采用体积为100 cm3的环刀测量,土壤含水量(SMC)根据烘干后土壤质量与鲜土质量的差值计算.土壤pH和电导率(EC)分别使用pH计和EC计测定.土壤有机碳含量(SOC)采用K2Cr2O7氧化法测定,碳酸钙(CaCO3)含量采用酸碱滴定法测定.土壤碱解氮(AN)采用碱解扩散法测定,有效磷含量(AP)采用碳酸氢钠浸提-钼锑抗比色法测定,速效钾含量(AK)采用乙酸铵浸提-火焰光度法测定.土壤总磷量(TP)采用酸溶-钼锑抗比色法测定.土壤中与C、N、P循环相关的β-葡萄糖苷酶(GLU)、N-乙酰-β-D-氨基葡萄糖苷酶(NAG)、亮氨酸氨基肽酶(LAP)以及碱性磷酸酶(ALP)的活性采用苏州梦犀生物医药科技有限公司的试剂盒进行测定. ...
Link E T:everything is linkable
1
2021
... 所有实验数据均基于土壤干重计算,实验结果以算术平均值±标准误(n=5)的形式表示.数据采用SPSS 27.0软件进行统计,针对对照区、无滴灌区以及滴灌区土壤物理、化学、生物学属性的组间差异,采用独立样本t检验进行区分.土壤酶活性与理化性质两个矩阵间的关系用Mantel检验分析,土壤理化指标间及其与土壤酶活性的关系用Pearson相关性分析实现,上述结果可视化采用linkET R语言包实现[23].土壤物理、化学以及生物学属性图采用Origin 2024软件绘制完成. ...
Biochar improves soil physical characteristics and strengthens root architecture in Muscadine Grape (Vitis rotundifolia L.)
1
2021
... 土壤物理特性是区分不同生境土壤环境特性的重要特征,其在一定时空范围内对环境变化具有良好的适应性[24-25].在本研究中,光伏阵列架设、作物种植以及水分管理是影响土壤属性的重要因素.然而,在滴灌措施下,无论是SMC还是BD,其与无光伏对照区的差异均不显著(图2),这表明在短期内(5年),荒漠土壤物理特性对滴灌农业光伏体系带来的环境变化适应性较强[26]. ...
Microhabitats associated with solar energy development alter demography of two desert annuals
1
2021
... 土壤物理特性是区分不同生境土壤环境特性的重要特征,其在一定时空范围内对环境变化具有良好的适应性[24-25].在本研究中,光伏阵列架设、作物种植以及水分管理是影响土壤属性的重要因素.然而,在滴灌措施下,无论是SMC还是BD,其与无光伏对照区的差异均不显著(图2),这表明在短期内(5年),荒漠土壤物理特性对滴灌农业光伏体系带来的环境变化适应性较强[26]. ...
Soil moisture and salinity as main drivers of soil respiration across natural xeromorphic vegetation and agricultural lands in an arid desert region
1
2019
... 土壤物理特性是区分不同生境土壤环境特性的重要特征,其在一定时空范围内对环境变化具有良好的适应性[24-25].在本研究中,光伏阵列架设、作物种植以及水分管理是影响土壤属性的重要因素.然而,在滴灌措施下,无论是SMC还是BD,其与无光伏对照区的差异均不显著(图2),这表明在短期内(5年),荒漠土壤物理特性对滴灌农业光伏体系带来的环境变化适应性较强[26]. ...
Simulated solar panels create altered microhabitats in desert landforms
1
2020
... 具体来看,无滴灌区的SMC显著低于对照区(图2),这说明单纯的农业光伏体系会造成沙漠土壤水分耗损[27].在无滴灌措施时,尽管光伏板遮阴会导致土壤蒸发量减小[13,28-29],但其并不能从根本上弥补植物种植增加的土壤水分需求.显然,红枣灌木虽然耐旱,但其对土壤水分仍有较高需求[30].研究表明,植物蒸腾作用对土壤水分的耗损远大于土壤蒸发[31],因而滴灌措施下外源水分输入在一定程度上补偿了红枣的水分需求,这使得滴灌区的SMC尽管低于对照区,但其差异并不显著. ...
Observed surface radiation and temperature impacts from the large-scale deployment of photovoltaics in the barren area of Gonghe,China
1
2018
... 具体来看,无滴灌区的SMC显著低于对照区(图2),这说明单纯的农业光伏体系会造成沙漠土壤水分耗损[27].在无滴灌措施时,尽管光伏板遮阴会导致土壤蒸发量减小[13,28-29],但其并不能从根本上弥补植物种植增加的土壤水分需求.显然,红枣灌木虽然耐旱,但其对土壤水分仍有较高需求[30].研究表明,植物蒸腾作用对土壤水分的耗损远大于土壤蒸发[31],因而滴灌措施下外源水分输入在一定程度上补偿了红枣的水分需求,这使得滴灌区的SMC尽管低于对照区,但其差异并不显著. ...
Effects of photovoltaic panels on soil temperature and moisture in desert areas
1
2021
... 具体来看,无滴灌区的SMC显著低于对照区(图2),这说明单纯的农业光伏体系会造成沙漠土壤水分耗损[27].在无滴灌措施时,尽管光伏板遮阴会导致土壤蒸发量减小[13,28-29],但其并不能从根本上弥补植物种植增加的土壤水分需求.显然,红枣灌木虽然耐旱,但其对土壤水分仍有较高需求[30].研究表明,植物蒸腾作用对土壤水分的耗损远大于土壤蒸发[31],因而滴灌措施下外源水分输入在一定程度上补偿了红枣的水分需求,这使得滴灌区的SMC尽管低于对照区,但其差异并不显著. ...
Impact of land management practices on water use strategy for a dryland tree plantation and subsequent responses to drought
1
2021
... 具体来看,无滴灌区的SMC显著低于对照区(图2),这说明单纯的农业光伏体系会造成沙漠土壤水分耗损[27].在无滴灌措施时,尽管光伏板遮阴会导致土壤蒸发量减小[13,28-29],但其并不能从根本上弥补植物种植增加的土壤水分需求.显然,红枣灌木虽然耐旱,但其对土壤水分仍有较高需求[30].研究表明,植物蒸腾作用对土壤水分的耗损远大于土壤蒸发[31],因而滴灌措施下外源水分输入在一定程度上补偿了红枣的水分需求,这使得滴灌区的SMC尽管低于对照区,但其差异并不显著. ...
Environmental impacts of large-scale CSP plants in Northwestern China
1
2014
... 具体来看,无滴灌区的SMC显著低于对照区(图2),这说明单纯的农业光伏体系会造成沙漠土壤水分耗损[27].在无滴灌措施时,尽管光伏板遮阴会导致土壤蒸发量减小[13,28-29],但其并不能从根本上弥补植物种植增加的土壤水分需求.显然,红枣灌木虽然耐旱,但其对土壤水分仍有较高需求[30].研究表明,植物蒸腾作用对土壤水分的耗损远大于土壤蒸发[31],因而滴灌措施下外源水分输入在一定程度上补偿了红枣的水分需求,这使得滴灌区的SMC尽管低于对照区,但其差异并不显著. ...
Elucidating controls of the variability of deep soil bulk density
1
2019
... BD是反映土壤结构与组成的综合性指标,其对短期环境变化的响应并不敏感[32].理论上,植物生长过程中会因根系的机械作用和分泌物的输入减少土壤压实,提高土壤孔隙度,进而降低BD[33].然而,在光伏区无论滴灌与否,植物种植均未显著改变BD.原因可能与研究区沙质土壤质地和红枣灌木根系分布有关[34-35].滴灌作为一种有效的水管理措施,被认为会通过调节土壤水分的输入与分布来改善土壤疏松度[36].然而,在沙生生境中,植物-水分的交互作用显然是远远大过了水分对土壤结构的影响. ...
Impacts of soil compaction and historical soybean variety growth on soil macropore structure
2
2021
... BD是反映土壤结构与组成的综合性指标,其对短期环境变化的响应并不敏感[32].理论上,植物生长过程中会因根系的机械作用和分泌物的输入减少土壤压实,提高土壤孔隙度,进而降低BD[33].然而,在光伏区无论滴灌与否,植物种植均未显著改变BD.原因可能与研究区沙质土壤质地和红枣灌木根系分布有关[34-35].滴灌作为一种有效的水管理措施,被认为会通过调节土壤水分的输入与分布来改善土壤疏松度[36].然而,在沙生生境中,植物-水分的交互作用显然是远远大过了水分对土壤结构的影响. ...
... 土壤酶活性对环境胁迫敏感,反映土壤健康状况,是评估土地利用变化的有效工具[46].在本研究中,无论是滴灌区还是无滴灌区,与土壤C、N、P循环相关的GLU、NAG、LAP以及ALP的活性相较于对照区均显著提升.这表明,在光伏体系下,红枣种植过程中土壤-植物的长期交互作用对土壤酶有显著的刺激作用,这可能与光伏板遮阴和植物凋落物输入对生境的改善有关[33,41]. ...
双点源滴灌条件下的土壤水分运移特征
1
2014
... BD是反映土壤结构与组成的综合性指标,其对短期环境变化的响应并不敏感[32].理论上,植物生长过程中会因根系的机械作用和分泌物的输入减少土壤压实,提高土壤孔隙度,进而降低BD[33].然而,在光伏区无论滴灌与否,植物种植均未显著改变BD.原因可能与研究区沙质土壤质地和红枣灌木根系分布有关[34-35].滴灌作为一种有效的水管理措施,被认为会通过调节土壤水分的输入与分布来改善土壤疏松度[36].然而,在沙生生境中,植物-水分的交互作用显然是远远大过了水分对土壤结构的影响. ...
砾土质戈壁滴灌条件下浸润模型与红枣根系分布研究
1
2012
... BD是反映土壤结构与组成的综合性指标,其对短期环境变化的响应并不敏感[32].理论上,植物生长过程中会因根系的机械作用和分泌物的输入减少土壤压实,提高土壤孔隙度,进而降低BD[33].然而,在光伏区无论滴灌与否,植物种植均未显著改变BD.原因可能与研究区沙质土壤质地和红枣灌木根系分布有关[34-35].滴灌作为一种有效的水管理措施,被认为会通过调节土壤水分的输入与分布来改善土壤疏松度[36].然而,在沙生生境中,植物-水分的交互作用显然是远远大过了水分对土壤结构的影响. ...
Assessing the impacts of irrigated agriculture on hydrological regimes in an oasis-desert system
1
2021
... BD是反映土壤结构与组成的综合性指标,其对短期环境变化的响应并不敏感[32].理论上,植物生长过程中会因根系的机械作用和分泌物的输入减少土壤压实,提高土壤孔隙度,进而降低BD[33].然而,在光伏区无论滴灌与否,植物种植均未显著改变BD.原因可能与研究区沙质土壤质地和红枣灌木根系分布有关[34-35].滴灌作为一种有效的水管理措施,被认为会通过调节土壤水分的输入与分布来改善土壤疏松度[36].然而,在沙生生境中,植物-水分的交互作用显然是远远大过了水分对土壤结构的影响. ...
Assessment of soil salinity indexes using electrical conductivity sensors
1
2021
... 在本研究中,所有地块的土壤EC值(<70 μS·cm-1)均远低于土壤盐渍化阈值,因而其可以作为表征土壤矿质养分释放动态的综合性指标[37].与对照区相比,无滴灌区的土壤EC值无显著变化,但滴灌区则显著升高.根据Pearson相关性分析结果,研究区土壤的CaCO3和SOC含量与EC值呈显著负相关关系.这说明,外源水分输入后增强了土壤中矿质养分化学风化与生物矿化释放过程[38]. ...
高寒草原土壤有机碳矿化对水氮添加的响应
1
2020
... 在本研究中,所有地块的土壤EC值(<70 μS·cm-1)均远低于土壤盐渍化阈值,因而其可以作为表征土壤矿质养分释放动态的综合性指标[37].与对照区相比,无滴灌区的土壤EC值无显著变化,但滴灌区则显著升高.根据Pearson相关性分析结果,研究区土壤的CaCO3和SOC含量与EC值呈显著负相关关系.这说明,外源水分输入后增强了土壤中矿质养分化学风化与生物矿化释放过程[38]. ...
Environmental impacts of photovoltaic power plants in Northwest China
1
2023
... 然而,滴灌区与无滴灌区间土壤EC值并无显著差异.与之相对应的是,所有其他土壤化学指标在滴灌区与无滴灌区间差异也均不显著.这种矛盾背后的原因可能与外源水分输入下土壤中矿质养分的循环过程(植物吸收、土壤淋失)被加强有关[39].具体来看,TP、AP和AK的水平与SMC呈显著正相关关系,且TP和AP均与CaCO3显著正相关(图5).同时,光伏区土壤并无显著的酸化效应,这可能与CaCO3溶解产生的酸缓冲作用有关[40].因此,考虑到滴灌和无滴灌区间SMC的显著差异,光伏区土壤中P和K的释放可能主要与红枣种植过程中根系分泌物参与的化学风化作用有关[41],而在滴灌措施下其循环过程被进一步增强. ...
土壤酸化成因及其对农田土壤-微生物-作物系统影响的研究进展
1
2024
... 然而,滴灌区与无滴灌区间土壤EC值并无显著差异.与之相对应的是,所有其他土壤化学指标在滴灌区与无滴灌区间差异也均不显著.这种矛盾背后的原因可能与外源水分输入下土壤中矿质养分的循环过程(植物吸收、土壤淋失)被加强有关[39].具体来看,TP、AP和AK的水平与SMC呈显著正相关关系,且TP和AP均与CaCO3显著正相关(图5).同时,光伏区土壤并无显著的酸化效应,这可能与CaCO3溶解产生的酸缓冲作用有关[40].因此,考虑到滴灌和无滴灌区间SMC的显著差异,光伏区土壤中P和K的释放可能主要与红枣种植过程中根系分泌物参与的化学风化作用有关[41],而在滴灌措施下其循环过程被进一步增强. ...
根系分泌的有机酸及其对喀斯特植物、土壤碳汇的影响
2
2011
... 然而,滴灌区与无滴灌区间土壤EC值并无显著差异.与之相对应的是,所有其他土壤化学指标在滴灌区与无滴灌区间差异也均不显著.这种矛盾背后的原因可能与外源水分输入下土壤中矿质养分的循环过程(植物吸收、土壤淋失)被加强有关[39].具体来看,TP、AP和AK的水平与SMC呈显著正相关关系,且TP和AP均与CaCO3显著正相关(图5).同时,光伏区土壤并无显著的酸化效应,这可能与CaCO3溶解产生的酸缓冲作用有关[40].因此,考虑到滴灌和无滴灌区间SMC的显著差异,光伏区土壤中P和K的释放可能主要与红枣种植过程中根系分泌物参与的化学风化作用有关[41],而在滴灌措施下其循环过程被进一步增强. ...
... 土壤酶活性对环境胁迫敏感,反映土壤健康状况,是评估土地利用变化的有效工具[46].在本研究中,无论是滴灌区还是无滴灌区,与土壤C、N、P循环相关的GLU、NAG、LAP以及ALP的活性相较于对照区均显著提升.这表明,在光伏体系下,红枣种植过程中土壤-植物的长期交互作用对土壤酶有显著的刺激作用,这可能与光伏板遮阴和植物凋落物输入对生境的改善有关[33,41]. ...
腾格里沙漠草方格固沙林土壤颗粒组成、分形维数及其对土壤性质的影响
1
2019
... 通常,作物种植能够不同程度地提升SOC水平[42].与传统的认知相反,本研究中光伏区的SOC水平与对照区相比并无显著差异.相对应的,尽管光伏区土壤AN也并未发生显著变化,但其变化具有高度异质性,特别是在滴灌区,其值与土壤pH显著负相关.这反映出,在光伏区,特别是在滴灌措施下,土壤中N素存在明显的生物转化过程,其中有机N矿化过程会诱发SOC亏损[43].另外,与对照区相比,无灌溉区土壤TP显著降低,但滴灌区却无显著差异.由于TP与AP显著正相关,因而滴灌区表土TP变化可能与植物对土壤中P素吸收返还作用增加有关[44].在本研究区,土壤中TP水平极低,因而有机P生物矿化作用也是重要的P素活化过程之一,这也会诱发SOC亏损[45].显然,沙漠农业光伏体系下,特别是辅助滴灌措施后,土壤中养分释放与循环过程会被增强,进而会带动土壤中有机C(SOC)和无机C(CaCO3)水平的变化. ...
宁南山区不同草地土壤原位矿化过程中氮素的变化特征
1
2014
... 通常,作物种植能够不同程度地提升SOC水平[42].与传统的认知相反,本研究中光伏区的SOC水平与对照区相比并无显著差异.相对应的,尽管光伏区土壤AN也并未发生显著变化,但其变化具有高度异质性,特别是在滴灌区,其值与土壤pH显著负相关.这反映出,在光伏区,特别是在滴灌措施下,土壤中N素存在明显的生物转化过程,其中有机N矿化过程会诱发SOC亏损[43].另外,与对照区相比,无灌溉区土壤TP显著降低,但滴灌区却无显著差异.由于TP与AP显著正相关,因而滴灌区表土TP变化可能与植物对土壤中P素吸收返还作用增加有关[44].在本研究区,土壤中TP水平极低,因而有机P生物矿化作用也是重要的P素活化过程之一,这也会诱发SOC亏损[45].显然,沙漠农业光伏体系下,特别是辅助滴灌措施后,土壤中养分释放与循环过程会被增强,进而会带动土壤中有机C(SOC)和无机C(CaCO3)水平的变化. ...
Cumulative effects of experimental nitrogen deposition on soil chemistry in a desert steppe:a 12-year field study
1
2024
... 通常,作物种植能够不同程度地提升SOC水平[42].与传统的认知相反,本研究中光伏区的SOC水平与对照区相比并无显著差异.相对应的,尽管光伏区土壤AN也并未发生显著变化,但其变化具有高度异质性,特别是在滴灌区,其值与土壤pH显著负相关.这反映出,在光伏区,特别是在滴灌措施下,土壤中N素存在明显的生物转化过程,其中有机N矿化过程会诱发SOC亏损[43].另外,与对照区相比,无灌溉区土壤TP显著降低,但滴灌区却无显著差异.由于TP与AP显著正相关,因而滴灌区表土TP变化可能与植物对土壤中P素吸收返还作用增加有关[44].在本研究区,土壤中TP水平极低,因而有机P生物矿化作用也是重要的P素活化过程之一,这也会诱发SOC亏损[45].显然,沙漠农业光伏体系下,特别是辅助滴灌措施后,土壤中养分释放与循环过程会被增强,进而会带动土壤中有机C(SOC)和无机C(CaCO3)水平的变化. ...
有机物料投入对喀斯特地区土壤磷素赋存形态与含phoD基因细菌群落的影响
1
2022
... 通常,作物种植能够不同程度地提升SOC水平[42].与传统的认知相反,本研究中光伏区的SOC水平与对照区相比并无显著差异.相对应的,尽管光伏区土壤AN也并未发生显著变化,但其变化具有高度异质性,特别是在滴灌区,其值与土壤pH显著负相关.这反映出,在光伏区,特别是在滴灌措施下,土壤中N素存在明显的生物转化过程,其中有机N矿化过程会诱发SOC亏损[43].另外,与对照区相比,无灌溉区土壤TP显著降低,但滴灌区却无显著差异.由于TP与AP显著正相关,因而滴灌区表土TP变化可能与植物对土壤中P素吸收返还作用增加有关[44].在本研究区,土壤中TP水平极低,因而有机P生物矿化作用也是重要的P素活化过程之一,这也会诱发SOC亏损[45].显然,沙漠农业光伏体系下,特别是辅助滴灌措施后,土壤中养分释放与循环过程会被增强,进而会带动土壤中有机C(SOC)和无机C(CaCO3)水平的变化. ...
Linking microbial functional gene abundance and soil extracellular enzyme activity:implications for soil carbon dynamics
1
2021
... 土壤酶活性对环境胁迫敏感,反映土壤健康状况,是评估土地利用变化的有效工具[46].在本研究中,无论是滴灌区还是无滴灌区,与土壤C、N、P循环相关的GLU、NAG、LAP以及ALP的活性相较于对照区均显著提升.这表明,在光伏体系下,红枣种植过程中土壤-植物的长期交互作用对土壤酶有显著的刺激作用,这可能与光伏板遮阴和植物凋落物输入对生境的改善有关[33,41]. ...
Effects of revegetation on soil physical and chemical properties in solar photovoltaic infrastructure
1
2020
... 在光伏区,滴灌区的土壤GLU和LAP的活性均显著高于无滴灌区,且均与土壤EC呈显著正相关关系.土壤有机C和无机C与EC显著相关(图5),且滴灌区的土壤AN变化呈现高度异质性(图3G),这反映出增加土壤水分输入后,沙漠土壤中N素生物转化过程会被加强[47-48],亦即滴灌区红枣在生长过程中对N素的需求增加. ...
Effect of light heterogeneity caused by photovoltaic panels on the plant-soil-microbial system in solar park
1
2023
... 在光伏区,滴灌区的土壤GLU和LAP的活性均显著高于无滴灌区,且均与土壤EC呈显著正相关关系.土壤有机C和无机C与EC显著相关(图5),且滴灌区的土壤AN变化呈现高度异质性(图3G),这反映出增加土壤水分输入后,沙漠土壤中N素生物转化过程会被加强[47-48],亦即滴灌区红枣在生长过程中对N素的需求增加. ...
Low soil phosphorus availability triggers maize growth stage specific rhizosphere processes leading to mineralization of organic P
1
2021
... 不同于N素,与P素转化相关的ALP的活性受到了SMC、CaCO3、AP以及AK的共同调控.由于光伏区的土壤AP水平均显著低于对照区,因而这反映出在低P素有效性驱动下,土壤有机P素生物矿化过程会被加强[49].然而,滴灌区和无滴灌区间土壤AP水平并无显著差异.考虑到ALP的活性同时受到SMC的影响,这表明高土壤水分条件下红枣对P磷素需求也会增加,且土壤中P素释放主要是含Ca磷酸盐矿物化学风化作用所致. ...