东北典型风蚀区不同土地利用方式下的风沙活动强度特征
赵馨茹 , 1 , 韩雪晴 1 , 梁羽石 , 1 , 2 , 张瑜 3 , 王大中 4 , 李庆 5 , 郭中领 6 , 沈海鸥 1 , 2
1.吉林农业大学,资源与环境学院,吉林 长春 130118
2.吉林农业大学,秸秆综合利用与黑土地保护教育部重点实验室,吉林 长春 130118
3.吉林省水利科学研究院,吉林 长春 130022
4.吉林省水土保持科学研究院,吉林 长春 130000
5.河北省科学院 地理科学研究所/河北省地理信息开发应用工程技术研究中心,河北 石家庄 050021
6.河北师范大学 地理科学学院,河北 石家庄 050024
Characteristics of aeolian sand activity intensity under different land-use types in a typical wind erosion region of Northeast China
Zhao Xinru , 1 , Han Xueqing 1 , Liang Yushi , 1 , 2 , Zhang Yu 3 , Wang Dazhong 4 , Li Qing 5 , Guo Zhongling 6 , Shen Haiou 1 , 2
1.College of Resources and Environment /, Jilin Agricultural University,Changchun 130118,China
2.Ministry of Education Key Laboratory of Straw Comprehensive Utilization and Black Soil Conservation, Jilin Agricultural University,Changchun 130118,China
3.Jilin Province Water Resources Research Institute,Changchun 130022,China
4.Institute of Soil and Water Conversation of Jilin Province,Changchun 130000,China
5.Institute of Geographical Sciences / Hebei Engineering Research Center for Geographic Information Application,Hebei Academy of Sciences,Shijiazhuang 050021,China
6.School of Geographical Sciences,Hebei Normal University,Shijiazhuang 050024,China
通讯作者: 梁羽石(E-mail: lukeliang@jlau.edu.cn )
收稿日期: 2025-12-21
修回日期: 2026-02-08
基金资助:
国家自然科学基金项目 . 42401007 吉林省自然科学基金-自由探索项目 . YDZJ202501ZYTS488
Received: 2025-12-21
Revised: 2026-02-08
摘要
东北地区土壤风蚀活动日趋频繁,对农业生产和生态安全造成严重威胁。为揭示东北地区风沙活动强度特征,选取东北典型风蚀区裸地、留茬农田和草地在春耕期内开展定位观测,系统分析了起沙风、输沙势及风蚀力特征。结果表明:(1)观测期间内2 m高度的平均风速为2.89 m·s-1 ,且不同高度的风速均呈波动下降趋势,盛行风向为NW方向。(2)观测期间裸地、留茬农田、草地的起沙风平均风速分别为6.33、7.04、8.78 m·s-1 ,对应起沙风频率分别为19.15%、12.94%、4.39%。起沙风风向均主要集中在E至NW方向。(3)观测期间研究区属于低风能环境,3种土地利用方式下均属于中风向变率,风况均对应为钝双峰风况,合成输沙方向均为NE方向。输沙势和风蚀力均表现为裸地>留茬农田>草地。研究结果可为防风固沙工程实施与土地资源保护利用提供科学依据。
关键词:
东北地区
;
风沙活动强度
;
起沙风
;
输沙势
;
风蚀力
Abstract
Soil wind erosion activities have become increasingly frequent in Northeast China, posing serious threats to agricultural production and ecological security. To reveal the characteristics of aeolian sand activity intensity in Northeast China, fixed-point observations were carried out during the spring tillage period on bare land, stubble farmland, and grassland in a typical wind erosion region of Northeast China. The characteristics of sand-driving winds, drift potential, and wind erosion force were systematically analyzed. The results showed that: (1) During the observation period, the mean wind speed at a height of 2 m was 2.89 m·s-1 , and wind speeds at different heights exhibited a fluctuating decreasing trend, with the prevailing wind direction being NW. (2) The mean sand-driving wind speeds on bare land, stubble farmland, and grassland were 6.33 m·s-1 , 7.04 m·s-1 , and 8.78 m·s-1 , respectively, while the corresponding sand-driving wind frequencies were 19.15%, 12.94%, and 4.39%. The sand-driving wind directions were mainly concentrated between E and NW. (3) During the observation period, the study area was characterized by a low wind energy environment. All three land-use types exhibited moderate directional variability, corresponding to a blunt bimodal wind regime, and the resultant drift direction was NE. Both drift potential and wind erosion force followed the order: bare land > stubble farmland > grassland. These results provide a scientific basis for the implementation of wind erosion control projects and the protection and sustainable utilization of land resources.
Keywords:
Northeast China
;
aeolian sand activity intensity
;
sand-driving wind
;
drift potential
;
wind erosion force
本文引用格式
赵馨茹, 韩雪晴, 梁羽石, 张瑜, 王大中, 李庆, 郭中领, 沈海鸥. 东北典型风蚀区不同土地利用方式下的风沙活动强度特征 . 中国沙漠 [J], 2026, 46(2): 312-322 doi:10.7522/j.issn.1000-694X.2026.00020
Zhao Xinru, Han Xueqing, Liang Yushi, Zhang Yu, Wang Dazhong, Li Qing, Guo Zhongling, Shen Haiou. Characteristics of aeolian sand activity intensity under different land-use types in a typical wind erosion region of Northeast China . Journal of Desert Research [J], 2026, 46(2): 312-322 doi:10.7522/j.issn.1000-694X.2026.00020
0 引言
土壤风蚀是导致干旱与半干旱地区土地生产力衰退的重要因素,也是引起土壤流失和大气扬尘的主要机制,现已成为全球范围内广泛关注的生态与环境问题[1 -2 ] 。中国遭受风蚀危害严重[3 -4 ] ,据统计,每年约有超过50%的国土面积不同程度地受到风蚀侵害,其中北方干旱半干旱区的风蚀程度最为严重[5 ] 。土壤风蚀过程凸显了中国北方干旱半干旱区的生态环境脆弱性,阻碍了农业生产与环境治理的协同发展,对耕地质量和区域生态安全造成严重威胁。因此,针对中国北方典型风蚀区的风蚀特征开展系统研究,对于科学评估风蚀风险、制定有效的防治措施以及推动土地保护具有重要意义。
东北地区是中国粮食生产的重要基地,在保障国家粮食安全方面至关重要[6 ] 。然而,该地区西部属于干旱半干旱过渡带,春季气候干燥、多风少雨,地表裸露期较长,导致风蚀与土壤退化过程极易发生[7 -8 ] 。这种春季强风与干旱交替出现的气候特征,也使得东北地区西部成为中国土壤风蚀活动最为频繁的地区,其风沙活动强度与潜在输沙能力也愈加强烈[9 ] 。现有国内风蚀研究集中于西北和华北地区,而针对东北地区的土壤风蚀过程,特别是风蚀动力特征及输沙规律的基础情况仍不够清晰。因此,有必要对东北地区的风沙活动强度特征开展更为系统的定量研究,对现有风蚀理论的不足进行补充。
土地利用方式是影响风蚀强度的重要因素[10 ] ,合理的土地利用方式能够有效减少土壤裸露,从而直接降低风蚀速率[11 ] 。已有研究围绕不同土地利用方式下土壤风蚀问题开展了大量工作。杨钦等[12 ] 以河北坝上地区为研究对象,分析了天然草地、人工林、农田和退耕地的土壤性质差异,指出土地利用方式通过改变地表覆盖状况和土壤结构特征,显著影响土壤风蚀强度。张志栋等[13 ] 进一步从土壤干团聚体稳定性和土壤可蚀度角度,揭示了农田、退耕地和天然草地在风蚀潜力上的差异,认为植被覆盖恢复有助于改善土壤结构并增强抗风蚀能力。此外,相关研究多结合风洞试验等方法,证实作物留茬和退耕还草等措施可通过增加地表粗糙度、降低地表剪切应力,从而削弱风蚀作用[14 -15 ] 。目前已有研究对裸地、留茬农田与草地在风沙活动强度上的对比相对不足,且三者抗风蚀性能具有明显差异。因此,选取裸地、留茬农田和草地作为研究对象,有助于揭示东北地区不同土地利用方式下风沙活动强度的差异,深化对该地区风蚀过程的认识。
目前有关东北地区的风蚀观测与评估缺乏系统的定量化研究,尤其是针对不同土地利用方式的连续观测资料十分有限,制约了对该区域风蚀问题的深入认知。与西北和华北地区相比,东北地区具有春季耕作集中、地表扰动频繁、裸露期短但风力较强等特征,使其风蚀过程在发生时段、动力条件上呈现出明显差异。现有成果针对东北地区风沙活动强度的探究较少。基于此,本研究重点关注东北地区的典型风蚀特征,对比春耕期3种土地利用方式下起沙风特征、风蚀力和输沙势的差异,揭示东北典型风蚀区的风沙活动强度特征及潜在输沙能力,为制定对应防风固沙措施与土地利用策略提供理论依据。
1 数据与方法
1.1 研究区概况
吉林省鸿兴水土保持科技示范园位于吉林省通榆县鸿兴镇聚富村(图1 ),地处松辽平原西部,地理坐标为45°02′11″—45°02′51″N、123°12′12″—123°12′53″E。整体地势地形起伏小,海拔140~180 m。该区域属中温带半干旱大陆性季风气候区,年均气温6 ℃,多年平均风速4.2 m·s-1 ,最大可达40 m·s-1 ,年大风日数为19 d[16 ] 。该园区位于吉林省风蚀区中心,属于松辽平原防沙农田防护区,是省级水土流失重点预防区。主要水土流失形式为风力侵蚀,原地貌土壤侵蚀模数背景值2 850 t·km-2 ·a-1 ,具有吉林省风力侵蚀区典型性和代表性。
图1
图1
研究区地理位置
注: 基于自然资源部标准地图服务网站审图号GS(2024)1158号标准地图制作,底图边界无修改
Fig.1
Geographical location of the study area in Tongyu County, Baicheng City, Jilin Province
1.2 数据来源及处理
1.2.1 数据获取
本研究选取裸地、留茬农田与草地3种典型土地利用方式作为观测样地(图1 ),具体地表状况如图2 所示。裸地未翻耕并通过长期施用除草剂保持地表无植被覆盖,面积为9 558 m2 ;留茬农田为高粱收割后形成的残茬覆盖地表,留茬高度约为5~10 cm,面积为20 170 m2 ;草地为长期自然发育、无人为干扰的天然草地,初期地表覆盖度约为20%,面积为18 625 m2 。在距样地相同距离处布设便携式梯度风速仪进行风速梯度观测,并配备风向标同步记录风向数据(图3 )。风速观测高度分别为5 cm(H1)、10 cm(H2)、20 cm(H3)、50 cm(H4)、100 cm(H5)、200 cm(H6),仪器分辨率为0.1 m·s-1 ,观测频率为60 s 1次。风速梯度的观测覆盖全年并贯穿整个春耕期,选取梯度风速数据的观测时间为4月9日00:00至6月25日00:00。
图2
图2
样地概况
Fig.2
Overview of bare land (A), stubble-retention farmland (B), grassland (C)
图3
图3
梯度风速仪
Fig.3
Gradient anemometer
本文选取了距离播种时间相近、连续时长为24 h的两次典型风蚀事件进行分析,对应时间分别为4月13日00:00至4月13日23:59(命名为D1),以及5月19日18:00至5月20日17:59(命名为D2)。前者所处时段为播种前,此时地表覆盖度较低,土壤裸露程度高;后者所处时段为播种后,此时已播种作物,地表状况与植被条件较前期发生了明显变化。两次事件的风速特征如表1 所列。
1.2.2 数据分析方法
在中性层结条件下,近地层风速廓线符合对数函数分布规律[17 ] :
u = a l n z + b (1)
式中:u 为距地面高度z 时的风速;a 、b 为拟合系数。
u * = k a (2)
z 0 = e x p ( - b / a ) (3)
式中:u * 为摩阻速度(m·s-1 );k 为冯·卡门常数(0.4);z 0 为空气动力学粗糙度(m)。
通过将基恩士光纤传感器(传感器探头和信号放大器)与风速测量系统进行结合(图4 ),实现地表起动风速的短期观测(已申请实用新型专利);在此基础上,参考前人相关研究结果,针对裸地、留茬农田、草地的起动风速分别取值为4.5、5.3、7.4 m·s-1[15 ,18 ] 。首先将高度2 m的原始数据中所有风速大于3种土地利用方式起动风速的数据进行汇总处理,计算出每个样地观测期间的起沙风频率和起沙风平均风速,再将原始风向数据的360°方位角平均分成N、NE、E、SE、S、SW、W、NW这8个风向方位,分别计算不同方位的起沙风频率。
图4
图4
起动风速测定仪器示意图
注: a:防护箱;b:传感器探头;c:风杯;d:信号放大器
Fig.4
Schematic diagram of threshold wind velocity measuring instrument
参照Fryberger等[19 ] 提出的方法计算输沙势:
D P = u 2 u - u t t (4)
式中:DP 为输沙势(矢量单位VU);u 为风速(节);ut 为沙粒起动风速(节);t 是风速u 的出现频率,指观测时段内该起沙风时间数与总观测时间数的百分比。借助输沙势的估算结果,将区域内的风能环境按照低风能(DP <200)、中风能(200≤DP <400)和高风能(DP ≥400)划分。进而计算合成输沙势(RDP )、合成输沙势方向(RDD )、风向变率指数(RDP/DP )。RDP/DP <0.3时为高变率,对应复杂风况;RDP/DP 在0.3~0.8为中变率,对应钝双峰或锐双峰风况;RDP/DP >0.8时为低变率,风向单一。
基于风速和风向的同步观测,将超过沙粒起动风速均值的风速数据进行过滤,并按照1 m·s-1 的固定间隔把风速数据从最低至最高划分为11个风速等级,统计8个风向方位下各风速等级的起沙风频率和起沙风平均风速。任意风向j 的风蚀力rj 和总风蚀力FT 分别定义为[20 -21 ] :
r j = ∑ i = 1 n U ¯ i j 3 f i j (5)
F T = ∑ j = 0 7 r j = ∑ j = 0 7 ∑ i = 1 n U ¯ i j 3 f i j (6)
式中:i 为速度等级;n 为速度等级个数;j =0代表正东方向,余数按逆时针类推;U i j 指风速等级i 在j 方向上的平均风速;fij 指风速等级i 在j 方向上的频率占比。
2 结果与分析
2.1 不同高度的风速特征
如图5 A所示,观测期间内不同高度的风速均呈波动下降趋势。H1至H6处的平均风速分别为0.77、1.20、1.43、2.16、2.58、2.89 m·s-1 。由图5 B~C可知,观测期间风向在NW方向的占比最高(29.5%),SW和SE方向的占比最低(5.1%)。图6 展示了不同高度下风速区间的占比情况。风速在<0.5 m·s-1 的变化幅度最大且呈现持续下降趋势,H1至H6之间相差超过50%。0.5~2.5 m·s-1 中4个区间的占比随高度的变化较为稳定。>2.5 m·s-1 的3个区间的对应占比随高度变化呈逐渐上升趋势。
图5
图5
观测期间不同高度风速(A)和风向的变化(B)及占比(C)
Fig.5
Variation of wind speed (A) and wind direction (B), and proportion (C) of wind direction at different heights during the observation period
图6
图6
不同高度各风速区间占比
Fig.6
Proportion of each wind speed interval at different heights
利用不同高度的平均风速对风速廓线进行拟合(图7 ),风速(u )与高度(z )符合风速对数分布规律(u =0.560lnz +2.747),且拟合精度很高(R 2 =0.9914)。计算得到摩阻风速u * =0.2365 m·s-1 ,粗糙度长度z 0 =0.0142 m。图8 揭示了D1、D2两次典型风蚀事件在不同风速区间下的垂直风速廓线特征。D2在同高度的平均风速普遍低于D1,D1在2 m处的最高平均风速可达13.3 m·s-1 ,而D2仅为9.4 m·s-1 。表2 显示了D1、D2在不同风速区间内的风速出现频数。D1中9.0~10.0 m·s-1 的出现频数占比最高(13%);D2风速范围较小,风速主要集中在1.0~4.0 m·s-1 内,总频数高达1 024且占总体的71%。
图7
图7
风速廓线拟合曲线
Fig.7
Fitted curves of wind speed profiles
图8
图8
D1(A)与D2(B)在不同风速区间内的风速廓线变化(其中uz =2m 表示距地表2 m高度处的平均风速)
Fig.8
Variation of wind speed profiles in different wind speed intervals for D1 (A) and D2 (B) (where uz =2 m denotes the average wind speed at 2 m height above the ground)
2.2 起沙风特征
根据观测期间内的风速长期变化情况,结合不同起动风速参考值,对3种土地利用方式的起沙风平均风速与起沙风频率进行分析。图9 表明起沙风平均风速表现为裸地(6.33 m·s-1 )<留茬农田(7.04 m·s-1 )<草地(8.78 m·s-1 );相反,起沙风频率表现为裸地(19.15%)>留茬农田(12.94%)>草地(4.39%)。图10 展示了起沙风平均风速和起沙风频率的日内变化特征。3种土地利用方式的日内起沙风平均风速均在18:00—22:00达到峰值,此时草地的起沙风平均风速高达9.14 m·s-1 ;同时,三者的日内起沙风平均风速均在04:00—08:00降到最低,此时裸地的最低起沙风平均风速为5.80 m·s-1 。对于起沙风频率来说,日内变化均呈单峰曲线形态;起沙风频率值均在12:00—14:00达到最大值,此时裸地、留茬农田和草地的起沙风频率分别为2.86%、2.10%、0.79%。
图9
图9
3种土地利用方式的起沙风平均风速及起沙风频率
Fig.9
Average wind speed and frequency of sand-driving wind under three types of land use patterns
图10
图10
3种土地利用方式的起沙风平均风速和起沙风频率日内变化
Fig.10
Diurnal variation of average wind speed and frequency of sand-driving wind under three types of land use patterns
如图11 所示,不同土地利用方式的起沙风风速区间占比特征差异较为明显。裸地中4.5~5.5 m·s-1 占比最大并超过1/3,≥13.5 m·s-1 占比最小且仅为0.1%。留茬农田的起沙风分布特征与裸地比较相似,但除4.5~5.5 m·s-1 之外,其他风速区间比例均较裸地有不同程度的提升,且起沙风风速在5.5~6.5 m·s-1 占比最高(37.9%)。草地的起沙风分布特征与前两者的差异最为显著,起沙风风速更集中在高风速区间内,并在7.5~8.5 m·s-1 占比最高(43.2%)。结合方位来看,三者的起沙风风向均主要集中在方位E至NW的范围内,且合计占比均超过70%。
图11
图11
3种土地利用方式起沙风玫瑰图(区间采用[a,b)形式)
Fig.11
Sand-driving wind rose diagrams for three land-use types (intervals are defined as [a, b))
2.3 风蚀力和输沙势特征
基于不同土地利用方式下起沙风分布情况,进一步计算3种土地利用方式的输沙势与风蚀力。图12 为不同土地利用方式的输沙势玫瑰图。根据输沙势的大小及风能环境分类标准,研究区在观测期间内属于低风能环境(DP <200)。3种土地利用方式的输沙势总体表现为:裸地(DP =163.13 VU)>留茬农田(DP =119.69 VU)>草地(DP =43.48 VU)。在方位分布上,三者的输沙方向均集中在方位E至NW的范围内,且合计占比均超过70%。方向变率指数表现为草地(0.53)>留茬农田(0.48)>裸地(0.46),可知三者均属于中风向变率,风况均对应为钝双峰风况。3种土地利用方式的合成输沙方向均为NE方向。
图12
图12
3种土地利用方式输沙势玫瑰图(区间采用[a,b)形式)
Fig.12
Drift potential rose diagrams under three types of land use patterns(intervals are defined as [a, b))
观测期间内,3种土地利用方式的风蚀力均表现为先升后降的变化趋势(图13 A~C)。裸地、留茬农田、草地在观测期间的风蚀力总计分别为20 165.24、17 293.57、10 085.27。与图5 A所示的风速变化相比,三者风蚀力演变趋势与风速波动情况整体较为一致,但具体风蚀力变化过程不尽相同。裸地、留茬农田、草地的日风蚀力均于4月27日达到峰值,分别为1 841.69、1 747.29、1 276.14;自4月28日起三者风蚀力逐渐下降,裸地、留茬农田风蚀力均未超过1 000,而草地风蚀力始终维持在750以下。从风蚀力区间占比情况来看(图13 D),3 种土地利用方式的日风蚀力主要集中于0~200和200~400,两个区间总占比均超过80%。其中,草地风蚀力低于200的区间占比高达83.33%,裸地仅为56.41%。裸地风蚀力超过800的天数最多(7 d),而草地仅出现1 d。
图13
图13
3种土地利用方式风蚀力变化
Fig.13
Variation of wind erosion force under three types of land use patterns
从图14 A可以看出,3种土地利用方式的各方向风蚀力的变化为675.65~3 852.13(裸地)、453.14~3 301.89(留茬农田)、167.49~1 928.81(草地)。各方向风蚀力水平表现为裸地>留茬农田>草地,裸地各方向风蚀力均约为草地的2倍。从风蚀力的方向占比情况来看(图14 B),3 种土地利用方式的风蚀力主要集中在SE至NW方向,其合计占比分别为84.7%、85.6%、84.9%。
图14
图14
不同方向风蚀力的大小(A)及分布占比(B)
Fig.14
Magnitude (A) and distribution proportion (B) of wind erosion force in different directions
3 讨论
3.1 不同土地利用方式下风沙活动强度对比
基于3种土地利用方式的起沙风日内特征分析发现,起沙风平均风速在18:00—22:00出现峰值,起沙风频率在12:00—14:00达到单峰峰值。究其原因,可能是夜间地表辐射冷却使边界层形成稳定层结,湍流活动受抑制,其向下动量从高空向地表输送,导致近地层出现较高的瞬时风速,提高了起沙风平均风速[22 -23 ] ;而正午强烈的太阳辐射导致大气层结趋于不稳定,湍流作用增强,使地表风速增强,从而提高了起沙风频率[24 ] 。起沙风频率、输沙势与风蚀力均呈裸地>留茬农田>草地的规律,说明地表粗糙度越低,其对风能的削减作用越弱,越容易形成有效输沙风和高强度侵蚀作用。这一规律与河北坝上地区多项风蚀实测结果基本一致[12 -13 ] 。
农田土壤风蚀是东北地区春季土壤侵蚀的主要形式,在播种前后耕作扰动频繁的条件下尤为突出。通过调控耕作方式和地表覆盖状况来削弱近地层风速、抬高土壤起动阈值,已成为农田风蚀防治的重要研究方向。大量研究表明,留茬能够通过增加地表粗糙度有效降低农田风蚀强度。刘伟春等[25 ] 在田间观测发现,免耕留茬处理的风蚀量低于翻耕农田,说明减少耕作扰动并保留残茬覆盖是抑制春季农田风蚀的重要措施。李梅等[15 ] 的风洞试验表明,不同作物留茬均可在不同程度上提高地表抗风蚀能力,其防护效果受残茬高度和覆盖状况影响明显。本研究结果显示,留茬农田的输沙势与风蚀力均低于裸地,从风蚀动力角度为上述防治措施的有效性提供了实测支撑。除留茬覆盖外,已有研究还从微地形角度揭示了耕作方式对近地层风场结构的调控作用。李秀明等[26 -27 ] 发现,垄状微地形能够显著降低垄间近地表风速并削弱风速脉动,并认为适宜的垄密度有助于提升农田防风蚀效果。因此,增加地表覆盖并实施保护性耕作是降低农田土壤风蚀风险的有效措施。
3.2 典型风蚀事件中摩阻风速和空气动力学粗糙度长度的变化特征
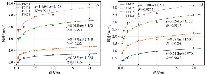
摩阻风速u * 和粗糙度长度z 0 是反映土壤风蚀潜力的重要指标。针对本研究选取两次典型风蚀事件,将两次风蚀事件均划分为4个连续的6 h时段(分别为T1~T4),并根据不同时段的逐层风速对两次事件分别进行了对数风速廓线拟合(图15 )。结果显示D1的风速普遍高于D2且最高可达9.82 m·s-1 ,而D2的最大风速仅为4.13 m·s-1 。同时,两次风蚀事件随着风速增强,斜率也随之增大。由表3 可见,两次风蚀事件中T1至T4的u * 均逐渐增大,说明地表受到的剪切作用增强,垂直方向动量交换更加高效。D1中每个时段的u * 值均高于D2,风蚀动力更强。同时,z 0 在T1至T4中呈下降趋势,该结果反映出地表在强风作用下逐渐被“削平”,表层松散颗粒和微地形起伏被高风速持续搬运或侵蚀,导致下垫面趋于光滑。上述现象仅基于典型风蚀事件的初步分析,未来研究将继续结合更长期的观测资料,对u * 和z 0 在风蚀事件中的时间演变过程展开深入探讨,以揭示地表形态与风场动力的相互作用。
图15
图15
D1、D2在4个相同时间间隔内的风速廓线变化
Fig.15
Variation of wind speed profiles for D1 and D2 during four identical time intervals
3.3 风速概率密度函数筛选及未来展望
概率密度函数能够在理论意义上重建风速的总体分布特征,表征不同风速范围的出现概率,有助于更准确地评估风蚀发生风险[28 ] 。在实测风速数据基础上,利用6种常见概率密度函数对风速分布进行拟合,通过R ²、MAE、RMSE及KS统计指标对比了拟合性能,并基于最优风速分布对风蚀发生概率进行了初步评估(表4 )。结果显示6种理论分布均能够较好地拟合风速的总体分布形态(图16 ),但拟合效果存在明显差异;其中,ExponWeib分布效果表现最优,其R 2 最高,MAE、RMSE与KS值最低,说明该模型在风速概率分布的峰态及尾部衰减特征刻画方面均优于其他分布。进一步基于ExponWeib分布计算不同样地风速超过起动风速的概率,结果显示裸地、留茬农田和草地分别为17.77%、10.87%和2.66%;对应的实测结果分别为19.15%、12.94%、4.39%,可见不同土地利用方式下风蚀发生概率的估算结果与实测结果均相差低于3%。在未来研究中通过补充长期且全面的实测数据,对风蚀发生概率进行更准确的综合评估。
图16
图16
6种概率密度函数针对风速经验分布的拟合曲线
Fig.16
Fitted curves of six probability density functions for the empirical distribution of wind speed
本研究重点关注东北地区的典型风蚀特征,通过起沙风、风蚀力和输沙势等指标系统揭示了该区域的不同土地利用方式下风沙活动强度与潜在输沙能力,补充了对东北地区土壤风蚀过程的认识。但本研究仍存在一些不足,在未来需得到进一步改进。需要指出的是,本研究在与3块样地距离基本相同的位置布设了一套梯度风速仪,重点用于反映区域背景的总体风场特征,可作为不同样地风沙活动强度指标对比分析的统一风力条件;但由于植被与残茬覆盖度等下垫面因子能够显著改变近地层剪切力和湍流结构,不同样地的近地表风况可能会呈现明显差异,从而对风沙活动的精细描述造成一定影响。因此,将在后续研究中在每块样地增设梯度风速仪进行同步观测。此外,未来会继续重点关注不同土地利用方式下的实际输沙能力,结合多点集沙观测与沿程输沙监测,引入土壤粒径组成及含水量等相关指标,以更全面地分析地表特征对风场结构和风蚀活动的影响。
4 结论
观测期间内东北典型风蚀区不同高度的风速均呈波动下降趋势,H1至H6处的平均风速分别为0.77、1.20、1.43、2.16、2.58、2.89 m·s-1 。盛行风向为NW方向。两次典型风蚀事件中,D2在同高度的平均风速普遍低于D1,D1在2 m处的最高平均风速可达13.3 m·s-1 ,而D2仅为9.4 m·s-1 。
观测期间不同土地利用方式的起沙风平均风速表现为裸地<留茬农田<草地;起沙风频率表现为裸地>留茬农田>草地。起沙风向均主要集中在方位E至NW,日内起沙风平均风速均在18:00—22:00达到峰值;起沙风频率的日内变化均呈单峰曲线形态,在12:00—14:00达到最大值。
研究区在观测期间内属于低风能环境,裸地、留茬农田、草地的输沙势分别为163.13、119.69、43.48 VU,均属于中风向变率,风况均对应为钝双峰风况,合成输沙方向均为NE方向,表示观测期间沙物质总体向东北方向移动。裸地、留茬农田、草地的总风蚀力分别为20 165.24、17 293.57、10 085.27,三者均在SE至NW方向上表现出较大的风蚀潜力。
本研究分析了东北典型风蚀区3种土地利用方式下风沙活动强度特征,结果表明裸地具有最强的潜在输沙能力,而草地表现出最稳定的抗风蚀能力。研究结果进一步表明,地表覆盖度和粗糙度的提高可显著降低风蚀发生强度。因此,优化土地利用方式,有助于缓解东北地区的风蚀危害,对保障农业可持续生产与推进防风固沙工程具有重要指导意义。未来研究将进一步对摩阻风速和粗糙度长度的时间演变特征和风蚀发生概率评估进行深入探讨,结合实际输沙情况,以更全面地阐明东北典型风蚀区的土壤风蚀过程。
参考文献
View Option
[1]
Panebianco J E , Buschiazz D E .Erosion predictions with the wind erosion equation (WEQ) using different climatic factors
[J].Land Degradation & Development ,2008 ,19 (1 ):36 -44 .
[本文引用: 1]
[2]
Zou X Y , Li H R , Kang L Q ,et al .Soil wind erosion rate on rough surfaces:a dynamical model derived from an invariant pattern of the shear-stress probability density function of the soil surface
[J].Catena ,2022 ,219 :106633 .
[本文引用: 1]
[3]
董治宝 ,董光荣 ,陈广庭 .以北方旱作农田为重点开展我国的土壤风蚀研究
[J].干旱区资源与环境 ,1996 (2 ):31 -37 .
[本文引用: 1]
[4]
王涛 .中国防沙治沙实践与沙漠科学发展的70年:Ⅲ.发展篇(1)
[J].中国沙漠 ,2024 ,44 (1 ):1 -10 .
[本文引用: 1]
[5]
Zou X Y , Li H R , Liu W ,et al .Application of a new wind driving force model in soil wind erosion area of northern China
[J].Journal of Arid Land ,2020 ,12 (3 ):423 -435 .
[本文引用: 1]
[6]
Xu X Z , Xu Y , Chen S C ,et al .Soil loss and conservation in the black soil region of Northeast China:a retrospective study
[J].Environmental Science & Policy ,2010 ,13 (8 ):793 -800 .
[本文引用: 1]
[7]
Shen H O , Hu W , Che X C ,et al .Assessment of effectiveness and suitability of soil and water conservation measures on hillslopes of the black soil region in Northeast China
[J].Agronomy-Basel ,2024 ,14 (8 ):1755 .
[本文引用: 1]
[8]
Guo Z L , Huang N , Dong Z B ,et al .Wind erosion induced soil degradation in Northern China:status,measures and perspective
[J].Sustainability ,2014 ,6 (12 ):8951 -8966 .
[本文引用: 1]
[9]
林艺 ,李和平 ,肖波 .东北黑土区农田土壤风蚀的影响因素及其数量关系
[J].水土保持学报 ,2017 ,31 (4 ):44 -50 .
[本文引用: 1]
[10]
Webb N P , Van Zee J W , Karl J W ,et al .Enhancing wind erosion monitoring and assessment for U.S. rangelands
[J].Rangelands ,2017 ,39 (3 ):85 -96 .
[本文引用: 1]
[11]
Jia H L , Wang G , Guo L ,et al .Wind erosion control utilizing standing corn residue in Northeast China
[J].Soil & Tillage Research ,2015 ,153 :112 -119 .
[本文引用: 1]
[12]
杨钦 ,郭中领 ,王仁德 ,等 .河北坝上不同土地利用方式对土壤风蚀的影响
[J].干旱区资源与环境 ,2017 ,31 (2 ):185 -190 .
[本文引用: 2]
[13]
张志栋 ,常春平 ,郭中领 ,等 .河北坝上农田、退耕地和天然草地土壤的可风蚀性
[J].中国沙漠 ,2018 ,38 (1 ):85 -91 .
[本文引用: 2]
[14]
苗恒录 ,王健 ,张瑞强 ,等 .内蒙古阴山北麓荒漠草原风况与输沙势研究:以希拉穆仁草原为例
[J].干旱区资源与环境 ,2022 ,36 (4 ):102 -110 .
[本文引用: 1]
[15]
李梅 ,胡跃高 ,曾昭海 ,等 .科尔沁沙地4种作物根茬抗风蚀效果风洞试验研究
[J].中国农学通报 ,2009 ,25 (11 ):254 -258 .
[本文引用: 3]
[16]
岳航宇 ,崔斌 ,张瑜 ,等 .吉林西部风蚀沙地固沙植物引种栽培试验研究
[J].吉林水利 ,2025 (5 ):57 -61 .
[本文引用: 1]
[17]
程宏 ,邹学勇 ,张春来 .摩阻风速与平均风速的转化关系研究
[J].水土保持研究 ,2007 (2 ):133 -134 ,138 .
[本文引用: 1]
[18]
贺晶 ,吴新宏 ,杨婷婷 ,等 .基于临界起沙风速的草地防风固沙功能研究
[J].中国草地学报 ,2013 ,35 (5 ):103 -107 .
[本文引用: 1]
[19]
Fryberger S G , Dean G .Dune forms and wind regime
[M]//McKee E D.A Study of Global Sand Seas .Washingtong,USA :US Geological Survey ,1979 :137 -170 .
[本文引用: 1]
[20]
Skidmore E L .Assessing wind erosion forces:directions and relative magnitudes
[J].Soil Science Society of America Journal ,1965 ,29 (5 ):587 -590 .
[本文引用: 1]
[21]
Yang D L , Liu W , Wang J P ,et al .Wind erosion forces and wind direction distribution for assessing the efficiency of shelterbelts in northern China
[J].Aeolian Research ,2018 ,33 :44 -52 .
[本文引用: 1]
[22]
Han Z H , Ge J M , Chen X Y ,et al .Dust Activities induced by nocturnal low-level jet over the Taklimakan Desert from WRF-Chem simulation
[J].Journal of Geophysical Research:Atmospheres ,2022 ,127 (12 ):e2021JD036114 .
[本文引用: 1]
[23]
Blackadar A K .Boundary layer wind maxima and their significance for the growth of nocturnal inversions
[J].Bulliten of the American MeteorologicalSociety ,1957 ,38 (1 ):283 -290 .
[本文引用: 1]
[24]
Gunn A , Wanker M , Lancaster N ,et al .Circadian Rhythm of dune-field activity
[J].Geophysical Research Letters ,2021 ,48 (5 ):e2020GL090924 .
[本文引用: 1]
[25]
刘伟春 ,李玉霖 ,程莉 ,等 .科尔沁沙地南缘旱作农田保护性耕作对土壤风蚀的影响
[J].中国沙漠 ,2025 ,45 (4 ):24 -33 .
[本文引用: 1]
[26]
李秀明 ,贾文茹 ,李生宇 ,等 .横向垄状微地形近地表风速脉动特征
[J].干旱区研究 ,2025 ,42 (5 ):933 -943 .
[本文引用: 1]
[27]
李秀明 ,贾文茹 ,王翠 .垄状微地形对近地表空气动力学特征的影响
[J].干旱区资源与环境 ,2024 ,38 (4 ):105 -113 .
[本文引用: 1]
[28]
Liang Y S , Shen Y P , Zhang Z Y ,et al .Regional assessment for the occurrence probability of wind erosion based on the joint probability density function of air density and wind speed
[J].Catena ,2024 ,243 :108213 .
[本文引用: 1]
Erosion predictions with the wind erosion equation (WEQ) using different climatic factors
1
2008
... 土壤风蚀是导致干旱与半干旱地区土地生产力衰退的重要因素,也是引起土壤流失和大气扬尘的主要机制,现已成为全球范围内广泛关注的生态与环境问题[1 -2 ] .中国遭受风蚀危害严重[3 -4 ] ,据统计,每年约有超过50%的国土面积不同程度地受到风蚀侵害,其中北方干旱半干旱区的风蚀程度最为严重[5 ] .土壤风蚀过程凸显了中国北方干旱半干旱区的生态环境脆弱性,阻碍了农业生产与环境治理的协同发展,对耕地质量和区域生态安全造成严重威胁.因此,针对中国北方典型风蚀区的风蚀特征开展系统研究,对于科学评估风蚀风险、制定有效的防治措施以及推动土地保护具有重要意义. ...
Soil wind erosion rate on rough surfaces:a dynamical model derived from an invariant pattern of the shear-stress probability density function of the soil surface
1
2022
... 土壤风蚀是导致干旱与半干旱地区土地生产力衰退的重要因素,也是引起土壤流失和大气扬尘的主要机制,现已成为全球范围内广泛关注的生态与环境问题[1 -2 ] .中国遭受风蚀危害严重[3 -4 ] ,据统计,每年约有超过50%的国土面积不同程度地受到风蚀侵害,其中北方干旱半干旱区的风蚀程度最为严重[5 ] .土壤风蚀过程凸显了中国北方干旱半干旱区的生态环境脆弱性,阻碍了农业生产与环境治理的协同发展,对耕地质量和区域生态安全造成严重威胁.因此,针对中国北方典型风蚀区的风蚀特征开展系统研究,对于科学评估风蚀风险、制定有效的防治措施以及推动土地保护具有重要意义. ...
以北方旱作农田为重点开展我国的土壤风蚀研究
1
1996
... 土壤风蚀是导致干旱与半干旱地区土地生产力衰退的重要因素,也是引起土壤流失和大气扬尘的主要机制,现已成为全球范围内广泛关注的生态与环境问题[1 -2 ] .中国遭受风蚀危害严重[3 -4 ] ,据统计,每年约有超过50%的国土面积不同程度地受到风蚀侵害,其中北方干旱半干旱区的风蚀程度最为严重[5 ] .土壤风蚀过程凸显了中国北方干旱半干旱区的生态环境脆弱性,阻碍了农业生产与环境治理的协同发展,对耕地质量和区域生态安全造成严重威胁.因此,针对中国北方典型风蚀区的风蚀特征开展系统研究,对于科学评估风蚀风险、制定有效的防治措施以及推动土地保护具有重要意义. ...
中国防沙治沙实践与沙漠科学发展的70年:Ⅲ.发展篇(1)
1
2024
... 土壤风蚀是导致干旱与半干旱地区土地生产力衰退的重要因素,也是引起土壤流失和大气扬尘的主要机制,现已成为全球范围内广泛关注的生态与环境问题[1 -2 ] .中国遭受风蚀危害严重[3 -4 ] ,据统计,每年约有超过50%的国土面积不同程度地受到风蚀侵害,其中北方干旱半干旱区的风蚀程度最为严重[5 ] .土壤风蚀过程凸显了中国北方干旱半干旱区的生态环境脆弱性,阻碍了农业生产与环境治理的协同发展,对耕地质量和区域生态安全造成严重威胁.因此,针对中国北方典型风蚀区的风蚀特征开展系统研究,对于科学评估风蚀风险、制定有效的防治措施以及推动土地保护具有重要意义. ...
Application of a new wind driving force model in soil wind erosion area of northern China
1
2020
... 土壤风蚀是导致干旱与半干旱地区土地生产力衰退的重要因素,也是引起土壤流失和大气扬尘的主要机制,现已成为全球范围内广泛关注的生态与环境问题[1 -2 ] .中国遭受风蚀危害严重[3 -4 ] ,据统计,每年约有超过50%的国土面积不同程度地受到风蚀侵害,其中北方干旱半干旱区的风蚀程度最为严重[5 ] .土壤风蚀过程凸显了中国北方干旱半干旱区的生态环境脆弱性,阻碍了农业生产与环境治理的协同发展,对耕地质量和区域生态安全造成严重威胁.因此,针对中国北方典型风蚀区的风蚀特征开展系统研究,对于科学评估风蚀风险、制定有效的防治措施以及推动土地保护具有重要意义. ...
Soil loss and conservation in the black soil region of Northeast China:a retrospective study
1
2010
... 东北地区是中国粮食生产的重要基地,在保障国家粮食安全方面至关重要[6 ] .然而,该地区西部属于干旱半干旱过渡带,春季气候干燥、多风少雨,地表裸露期较长,导致风蚀与土壤退化过程极易发生[7 -8 ] .这种春季强风与干旱交替出现的气候特征,也使得东北地区西部成为中国土壤风蚀活动最为频繁的地区,其风沙活动强度与潜在输沙能力也愈加强烈[9 ] .现有国内风蚀研究集中于西北和华北地区,而针对东北地区的土壤风蚀过程,特别是风蚀动力特征及输沙规律的基础情况仍不够清晰.因此,有必要对东北地区的风沙活动强度特征开展更为系统的定量研究,对现有风蚀理论的不足进行补充. ...
Assessment of effectiveness and suitability of soil and water conservation measures on hillslopes of the black soil region in Northeast China
1
2024
... 东北地区是中国粮食生产的重要基地,在保障国家粮食安全方面至关重要[6 ] .然而,该地区西部属于干旱半干旱过渡带,春季气候干燥、多风少雨,地表裸露期较长,导致风蚀与土壤退化过程极易发生[7 -8 ] .这种春季强风与干旱交替出现的气候特征,也使得东北地区西部成为中国土壤风蚀活动最为频繁的地区,其风沙活动强度与潜在输沙能力也愈加强烈[9 ] .现有国内风蚀研究集中于西北和华北地区,而针对东北地区的土壤风蚀过程,特别是风蚀动力特征及输沙规律的基础情况仍不够清晰.因此,有必要对东北地区的风沙活动强度特征开展更为系统的定量研究,对现有风蚀理论的不足进行补充. ...
Wind erosion induced soil degradation in Northern China:status,measures and perspective
1
2014
... 东北地区是中国粮食生产的重要基地,在保障国家粮食安全方面至关重要[6 ] .然而,该地区西部属于干旱半干旱过渡带,春季气候干燥、多风少雨,地表裸露期较长,导致风蚀与土壤退化过程极易发生[7 -8 ] .这种春季强风与干旱交替出现的气候特征,也使得东北地区西部成为中国土壤风蚀活动最为频繁的地区,其风沙活动强度与潜在输沙能力也愈加强烈[9 ] .现有国内风蚀研究集中于西北和华北地区,而针对东北地区的土壤风蚀过程,特别是风蚀动力特征及输沙规律的基础情况仍不够清晰.因此,有必要对东北地区的风沙活动强度特征开展更为系统的定量研究,对现有风蚀理论的不足进行补充. ...
东北黑土区农田土壤风蚀的影响因素及其数量关系
1
2017
... 东北地区是中国粮食生产的重要基地,在保障国家粮食安全方面至关重要[6 ] .然而,该地区西部属于干旱半干旱过渡带,春季气候干燥、多风少雨,地表裸露期较长,导致风蚀与土壤退化过程极易发生[7 -8 ] .这种春季强风与干旱交替出现的气候特征,也使得东北地区西部成为中国土壤风蚀活动最为频繁的地区,其风沙活动强度与潜在输沙能力也愈加强烈[9 ] .现有国内风蚀研究集中于西北和华北地区,而针对东北地区的土壤风蚀过程,特别是风蚀动力特征及输沙规律的基础情况仍不够清晰.因此,有必要对东北地区的风沙活动强度特征开展更为系统的定量研究,对现有风蚀理论的不足进行补充. ...
Enhancing wind erosion monitoring and assessment for U.S. rangelands
1
2017
... 土地利用方式是影响风蚀强度的重要因素[10 ] ,合理的土地利用方式能够有效减少土壤裸露,从而直接降低风蚀速率[11 ] .已有研究围绕不同土地利用方式下土壤风蚀问题开展了大量工作.杨钦等[12 ] 以河北坝上地区为研究对象,分析了天然草地、人工林、农田和退耕地的土壤性质差异,指出土地利用方式通过改变地表覆盖状况和土壤结构特征,显著影响土壤风蚀强度.张志栋等[13 ] 进一步从土壤干团聚体稳定性和土壤可蚀度角度,揭示了农田、退耕地和天然草地在风蚀潜力上的差异,认为植被覆盖恢复有助于改善土壤结构并增强抗风蚀能力.此外,相关研究多结合风洞试验等方法,证实作物留茬和退耕还草等措施可通过增加地表粗糙度、降低地表剪切应力,从而削弱风蚀作用[14 -15 ] .目前已有研究对裸地、留茬农田与草地在风沙活动强度上的对比相对不足,且三者抗风蚀性能具有明显差异.因此,选取裸地、留茬农田和草地作为研究对象,有助于揭示东北地区不同土地利用方式下风沙活动强度的差异,深化对该地区风蚀过程的认识. ...
Wind erosion control utilizing standing corn residue in Northeast China
1
2015
... 土地利用方式是影响风蚀强度的重要因素[10 ] ,合理的土地利用方式能够有效减少土壤裸露,从而直接降低风蚀速率[11 ] .已有研究围绕不同土地利用方式下土壤风蚀问题开展了大量工作.杨钦等[12 ] 以河北坝上地区为研究对象,分析了天然草地、人工林、农田和退耕地的土壤性质差异,指出土地利用方式通过改变地表覆盖状况和土壤结构特征,显著影响土壤风蚀强度.张志栋等[13 ] 进一步从土壤干团聚体稳定性和土壤可蚀度角度,揭示了农田、退耕地和天然草地在风蚀潜力上的差异,认为植被覆盖恢复有助于改善土壤结构并增强抗风蚀能力.此外,相关研究多结合风洞试验等方法,证实作物留茬和退耕还草等措施可通过增加地表粗糙度、降低地表剪切应力,从而削弱风蚀作用[14 -15 ] .目前已有研究对裸地、留茬农田与草地在风沙活动强度上的对比相对不足,且三者抗风蚀性能具有明显差异.因此,选取裸地、留茬农田和草地作为研究对象,有助于揭示东北地区不同土地利用方式下风沙活动强度的差异,深化对该地区风蚀过程的认识. ...
河北坝上不同土地利用方式对土壤风蚀的影响
2
2017
... 土地利用方式是影响风蚀强度的重要因素[10 ] ,合理的土地利用方式能够有效减少土壤裸露,从而直接降低风蚀速率[11 ] .已有研究围绕不同土地利用方式下土壤风蚀问题开展了大量工作.杨钦等[12 ] 以河北坝上地区为研究对象,分析了天然草地、人工林、农田和退耕地的土壤性质差异,指出土地利用方式通过改变地表覆盖状况和土壤结构特征,显著影响土壤风蚀强度.张志栋等[13 ] 进一步从土壤干团聚体稳定性和土壤可蚀度角度,揭示了农田、退耕地和天然草地在风蚀潜力上的差异,认为植被覆盖恢复有助于改善土壤结构并增强抗风蚀能力.此外,相关研究多结合风洞试验等方法,证实作物留茬和退耕还草等措施可通过增加地表粗糙度、降低地表剪切应力,从而削弱风蚀作用[14 -15 ] .目前已有研究对裸地、留茬农田与草地在风沙活动强度上的对比相对不足,且三者抗风蚀性能具有明显差异.因此,选取裸地、留茬农田和草地作为研究对象,有助于揭示东北地区不同土地利用方式下风沙活动强度的差异,深化对该地区风蚀过程的认识. ...
... 基于3种土地利用方式的起沙风日内特征分析发现,起沙风平均风速在18:00—22:00出现峰值,起沙风频率在12:00—14:00达到单峰峰值.究其原因,可能是夜间地表辐射冷却使边界层形成稳定层结,湍流活动受抑制,其向下动量从高空向地表输送,导致近地层出现较高的瞬时风速,提高了起沙风平均风速[22 -23 ] ;而正午强烈的太阳辐射导致大气层结趋于不稳定,湍流作用增强,使地表风速增强,从而提高了起沙风频率[24 ] .起沙风频率、输沙势与风蚀力均呈裸地>留茬农田>草地的规律,说明地表粗糙度越低,其对风能的削减作用越弱,越容易形成有效输沙风和高强度侵蚀作用.这一规律与河北坝上地区多项风蚀实测结果基本一致[12 -13 ] . ...
河北坝上农田、退耕地和天然草地土壤的可风蚀性
2
2018
... 土地利用方式是影响风蚀强度的重要因素[10 ] ,合理的土地利用方式能够有效减少土壤裸露,从而直接降低风蚀速率[11 ] .已有研究围绕不同土地利用方式下土壤风蚀问题开展了大量工作.杨钦等[12 ] 以河北坝上地区为研究对象,分析了天然草地、人工林、农田和退耕地的土壤性质差异,指出土地利用方式通过改变地表覆盖状况和土壤结构特征,显著影响土壤风蚀强度.张志栋等[13 ] 进一步从土壤干团聚体稳定性和土壤可蚀度角度,揭示了农田、退耕地和天然草地在风蚀潜力上的差异,认为植被覆盖恢复有助于改善土壤结构并增强抗风蚀能力.此外,相关研究多结合风洞试验等方法,证实作物留茬和退耕还草等措施可通过增加地表粗糙度、降低地表剪切应力,从而削弱风蚀作用[14 -15 ] .目前已有研究对裸地、留茬农田与草地在风沙活动强度上的对比相对不足,且三者抗风蚀性能具有明显差异.因此,选取裸地、留茬农田和草地作为研究对象,有助于揭示东北地区不同土地利用方式下风沙活动强度的差异,深化对该地区风蚀过程的认识. ...
... 基于3种土地利用方式的起沙风日内特征分析发现,起沙风平均风速在18:00—22:00出现峰值,起沙风频率在12:00—14:00达到单峰峰值.究其原因,可能是夜间地表辐射冷却使边界层形成稳定层结,湍流活动受抑制,其向下动量从高空向地表输送,导致近地层出现较高的瞬时风速,提高了起沙风平均风速[22 -23 ] ;而正午强烈的太阳辐射导致大气层结趋于不稳定,湍流作用增强,使地表风速增强,从而提高了起沙风频率[24 ] .起沙风频率、输沙势与风蚀力均呈裸地>留茬农田>草地的规律,说明地表粗糙度越低,其对风能的削减作用越弱,越容易形成有效输沙风和高强度侵蚀作用.这一规律与河北坝上地区多项风蚀实测结果基本一致[12 -13 ] . ...
内蒙古阴山北麓荒漠草原风况与输沙势研究:以希拉穆仁草原为例
1
2022
... 土地利用方式是影响风蚀强度的重要因素[10 ] ,合理的土地利用方式能够有效减少土壤裸露,从而直接降低风蚀速率[11 ] .已有研究围绕不同土地利用方式下土壤风蚀问题开展了大量工作.杨钦等[12 ] 以河北坝上地区为研究对象,分析了天然草地、人工林、农田和退耕地的土壤性质差异,指出土地利用方式通过改变地表覆盖状况和土壤结构特征,显著影响土壤风蚀强度.张志栋等[13 ] 进一步从土壤干团聚体稳定性和土壤可蚀度角度,揭示了农田、退耕地和天然草地在风蚀潜力上的差异,认为植被覆盖恢复有助于改善土壤结构并增强抗风蚀能力.此外,相关研究多结合风洞试验等方法,证实作物留茬和退耕还草等措施可通过增加地表粗糙度、降低地表剪切应力,从而削弱风蚀作用[14 -15 ] .目前已有研究对裸地、留茬农田与草地在风沙活动强度上的对比相对不足,且三者抗风蚀性能具有明显差异.因此,选取裸地、留茬农田和草地作为研究对象,有助于揭示东北地区不同土地利用方式下风沙活动强度的差异,深化对该地区风蚀过程的认识. ...
科尔沁沙地4种作物根茬抗风蚀效果风洞试验研究
3
2009
... 土地利用方式是影响风蚀强度的重要因素[10 ] ,合理的土地利用方式能够有效减少土壤裸露,从而直接降低风蚀速率[11 ] .已有研究围绕不同土地利用方式下土壤风蚀问题开展了大量工作.杨钦等[12 ] 以河北坝上地区为研究对象,分析了天然草地、人工林、农田和退耕地的土壤性质差异,指出土地利用方式通过改变地表覆盖状况和土壤结构特征,显著影响土壤风蚀强度.张志栋等[13 ] 进一步从土壤干团聚体稳定性和土壤可蚀度角度,揭示了农田、退耕地和天然草地在风蚀潜力上的差异,认为植被覆盖恢复有助于改善土壤结构并增强抗风蚀能力.此外,相关研究多结合风洞试验等方法,证实作物留茬和退耕还草等措施可通过增加地表粗糙度、降低地表剪切应力,从而削弱风蚀作用[14 -15 ] .目前已有研究对裸地、留茬农田与草地在风沙活动强度上的对比相对不足,且三者抗风蚀性能具有明显差异.因此,选取裸地、留茬农田和草地作为研究对象,有助于揭示东北地区不同土地利用方式下风沙活动强度的差异,深化对该地区风蚀过程的认识. ...
... 通过将基恩士光纤传感器(传感器探头和信号放大器)与风速测量系统进行结合(图4 ),实现地表起动风速的短期观测(已申请实用新型专利);在此基础上,参考前人相关研究结果,针对裸地、留茬农田、草地的起动风速分别取值为4.5、5.3、7.4 m·s-1[15 ,18 ] .首先将高度2 m的原始数据中所有风速大于3种土地利用方式起动风速的数据进行汇总处理,计算出每个样地观测期间的起沙风频率和起沙风平均风速,再将原始风向数据的360°方位角平均分成N、NE、E、SE、S、SW、W、NW这8个风向方位,分别计算不同方位的起沙风频率. ...
... 农田土壤风蚀是东北地区春季土壤侵蚀的主要形式,在播种前后耕作扰动频繁的条件下尤为突出.通过调控耕作方式和地表覆盖状况来削弱近地层风速、抬高土壤起动阈值,已成为农田风蚀防治的重要研究方向.大量研究表明,留茬能够通过增加地表粗糙度有效降低农田风蚀强度.刘伟春等[25 ] 在田间观测发现,免耕留茬处理的风蚀量低于翻耕农田,说明减少耕作扰动并保留残茬覆盖是抑制春季农田风蚀的重要措施.李梅等[15 ] 的风洞试验表明,不同作物留茬均可在不同程度上提高地表抗风蚀能力,其防护效果受残茬高度和覆盖状况影响明显.本研究结果显示,留茬农田的输沙势与风蚀力均低于裸地,从风蚀动力角度为上述防治措施的有效性提供了实测支撑.除留茬覆盖外,已有研究还从微地形角度揭示了耕作方式对近地层风场结构的调控作用.李秀明等[26 -27 ] 发现,垄状微地形能够显著降低垄间近地表风速并削弱风速脉动,并认为适宜的垄密度有助于提升农田防风蚀效果.因此,增加地表覆盖并实施保护性耕作是降低农田土壤风蚀风险的有效措施. ...
吉林西部风蚀沙地固沙植物引种栽培试验研究
1
2025
... 吉林省鸿兴水土保持科技示范园位于吉林省通榆县鸿兴镇聚富村(图1 ),地处松辽平原西部,地理坐标为45°02′11″—45°02′51″N、123°12′12″—123°12′53″E.整体地势地形起伏小,海拔140~180 m.该区域属中温带半干旱大陆性季风气候区,年均气温6 ℃,多年平均风速4.2 m·s-1 ,最大可达40 m·s-1 ,年大风日数为19 d[16 ] .该园区位于吉林省风蚀区中心,属于松辽平原防沙农田防护区,是省级水土流失重点预防区.主要水土流失形式为风力侵蚀,原地貌土壤侵蚀模数背景值2 850 t·km-2 ·a-1 ,具有吉林省风力侵蚀区典型性和代表性. ...
摩阻风速与平均风速的转化关系研究
1
2007
... 在中性层结条件下,近地层风速廓线符合对数函数分布规律[17 ] : ...
基于临界起沙风速的草地防风固沙功能研究
1
2013
... 通过将基恩士光纤传感器(传感器探头和信号放大器)与风速测量系统进行结合(图4 ),实现地表起动风速的短期观测(已申请实用新型专利);在此基础上,参考前人相关研究结果,针对裸地、留茬农田、草地的起动风速分别取值为4.5、5.3、7.4 m·s-1[15 ,18 ] .首先将高度2 m的原始数据中所有风速大于3种土地利用方式起动风速的数据进行汇总处理,计算出每个样地观测期间的起沙风频率和起沙风平均风速,再将原始风向数据的360°方位角平均分成N、NE、E、SE、S、SW、W、NW这8个风向方位,分别计算不同方位的起沙风频率. ...
Dune forms and wind regime
1
1979
... 参照Fryberger等[19 ] 提出的方法计算输沙势: ...
Assessing wind erosion forces:directions and relative magnitudes
1
1965
... 基于风速和风向的同步观测,将超过沙粒起动风速均值的风速数据进行过滤,并按照1 m·s-1 的固定间隔把风速数据从最低至最高划分为11个风速等级,统计8个风向方位下各风速等级的起沙风频率和起沙风平均风速.任意风向j 的风蚀力rj 和总风蚀力FT 分别定义为[20 -21 ] : ...
Wind erosion forces and wind direction distribution for assessing the efficiency of shelterbelts in northern China
1
2018
... 基于风速和风向的同步观测,将超过沙粒起动风速均值的风速数据进行过滤,并按照1 m·s-1 的固定间隔把风速数据从最低至最高划分为11个风速等级,统计8个风向方位下各风速等级的起沙风频率和起沙风平均风速.任意风向j 的风蚀力rj 和总风蚀力FT 分别定义为[20 -21 ] : ...
Dust Activities induced by nocturnal low-level jet over the Taklimakan Desert from WRF-Chem simulation
1
2022
... 基于3种土地利用方式的起沙风日内特征分析发现,起沙风平均风速在18:00—22:00出现峰值,起沙风频率在12:00—14:00达到单峰峰值.究其原因,可能是夜间地表辐射冷却使边界层形成稳定层结,湍流活动受抑制,其向下动量从高空向地表输送,导致近地层出现较高的瞬时风速,提高了起沙风平均风速[22 -23 ] ;而正午强烈的太阳辐射导致大气层结趋于不稳定,湍流作用增强,使地表风速增强,从而提高了起沙风频率[24 ] .起沙风频率、输沙势与风蚀力均呈裸地>留茬农田>草地的规律,说明地表粗糙度越低,其对风能的削减作用越弱,越容易形成有效输沙风和高强度侵蚀作用.这一规律与河北坝上地区多项风蚀实测结果基本一致[12 -13 ] . ...
Boundary layer wind maxima and their significance for the growth of nocturnal inversions
1
1957
... 基于3种土地利用方式的起沙风日内特征分析发现,起沙风平均风速在18:00—22:00出现峰值,起沙风频率在12:00—14:00达到单峰峰值.究其原因,可能是夜间地表辐射冷却使边界层形成稳定层结,湍流活动受抑制,其向下动量从高空向地表输送,导致近地层出现较高的瞬时风速,提高了起沙风平均风速[22 -23 ] ;而正午强烈的太阳辐射导致大气层结趋于不稳定,湍流作用增强,使地表风速增强,从而提高了起沙风频率[24 ] .起沙风频率、输沙势与风蚀力均呈裸地>留茬农田>草地的规律,说明地表粗糙度越低,其对风能的削减作用越弱,越容易形成有效输沙风和高强度侵蚀作用.这一规律与河北坝上地区多项风蚀实测结果基本一致[12 -13 ] . ...
Circadian Rhythm of dune-field activity
1
2021
... 基于3种土地利用方式的起沙风日内特征分析发现,起沙风平均风速在18:00—22:00出现峰值,起沙风频率在12:00—14:00达到单峰峰值.究其原因,可能是夜间地表辐射冷却使边界层形成稳定层结,湍流活动受抑制,其向下动量从高空向地表输送,导致近地层出现较高的瞬时风速,提高了起沙风平均风速[22 -23 ] ;而正午强烈的太阳辐射导致大气层结趋于不稳定,湍流作用增强,使地表风速增强,从而提高了起沙风频率[24 ] .起沙风频率、输沙势与风蚀力均呈裸地>留茬农田>草地的规律,说明地表粗糙度越低,其对风能的削减作用越弱,越容易形成有效输沙风和高强度侵蚀作用.这一规律与河北坝上地区多项风蚀实测结果基本一致[12 -13 ] . ...
科尔沁沙地南缘旱作农田保护性耕作对土壤风蚀的影响
1
2025
... 农田土壤风蚀是东北地区春季土壤侵蚀的主要形式,在播种前后耕作扰动频繁的条件下尤为突出.通过调控耕作方式和地表覆盖状况来削弱近地层风速、抬高土壤起动阈值,已成为农田风蚀防治的重要研究方向.大量研究表明,留茬能够通过增加地表粗糙度有效降低农田风蚀强度.刘伟春等[25 ] 在田间观测发现,免耕留茬处理的风蚀量低于翻耕农田,说明减少耕作扰动并保留残茬覆盖是抑制春季农田风蚀的重要措施.李梅等[15 ] 的风洞试验表明,不同作物留茬均可在不同程度上提高地表抗风蚀能力,其防护效果受残茬高度和覆盖状况影响明显.本研究结果显示,留茬农田的输沙势与风蚀力均低于裸地,从风蚀动力角度为上述防治措施的有效性提供了实测支撑.除留茬覆盖外,已有研究还从微地形角度揭示了耕作方式对近地层风场结构的调控作用.李秀明等[26 -27 ] 发现,垄状微地形能够显著降低垄间近地表风速并削弱风速脉动,并认为适宜的垄密度有助于提升农田防风蚀效果.因此,增加地表覆盖并实施保护性耕作是降低农田土壤风蚀风险的有效措施. ...
横向垄状微地形近地表风速脉动特征
1
2025
... 农田土壤风蚀是东北地区春季土壤侵蚀的主要形式,在播种前后耕作扰动频繁的条件下尤为突出.通过调控耕作方式和地表覆盖状况来削弱近地层风速、抬高土壤起动阈值,已成为农田风蚀防治的重要研究方向.大量研究表明,留茬能够通过增加地表粗糙度有效降低农田风蚀强度.刘伟春等[25 ] 在田间观测发现,免耕留茬处理的风蚀量低于翻耕农田,说明减少耕作扰动并保留残茬覆盖是抑制春季农田风蚀的重要措施.李梅等[15 ] 的风洞试验表明,不同作物留茬均可在不同程度上提高地表抗风蚀能力,其防护效果受残茬高度和覆盖状况影响明显.本研究结果显示,留茬农田的输沙势与风蚀力均低于裸地,从风蚀动力角度为上述防治措施的有效性提供了实测支撑.除留茬覆盖外,已有研究还从微地形角度揭示了耕作方式对近地层风场结构的调控作用.李秀明等[26 -27 ] 发现,垄状微地形能够显著降低垄间近地表风速并削弱风速脉动,并认为适宜的垄密度有助于提升农田防风蚀效果.因此,增加地表覆盖并实施保护性耕作是降低农田土壤风蚀风险的有效措施. ...
垄状微地形对近地表空气动力学特征的影响
1
2024
... 农田土壤风蚀是东北地区春季土壤侵蚀的主要形式,在播种前后耕作扰动频繁的条件下尤为突出.通过调控耕作方式和地表覆盖状况来削弱近地层风速、抬高土壤起动阈值,已成为农田风蚀防治的重要研究方向.大量研究表明,留茬能够通过增加地表粗糙度有效降低农田风蚀强度.刘伟春等[25 ] 在田间观测发现,免耕留茬处理的风蚀量低于翻耕农田,说明减少耕作扰动并保留残茬覆盖是抑制春季农田风蚀的重要措施.李梅等[15 ] 的风洞试验表明,不同作物留茬均可在不同程度上提高地表抗风蚀能力,其防护效果受残茬高度和覆盖状况影响明显.本研究结果显示,留茬农田的输沙势与风蚀力均低于裸地,从风蚀动力角度为上述防治措施的有效性提供了实测支撑.除留茬覆盖外,已有研究还从微地形角度揭示了耕作方式对近地层风场结构的调控作用.李秀明等[26 -27 ] 发现,垄状微地形能够显著降低垄间近地表风速并削弱风速脉动,并认为适宜的垄密度有助于提升农田防风蚀效果.因此,增加地表覆盖并实施保护性耕作是降低农田土壤风蚀风险的有效措施. ...
Regional assessment for the occurrence probability of wind erosion based on the joint probability density function of air density and wind speed
1
2024
... 概率密度函数能够在理论意义上重建风速的总体分布特征,表征不同风速范围的出现概率,有助于更准确地评估风蚀发生风险[28 ] .在实测风速数据基础上,利用6种常见概率密度函数对风速分布进行拟合,通过R ²、MAE、RMSE及KS统计指标对比了拟合性能,并基于最优风速分布对风蚀发生概率进行了初步评估(表4 ).结果显示6种理论分布均能够较好地拟合风速的总体分布形态(图16 ),但拟合效果存在明显差异;其中,ExponWeib分布效果表现最优,其R 2 最高,MAE、RMSE与KS值最低,说明该模型在风速概率分布的峰态及尾部衰减特征刻画方面均优于其他分布.进一步基于ExponWeib分布计算不同样地风速超过起动风速的概率,结果显示裸地、留茬农田和草地分别为17.77%、10.87%和2.66%;对应的实测结果分别为19.15%、12.94%、4.39%,可见不同土地利用方式下风蚀发生概率的估算结果与实测结果均相差低于3%.在未来研究中通过补充长期且全面的实测数据,对风蚀发生概率进行更准确的综合评估. ...