内蒙古荒漠草原沙生针茅(Stipa glareosa )、碱韭(Allium polyrhizum )和骆驼蓬(Peganum harmala )叶形态性状对土壤水氮耦合的响应
郭新新 , 1 , 2 , 左小安 , 1 , 岳平 1 , 李香云 1 , 2 , 赵生龙 1 , 2 , 吕朋 1 , 2 , 胡亚 1 , 2
1.中国科学院西北生态环境资源研究院 乌拉特荒漠草原研究站/奈曼沙漠化研究站,甘肃 兰州 730000
2.中国科学院大学,北京 100049
Responses of leaf morphological traits of three dominant plants to water and nitrogen in desert steppe of Inner Mongolia
Guo Xinxin , 1 , 2 , Zuo Xiaoan , 1 , Yue Ping 1 , Li Xiangyun 1 , 2 , Zhao Shenglong 1 , 2 , Lv Peng 1 , 2 , Hu Ya 1 , 2
1.Urat Desert-Grassland Research Station / Naiman Desertification Research Station,Northwest Institute of Eco-Environment and Resources,Chinese Academy of Sciences,Lanzhou 730000,China
2.University of Chinese Academy of Sciences,Beijing 100049,China
通讯作者: 左小安(E-mail: zuoxa@lzb.ac.cn )
收稿日期: 2020-04-22
修回日期: 2020-09-06
网络出版日期: 2021-01-29
基金资助:
国家自然科学基金项目 . 41622103 . 41571106 中国科学院青年创新促进会项目 . 1100000036
Received: 2020-04-22
Revised: 2020-09-06
Online: 2021-01-29
作者简介 About authors
郭新新(1995—),女,河南开封人,博士研究生,主要从事全球变化生态学方面的研究E-mail:guoxinxin@lzb.ac.cn
, E-mail:guoxinxin@lzb.ac.cn
摘要
研究降水和氮沉降对荒漠草原植物叶形态性状的影响,对于预测未来全球变化下荒漠草原植物的生态适应具有重要意义。对增减雨(±50%)和氮添加(10 g·m-2 ·a-1 )及其交互作用对乌拉特荒漠草原区优势植物叶形态性状的影响研究结果表明:(1)沙生针茅(Stipa glareosa )、碱韭(Allium polyrhizum )和骆驼蓬(Peganum harmala )比叶面积(SLA)、叶干物质含量(LDMC)对增减雨和氮添加的响应存在差异。增雨处理下仅碱韭的SLA显著降低,减雨处理下骆驼蓬的SLA显著降低,LDMC显著增加(P <0.05);氮添加处理下仅骆驼蓬的LDMC显著降低(P< 0.05)。(2)水氮交互作用仅对骆驼蓬有显著影响(P< 0.05),氮添加使减雨处理对其SLA和LDMC无显著影响(P >0.05)。(3)减雨、氮添加和增雨与氮添加的交互作用处理下SLA和LDMC显著负相关(P <0.05)。沙生针茅叶性状较稳定,碱韭SLA对增雨响应较敏感,骆驼蓬叶性状对减雨敏感,而增氮可降低减雨对其叶片的胁迫,荒漠草原区不同的植物通过不同的可塑性和生态策略响应和适应区域环境变化。
关键词:
荒漠草原
;
增减雨
;
氮添加
;
比叶面积
;
叶干物质含量
Abstract
It’s great important to study the effects of precipitation and nitrogen deposition on leaf morphological traits in desert steppe plants, which will predict the ecological adaptation of desert steppe plants under global changes. In this experiment, the effects of increasing and decreasing precipitation (±50%), nitrogen addition (10 g·m-2 ·yr-1 )and their interactions on leaf morphological traits of different dominant species were studied in desert steppe. The results showed that: different responses of the specific leaf area (SLA) and leaf dry matter content (LDMC) of the three plants (Stipa glareosa , Allium polyrhizum and Peganum harmala ) were found to increasing or decreasing precipitation and nitrogen addition. (1) The SLA of A. polyrhizum was significantly reduced under the increasing precipitation (P <0.05). And the SLA of P. harmala was decreased significantly by decreasing precipitation (P <0.05). However, the LDMC was increased significantly by decreasing precipitation. Only the LDMC of P. harmala has a significant decrease under nitrogen addition (P <0.05). (2) A significant effect on P. harmala was observed by the interaction of water and nitrogen (P <0.05). Furthermore, nitrogen addition could change the effect of decreasing precipitation on the leaf morphological traits of A. polyrhizum . (3) It’s a significant negative correlation between SLA and LDMC under decreasing precipitation, nitrogen addition and the interaction of increasing precipitation and nitrogen addition (P <0.05). The leaf characters of S. glareosa were relatively stable. The SLA of A. polyrhizum was sensitive to the response of increasing precipitation. The leaf morphological traits of P. harmala were sensitive to decreasing precipitation, while nitrogen addition can reduce the stress of decreasing precipitation on them. Adaptions and responses of different plants in desert steppe to regional environmental changes were mediated by different ecological strategies and plasticity.
Keywords:
desert steppe
;
precipitation change
;
nitrogen addition
;
specific leaf area
;
leaf dry matter content
本文引用格式
郭新新, 左小安, 岳平, 李香云, 赵生龙, 吕朋, 胡亚. 内蒙古荒漠草原沙生针茅(Stipa glareosa )、碱韭(Allium polyrhizum )和骆驼蓬(Peganum harmala )叶形态性状对土壤水氮耦合的响应 . 中国沙漠 [J], 2021, 41(1): 137-144 doi:10.7522/j.issn.1000-694X.2020.00095
Guo Xinxin, Zuo Xiaoan, Yue Ping, Li Xiangyun, Zhao Shenglong, Lv Peng, Hu Ya. Responses of leaf morphological traits of three dominant plants to water and nitrogen in desert steppe of Inner Mongolia . Journal of Desert Research [J], 2021, 41(1): 137-144 doi:10.7522/j.issn.1000-694X.2020.00095
0 引言
内蒙古荒漠草原是温带草原生态系统的重要组成部分,在生态地理条件、物种组成、群落结构及功能等方面都具有独特性[1 ] 。由于生态环境的严酷和气候的波动变化,荒漠草原生态系统十分脆弱,对气候和环境变化响应非常敏感[2 ] 。乌拉特荒漠草原位于内蒙古自治区西北部、阴山以北,面积达509万hm2 ,约占内蒙古荒漠草原面积的1/2,地处干旱与半干旱区的边缘地带,是草原与荒漠过渡带的典型代表区域[3 ] 。研究乌拉站特荒漠草原的植被功能性状对全球变化的响应及适应,对于维护阴山北麓草原生态系统功能及区域可持续发展具有重要的意义。
全球气候变化中,降水格局改变对草原生态结构和功能具有重要影响,增加降雨会提高荒漠草原植被盖度和地上生物量,减少降雨则会降低其盖度和地上生物量[4 ] 。另外,近年来,大气氮沉降的急剧增加,不仅提高了草原生态系统生产力[5 -6 ] ,也导致了草原生态系统土壤发生酸化,显著降低了物种多样性[7 -8 ] 。植物性状是植物响应环境变化而形成的内在生理及外在形态方面的适应特征。叶形态性状一定程度上体现了植物在适应环境变化的同时为获取最大碳收入的生存适应策略[9 ] 。比叶面积(SLA)和叶干物质含量(LDMC)是研究植物性状的重要指标,不仅反映了叶片形态特征,更反映了植物获取资源和适应环境的能力[10 ] 。SLA与LDMC的负相关关系可以作为植物资源利用分类轴上划分植物种类的最佳变量[11 ] 。氮添加能使高寒草地植物SLA显著增加[12 ] ,增加降雨可提高荒漠植物SLA与LDMC[13 ] ,低SLA、高LDMC的植物更能适应干旱贫瘠的环境[14 ] 。然而,荒漠草原区优势植物是否会通过叶片性状的改变来响应和适应未来的水氮变化还缺乏深入的认识。
水分和土壤可利用性氮是温带草原生态系统的主要限制因子[8 ] ,荒漠草原植被对水分和氮素变化的响应则更加敏感[15 -16 ] 。目前关于乌拉特荒漠草原的研究多在水分和氮素变化对植物群落的光合速率、生物量、植被盖度和物种多样性方面[4 ,8 ,17 -19 ] ,有关植物生态适应性的研究还鲜有报道。沙生针茅群落是荒漠草原区最主要的群落类型之一,其中优势物种针茅(Stipa glareosa )、碱韭(Allium polyrhizum )和骆驼蓬(Peganum harmala )均为多年生草本,但三者属于不同科属,且叶形态差异较大。沙生针茅为禾本科针茅属,叶片内卷,叶面积较小;碱韭为百合科葱属,鳞茎簇生,叶片呈半圆柱状;骆驼蓬为蒺藜科骆驼蓬属,叶片为3—5裂条形裂片。已有研究表明,紫花针茅SLA随降水变化不显著[20 ] ,碱韭随降水增多丰度增加[21 ] ,氮添加可以显著提高克氏针茅和碱韭的生物量[22 -24 ] 。这可能表明不同优势植物的功能特性对环境变化的响应存在差异。此外,关于骆驼蓬的研究多集中在其化学成分、药理等方面[25 -26 ] ,而对其生态功能的研究极少。目前有关这3种荒漠草原优势植物叶片性状对环境变化的适应性差异的研究还十分缺乏。
本研究依托草原生态系统对全球变化响应的联网研究平台,选择乌拉特荒漠草原中的沙生针茅、碱韭和骆驼蓬,研究其叶形态性状对水氮及其交互处理的响应,阐明3种植物叶形态性状对水氮变化的适应性差异,明确不同处理对叶性状之间关系的影响,为进一步揭示荒漠草原植物对环境变化的适应策略提供理论依据。
1 研究材料与方法
1.1 研究区概况
研究区位于内蒙古乌拉特后旗中部(41°25′N、106°58′E,海拔1 650 m),属于典型的大陆性干旱气候。年降水量为151 mm,集中在7—8月,占年降水量的70%左右;年均气温5.3 ℃,≥10 ℃的年积温2 000—3 000 ℃。该区域植被以荒漠灌丛和荒漠草原植物群落为主,土壤以灰棕漠土和棕钙土为主[19 ] 。
研究样地位于中国科学院乌拉特荒漠草原研究站的综合实验场内。该实验场(350 hm2 )从2010年开始围封,由南向北可划分为沙生针茅、芨芨草和红砂群落[4 ] 。沙生针茅群落中优势植物主要有沙生针茅、碱韭和骆驼蓬,其他伴生植物有蒙古韭(Allium mongolicum )、虫实(Corispermum hyssopifolium )、猪毛菜(Salsola collina )、雾冰藜(Bassia dasyphylla )等。
1.2 试验设计
本试验依托2017年7月在综合实验场内建立的全球变化联网实验(Global Change Network)平台开展。该平台主要是研究模拟全球变化中的水分和氮元素及其交互作用对沙生针茅群落的影响。试验采用随机区组设计,包含3个水处理(W0,自然降雨;W1,增加50%降雨;W2,减少50%降雨)和2个氮处理(N0,0 g·m-2 ·a-1 ;N1,10 g·m-2 ·a-1 )。共6个处理:W0N0(对照)、W1N0、W2N0、W0N1、W1N1、W2N1,每个处理重复6次,共计36个小区。每个小区面积为6 m×6 m,小区之间的缓冲区为2 m。
增加降雨是通过监测生长季降雨量,在增雨小区内4—8月每星期累计添加50%的降雨。减少降雨采用梯形凹槽遮雨棚进行干旱处理[27 ] 。并在每个小区的四周用包有塑料纸的金属隔板(1 m深)隔开以减小水分的侧向干扰。氮肥采用树脂包膜尿素(含纯氮量为44%),添加量与全球养分添加研究网络一致(http://www.nutnet.org/ )[17 ] 。
1.3 样品采集与处理
2018年8月,在各个处理小区内采集沙生针茅、碱韭、骆驼蓬叶片,每种选择10—20片完全伸展且无病虫害的成熟叶片,置于湿润的滤纸之间,迅速放入自封袋,4 ℃下储藏。在实验室内将叶片浸泡于4 ℃的去离子水中6 h,然后取出袋子中的叶片迅速吸去叶表水分;在万分之一的电子天平上称得10个叶片的叶饱和鲜重(FW,fresh weight),再将叶片平铺在扫描仪上扫描,用WinRHIZO软件计算叶面积。最后80 ℃下烘48 h后取出称叶干重(DW,dry weight)。
1.4 数据处理与分析
叶片SLA与LDMC的计算采用以下方法[28 ] :SLA=叶面积/叶干重;LDMC=叶干重/叶饱和鲜重。
采用两因素方差分析法(two-way ANOVA)比较水、氮及其交互作用对3种植物叶片性状的影响,用最小显著差异法(LSD)进行不同处理间的多重比较。用Pearson相关分析法检验不同处理下的SLA与LDMC的相关性。数据统计分析采用SAS9.4软件,并用SigmaPlot12.5软件绘图。
2 结果
2.1 不同优势植物叶形态性状对增减雨的响应
不同优势植物叶形态性状对水分变化的响应存在明显的差异(表1 )。与自然降水(W0)相比,增加50%降雨(W1)使碱韭的SLA显著降低了33.2%(P <0.05),而增加降雨对沙生针茅和骆驼蓬的SLA影响不显著(P >0.05);减少50%降雨(W2)处理下骆驼蓬SLA显著降低了25.92%(P <0.05),而沙生针茅和碱韭的SLA在减雨处理下无显著变化(P >0.05,图1 )。此外,增减雨对沙生针茅和碱韭的LDMC无显著影响(P > 0.05);减雨50%处理下骆驼蓬LDMC增加了25.81%(P <0.05,图1 )。由此表明,沙生针茅叶形态性状在增减雨处理下无显著变化,对干旱和增雨具有较强的抵抗力,碱韭仅SLA对增雨响应较为敏感,而骆驼蓬叶形态性状对干旱处理响应敏感。
图1
图1
不同优势植物叶形态性状对增减雨的响应
W0,自然降雨;W1,增加50%降雨;W2,减少50%降雨。不同小写字母表示同一物种不同水处理间差异(P <0.05)。样本重复数n =12
Fig.1
The response of leaf morphological traits of different dominant species to increase and decrease precipitation
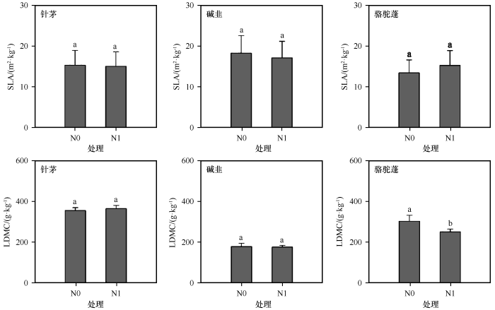
2.2 不同优势植物叶形态性状对氮添加的响应
氮添加对沙生针茅,碱韭和骆驼蓬的SLA均无显著影响(P >0.05,图2 、表1 )。氮添加处理(N1)下,沙生针茅、碱韭的LDMC无显著变化(P >0.05,表1 ),而骆驼蓬的LDMC在氮添加处理(N1)下相较于不施氮处理(N0)显著降低了17.43%(P <0.05,2)。沙生针茅和碱韭的叶性状对氮添加响应不敏感,骆驼蓬的LDMC对氮添加比较敏感。
图2
图2
不同优势植物叶形态性状对氮添加的响应
N0和N1分别表示施氮肥水平为0 g·m-2 ·a-1 和10 g·m-2 ·a-1 。不同小写字母表示同一物种不同氮处理间差异(P <0.05)。样本重复数n =18
Fig.2
The response of leaf morphological traits of different dominant species to nitrogen addition
2.3 不同优势植物叶形态性状对水氮耦合的响应
水氮交互作用对沙生针茅和碱韭的叶形态性状均无显著影响(P >0.05),但对骆驼蓬SLA和LDMC具有显著影响(P <0.05,表1 )。与自然降雨(W0N0)的处理相比,减雨50%与不施氮的交互处理(W2N0)下骆驼蓬的SLA和LDMC均发生显著变化(P <0.05,图3 ),SLA显著降低了7.74 m2 ·kg-1 ,LDMC显著增加了222.20 g·kg-1 。而减雨50%与氮添加的交互作用(W2N1)对骆驼蓬SLA和LDMC无显著影响(图3 )。此外,在减雨处理(W2)下,氮添加(N1)比不施氮(N0)使骆驼蓬的SLA显著增加了77.32%(P <0.01),而LDMC显著降低了45.82%(P <0.001,图3 )。3种植物叶形态性状对水氮交互作用存在响应差异,沙生针茅和碱韭的叶形态性状在水氮交互作用下无明显变化,而骆驼蓬的叶性状对水氮交互作用相对敏感;特别是干旱与氮添加的交互作用使骆驼蓬的叶性状相比干旱且不施氮处理下发生显著的变化,表明氮添加可以改变骆驼蓬叶形态性状对干旱的响应策略。
图3
图3
不同优势植物叶形态性状对水氮耦合的响应
W、N为水分处理和氮添加处理,W0N0,自然降水+不施氮肥;W1N0,增加50%降雨+不施氮肥;W2N0,减少50%降雨+不施氮肥;W0N1,自然降水+施氮肥10 g·m-2 ·a-1 ;W1N1,增加50%降雨+施氮肥10 g·m-2 ·a-1 ;W2N1,减少50%降雨+施氮肥10 g·m-2 ·a-1 。不同小写字母表示不施氮肥下同一物种不同水分处理间差异(P <0.05);不同大写字母表示施氮水平为10 g·m-2 ·a-1 下同一物种不同水分处理间差异(P <0.05);* 表示相同水分处理下同一物种不同氮处理间差异,**表示P <0.01,***表示P <0.001,没有*的表示差异不显著
Fig.3
The response of leaf morphological traits of different dominant species to water and nitrogen
2.4 不同处理间植物叶片SLA 与LDMC 的相关性
不同水氮及其交互处理下植物SLA与LDMC的相关性存在明显不同(图4 )。自然降水(W0N0)、增雨50%(W1N0)、减雨50%与氮添加交互处理(W2N1)下植物的SLA与LDMC没有显著的相关性(P >0.05),而减雨50%(W2N0)、氮添加(W0N1)、增雨50%与氮添加交互处理(W1N1)下SLA与LDMC显著负相关(P <0.05)。与对照相比,减雨和氮添加的单一因素能够改变荒漠草原区草本植物SLA与LDMC的相关性,而增雨对植物SLA与LDMC的相关性的影响则依赖于氮添加的作用。
图4
图4
不同物种比叶面积SLA与叶干物质含量LDMC的相关性
Fig.4
The relationships between SLA and LDMC under different treatment
3 讨论
植物叶片形态性状决定了植物的光合能力,能够很好地反映植物对环境变化的适应能力[29 ] 。SLA反映植物消耗单位质量干物质所捕获的光面积,是研究植物功能性状的首选指标[10 ] 。本研究表明,内蒙古荒漠草原区3种优势植物SLA对增减雨的响应存在着明显差异。沙生针茅SLA在增减雨处理下无显著变化,这与青藏高原紫花沙生针茅SLA与降水变化无显著关系的结果一致[20 ] ,这主要是因为沙生针茅长期适应干旱的环境,对水分变化响应不敏感。碱韭SLA在增雨时有所降低,与新疆荒漠区干旱增加骆驼刺SLA的结果相类似[30 ] ,这可能是由于碱韭采取了快速获取和利用资源的生长策略,降水增加或充足时碱韭叶子迅速密集簇生。且叶片较细长,进而导致单位干重的叶面积减小,这可能与碱韭表型可塑性有关[31 ] 。新生叶片低SLA有利于防止其叶片过度失水,提高其光合能力[32 -33 ] 。而骆驼蓬SLA在减雨处理下显著降低,与以往植物SLA与降水量正相关的结果相一致[13 ,34 -35 ] 。在干旱胁迫下,骆驼蓬采用资源保守策略,通过降低SLA来保持水分,减弱蒸腾作用,以增强自身抗旱能力[34 ] 。此外,本研究表明氮添加对3种植物SLA无重要影响,与氮添加会提高叶片的SLA的部分研究结果不太相符[30 ,34 ] ,这可能是由于缓效树脂包膜尿素养分释放速率受到了施肥量和土壤水分的限制[36 ] ,短期内不能对荒漠草原植物SLA产生显著影响。而水氮交互作用对骆驼蓬SLA具有显著影响,干旱能够降低其SLA,但氮添加与减雨交互作用下骆驼蓬SLA并未降低,这表明氮添加缓解了干旱对其叶片的胁迫。
LDMC反映植物叶片组织密度,是预测植物获取资源和抵抗环境胁迫能力的重要指标[31 ,37 ] 。本研究表明,水氮变化对荒漠草原区沙生针茅和碱韭的LDMC没有重要影响,而骆驼蓬LDMC对水氮交互作用敏感。干旱能够增加骆驼蓬的LDMC,而氮添加和干旱的交互作用又使其LDMC与对照无显著差异。这与黄彩变等[30 ] 有关植物LDMC在干旱和氮添加的交互处理下最高的结果不太一致,这种不一致可能与氮添加量、氮肥类型及不同植物对水氮处理的响应存在差异有关[12 ,17 ,30 ,38 ] 。因此,氮添加是否可以减缓水分限制对植物叶形态性状的影响还有待长期观测和进一步研究。
有关植物的SLA与LDMC的相关关系一直存在争议,有研究表明二者存在显著的负相关关系[37 ,39 ] ,另一些研究则给出SLA与LDMC无显著的相关性[14 ] 。本研究表明,植物SLA与LDMC在对照处理下无显著相关性,而在减雨、氮添加、增雨和氮添加交互下均呈现出显著负相关关系,说明荒漠草原区植物叶形态性状间的相互关系会受到水氮变化的调控。已有研究表明,越干旱的草原生态系统对干旱的响应越敏感、抵抗力越弱[40 ] 。水分是乌拉特干旱荒漠草原生态系统最主要的限制因子,骆驼蓬的叶形态性状对干旱的响应较为敏感,因而贡献于干旱胁迫下植物SLA与LDMC的负相关关系。此外,氮元素的添加不仅可以提高荒漠草原植物对降水变化的敏感性[41 ] ,而且有利于叶片中蛋白质的合成以及光合速率的提高[42 ] ,从而影响植物叶片的SLA和LDMC的相互关系。外界环境(如干旱和氮添加)能够改变荒漠草原植物SLA和LDMC之间的相关关系,在一定程度上解释了当前相关研究中有关植物SLA与LDMC相关关系的争议。
4 结论
乌拉特荒漠草原3种优势植物叶形态性状对降水变化和氮沉降的响应存在明显差异,表明不同的植物通过不同的生态策略来响应和适应区域环境的变化。沙生针茅叶形态在水氮变化时能够保持相对稳定,说明沙生针茅对短期外界环境变化具有较强的抵抗力。降雨量增加时,碱韭可通过改变叶性状快速获取资源,从而提高生长率,完成其生活史。骆驼蓬对干旱处理十分敏感,而氮添加能使骆驼蓬在干旱胁迫下维持原有叶形态特征,以保持较高的生长速率;可以预测在氮沉降增加、降雨量减少或干旱频发的环境下,骆驼蓬将会具有更好的生态适应性。本论文基于植物叶片形态性状深入探讨了荒漠草原沙生针茅、碱韭和骆驼蓬这3种优势植物对降水变化和氮沉降升高的响应与适应策略,为未来环境变化下预测该区域植被组成和功能的变化提供了重要依据。
参考文献
View Option
[1]
徐连秀 .短花针茅荒漠草原植物群落空间分布格局研究
[D].呼和浩特 :内蒙古农业大学 ,2008 .
[本文引用: 1]
[2]
赛胜宝 .内蒙古北部荒漠草原带的严重荒漠化及其治理
[J].干旱区资源与环境 ,2001 ,15 (4 ):34 -39 .
[本文引用: 1]
[3]
马治华 ,刘桂香 ,李景平 ,等 .内蒙古荒漠草原生态环境质量评价
[J].中国草地学报 ,2007 ,29 (6 ):17 -21 .
[本文引用: 1]
[4]
张蕊 ,赵学勇 ,左小安 ,等 .荒漠草原沙生针茅(Stipa glareosa )群落物种多样性和地上生物量对降雨量的响应
[J].中国沙漠 ,2019 ,39 (2 ):45 -52 .
[本文引用: 3]
[5]
Hautier Y ,Niklaus P A ,Hector A .Competition for light causes plant biodiversity loss after eutrophication
[J].Science ,2009 ,324 (5927 ):636 -638 .
[本文引用: 1]
[6]
刘卓艺 ,王晓光 ,魏海伟 ,等 .氮素补给对呼伦贝尔草甸草原退化草地牧草产量和品质的影响
[J].应用生态学报 ,2019 ,30 (9 ):2992 -2998 .
[本文引用: 1]
[7]
Chen D ,Lan Z ,Bai X ,et al .Evidence that acidification-induced declines in plant diversity and productivity are mediated by changes in below-ground communities and soil properties in a semi-arid steppe
[J].Journal of Ecology ,2013 ,101 (5 ):1322 -1334 .
[本文引用: 1]
[8]
高海燕 ,红梅 ,霍利霞 ,等 .水氮耦合对荒漠草原植物物种多样性及生物量的影响
[J].草业科学 ,2018 ,35 (1 ):36 -45 .
[本文引用: 3]
[9]
Diaz S ,Cabido M ,Casanoves F .Plant functional traits and environmental filters at a regional scale
[J].Journal of Vegetation Science ,1998 ,9 (1 ):113 -122 .
[本文引用: 1]
[10]
Cornelissen J H C ,Lavorel S ,Garnier E ,et al .A handbook of protocols for standardised and easy measurement of plant functional traits worldwide
[J].Australian Journal of Botany ,2003 ,51 (4 ):335 -380 .
[本文引用: 2]
[11]
刘金环 ,曾德慧 ,Lee D K .科尔沁沙地东南部地区主要植物叶片性状及其相互关系
[J].生态学杂志 ,2006 ,25 (8 ):921 -925 .
[本文引用: 1]
[12]
李颖 ,林笠 ,朱文琰 ,等 .青藏高原高寒草地常见植物叶属性对氮、磷添加的响应
[J].北京大学学报(自然科学版) ,2017 ,53 (3 ):535 -544 .
[本文引用: 2]
[13]
任昱 ,卢琦 ,吴波 ,等 .不同模拟增雨下白刺比叶面积和叶干物质含量的比较
[J].生态学报 ,2015 ,35 (14 ):4707 -4715 .
[本文引用: 2]
[14]
周欣 ,左小安 ,赵学勇 ,等 .科尔沁沙地中南部34种植物叶功能性状及其相互关系
[J].中国沙漠 ,2015 ,35 (6 ):1489 -1495 .
[本文引用: 2]
[15]
Giese M ,Brueck H ,Gao Y Z ,et al .N balance and cycling of Inner Mongolia typical steppe: a comprehensive case study of grazing effects
[J].Ecological Monographs ,2013 ,83 (2 ):195 -219 .
[本文引用: 1]
[16]
Liu W ,Lu X ,Xu W ,et al .Effects of water and nitrogen addition on ecosystem respiration across three types of steppe: the role of plant and microbial biomass
[J].Science of the Total Environment ,2018 ,619 :103 -111 .
[本文引用: 1]
[17]
李香云 ,岳平 ,郭新新 ,等 .荒漠草原植物群落光合速率对水氮添加的响应
[J].中国沙漠 ,2020 ,40 (1 ):1 -9 .
[本文引用: 3]
[18]
曲浩 ,赵学勇 ,王少昆 ,等 .乌拉特荒漠草原不同植被群落对土壤碳、氮的影响
[J].草业科学 ,2014 ,31 (3 ):355 -360 .
[19]
王少昆 ,赵学勇 ,贾昆峰 ,等 .乌拉特荒漠草原小针茅(Stipa klemenzii )群落土壤细菌多样性及垂直分布特征
[J].中国沙漠 ,2016 ,36 (6 ):1564 -1570 .
[本文引用: 2]
[20]
胡梦瑶 ,张林 ,罗天祥 ,等 .西藏紫花针茅叶功能性状沿降水梯度的变化
[J].植物生态学报 ,2012 ,36 (2 ):136 -143 .
[本文引用: 2]
[21]
张小红 ,宋彦涛 ,乌云娜 ,等 .放牧强度对克氏针茅草原植物功能群的影响
[J].草业科学 ,2017 ,34 (10 ):2033 -2041 .
[本文引用: 1]
[22]
李放 ,乌云娜 ,张小红 ,等 .模拟氮沉降对克氏针茅和碱韭种间竞争的影响
[J].中国草地学报 ,2019 ,41 (2 ):44 -50 .
[本文引用: 1]
[23]
姚兴丽 ,宋彦涛 ,乌云娜 .不同梯度硫酸铵和尿素添加对碱韭(Allium polyrhizum )生物量分配的影响
[J].天津农业科学 ,2019 ,25 (10 ):31 -35 .
[24]
王瑀璠 ,袁子健 ,黄富权 ,等 .氮添加对退化草原优势植物多根葱(Allium polyrhizum )生物量的影响
[J].绿色科技 ,2018 ,(8 ):10 -12 .
[本文引用: 1]
[25]
李博 ,刘斌 ,时晓娟 ,等 .骆驼蓬的研究进展
[J].中医药导报 ,2016 ,22 (1 ):97 -100 .
[本文引用: 1]
[26]
俞腾飞 ,朱惠珍 .骆驼蓬的研究概况
[J].国外医药(植物药分册) ,1992 ,7 (3 ):104 -107 .
[本文引用: 1]
[27]
岳喜元 ,左小安 ,庾强 ,等 .降水量和短期极端干旱对典型草原植物群落及优势种羊草(Leymus chinensis )叶性状的影响
[J].中国沙漠 ,2018 ,38 (5 ):1009 -1016 .
[本文引用: 1]
[28]
Garnier E ,Shipley B ,Roumet C ,et al .A standardized protocol for the determination of specific leaf area and leaf dry matter content
[J].Functional Ecology ,2001 ,15 (5 ):688 -695 .
[本文引用: 1]
[29]
于鸿莹 ,陈莹婷 ,许振柱 ,等 .内蒙古荒漠草原植物叶片功能性状关系及其经济谱分析
[J].植物生态学报 ,2014 ,38 (10 ):1029 -1040 .
[本文引用: 1]
[30]
黄彩变 ,曾凡江 ,雷加强 .骆驼刺幼苗生长和功能性状对不同水氮添加的响应
[J].草业学报 ,2016 ,25 (12 ):150 -160 .
[本文引用: 4]
[31]
李玉霖 ,崔建垣 ,苏永中 .不同沙丘生境主要植物比叶面积和叶干物质含量的比较
[J].生态学报 ,2005 ,25 (2 ):304 -311 .
[本文引用: 2]
[32]
刘明秀 ,梁国鲁 .植物比叶质量研究进展
[J].植物生态学报 ,2016 ,40 (8 ):847 -860 .
[本文引用: 1]
[33]
邱东 ,吴甘霖 ,刘玲 ,等 .城市香樟叶片干物质含量及比叶面积的时空变异
[J].云南大学学报(自然科学版) ,2019 ,41 (3 ):609 -618
[本文引用: 1]
[34]
黄菊莹 ,袁志友 ,李凌浩 .羊草绿叶氮、磷浓度和比叶面积沿氮、磷和水分梯度的变化
[J].植物生态学报 ,2009 ,33 (3 ):442 -448 .
[本文引用: 3]
[35]
Fonseca C R ,Overton J M ,Collins B ,et al .Shifts in trait-combinations along rainfall and phosphorus gradients
[J].Journal of Ecology ,2000 ,88 (6 ):964 -977 .
[本文引用: 1]
[36]
王琦 .盐碱地玉米缓释型专用肥缓效氮添加比例的研究
[D].太原 :山西大学 ,2016 .
[本文引用: 1]
[37]
Wilson P J ,Thompson K ,Hodgson J G .Specific leaf area and leaf dry matter content as alternative predictors of plant strategies
[J].New Phytologist ,1999 ,143 (1 ):155 -162 .
[本文引用: 2]
[38]
郑婧 ,佘维维 ,白宇轩 ,等 .氮素和水分添加对毛乌素沙地油蒿群落优势植物叶片性状的影响
[J].林业科学 ,2018 ,54 (10 ):164 -171 .
[本文引用: 1]
[39]
Shipley B ,Vu T T .Dry matter content as a measure of dry matter concentration in plants and their parts
[J].New Phytologist ,2002 ,153 (2 ):359 -364 .
[本文引用: 1]
[40]
Knapp A K ,Carroll C J W ,Denton E M ,et al .Differential sensitivity to regional-scale drought in six central US grasslands
[J].Oecologia ,2015 ,177 (4 ):949 -957 .
[本文引用: 1]
[41]
Ma Q ,Liu X ,Li Y ,et al .Nitrogen deposition magnifies the sensitivity of desert steppe plant communities to large changes in precipitation
[J].Journal of Ecology ,2019 ,108 (1 ):1 -13 .
[本文引用: 1]
[42]
郑淑霞 ,上官周平 .不同功能型植物光合特性及其与叶氮含量、比叶重的关系
[J].生态学报 ,2007 ,27 (1 ):171 -181 .
[本文引用: 1]
短花针茅荒漠草原植物群落空间分布格局研究
1
2008
... 内蒙古荒漠草原是温带草原生态系统的重要组成部分,在生态地理条件、物种组成、群落结构及功能等方面都具有独特性[1 ] .由于生态环境的严酷和气候的波动变化,荒漠草原生态系统十分脆弱,对气候和环境变化响应非常敏感[2 ] .乌拉特荒漠草原位于内蒙古自治区西北部、阴山以北,面积达509万hm2 ,约占内蒙古荒漠草原面积的1/2,地处干旱与半干旱区的边缘地带,是草原与荒漠过渡带的典型代表区域[3 ] .研究乌拉站特荒漠草原的植被功能性状对全球变化的响应及适应,对于维护阴山北麓草原生态系统功能及区域可持续发展具有重要的意义. ...
内蒙古北部荒漠草原带的严重荒漠化及其治理
1
2001
... 内蒙古荒漠草原是温带草原生态系统的重要组成部分,在生态地理条件、物种组成、群落结构及功能等方面都具有独特性[1 ] .由于生态环境的严酷和气候的波动变化,荒漠草原生态系统十分脆弱,对气候和环境变化响应非常敏感[2 ] .乌拉特荒漠草原位于内蒙古自治区西北部、阴山以北,面积达509万hm2 ,约占内蒙古荒漠草原面积的1/2,地处干旱与半干旱区的边缘地带,是草原与荒漠过渡带的典型代表区域[3 ] .研究乌拉站特荒漠草原的植被功能性状对全球变化的响应及适应,对于维护阴山北麓草原生态系统功能及区域可持续发展具有重要的意义. ...
内蒙古荒漠草原生态环境质量评价
1
2007
... 内蒙古荒漠草原是温带草原生态系统的重要组成部分,在生态地理条件、物种组成、群落结构及功能等方面都具有独特性[1 ] .由于生态环境的严酷和气候的波动变化,荒漠草原生态系统十分脆弱,对气候和环境变化响应非常敏感[2 ] .乌拉特荒漠草原位于内蒙古自治区西北部、阴山以北,面积达509万hm2 ,约占内蒙古荒漠草原面积的1/2,地处干旱与半干旱区的边缘地带,是草原与荒漠过渡带的典型代表区域[3 ] .研究乌拉站特荒漠草原的植被功能性状对全球变化的响应及适应,对于维护阴山北麓草原生态系统功能及区域可持续发展具有重要的意义. ...
荒漠草原沙生针茅(Stipa glareosa )群落物种多样性和地上生物量对降雨量的响应
3
2019
... 全球气候变化中,降水格局改变对草原生态结构和功能具有重要影响,增加降雨会提高荒漠草原植被盖度和地上生物量,减少降雨则会降低其盖度和地上生物量[4 ] .另外,近年来,大气氮沉降的急剧增加,不仅提高了草原生态系统生产力[5 -6 ] ,也导致了草原生态系统土壤发生酸化,显著降低了物种多样性[7 -8 ] .植物性状是植物响应环境变化而形成的内在生理及外在形态方面的适应特征.叶形态性状一定程度上体现了植物在适应环境变化的同时为获取最大碳收入的生存适应策略[9 ] .比叶面积(SLA)和叶干物质含量(LDMC)是研究植物性状的重要指标,不仅反映了叶片形态特征,更反映了植物获取资源和适应环境的能力[10 ] .SLA与LDMC的负相关关系可以作为植物资源利用分类轴上划分植物种类的最佳变量[11 ] .氮添加能使高寒草地植物SLA显著增加[12 ] ,增加降雨可提高荒漠植物SLA与LDMC[13 ] ,低SLA、高LDMC的植物更能适应干旱贫瘠的环境[14 ] .然而,荒漠草原区优势植物是否会通过叶片性状的改变来响应和适应未来的水氮变化还缺乏深入的认识. ...
... 水分和土壤可利用性氮是温带草原生态系统的主要限制因子[8 ] ,荒漠草原植被对水分和氮素变化的响应则更加敏感[15 -16 ] .目前关于乌拉特荒漠草原的研究多在水分和氮素变化对植物群落的光合速率、生物量、植被盖度和物种多样性方面[4 ,8 ,17 -19 ] ,有关植物生态适应性的研究还鲜有报道.沙生针茅群落是荒漠草原区最主要的群落类型之一,其中优势物种针茅(Stipa glareosa )、碱韭(Allium polyrhizum )和骆驼蓬(Peganum harmala )均为多年生草本,但三者属于不同科属,且叶形态差异较大.沙生针茅为禾本科针茅属,叶片内卷,叶面积较小;碱韭为百合科葱属,鳞茎簇生,叶片呈半圆柱状;骆驼蓬为蒺藜科骆驼蓬属,叶片为3—5裂条形裂片.已有研究表明,紫花针茅SLA随降水变化不显著[20 ] ,碱韭随降水增多丰度增加[21 ] ,氮添加可以显著提高克氏针茅和碱韭的生物量[22 -24 ] .这可能表明不同优势植物的功能特性对环境变化的响应存在差异.此外,关于骆驼蓬的研究多集中在其化学成分、药理等方面[25 -26 ] ,而对其生态功能的研究极少.目前有关这3种荒漠草原优势植物叶片性状对环境变化的适应性差异的研究还十分缺乏. ...
... 研究样地位于中国科学院乌拉特荒漠草原研究站的综合实验场内.该实验场(350 hm2 )从2010年开始围封,由南向北可划分为沙生针茅、芨芨草和红砂群落[4 ] .沙生针茅群落中优势植物主要有沙生针茅、碱韭和骆驼蓬,其他伴生植物有蒙古韭(Allium mongolicum )、虫实(Corispermum hyssopifolium )、猪毛菜(Salsola collina )、雾冰藜(Bassia dasyphylla )等. ...
Competition for light causes plant biodiversity loss after eutrophication
1
2009
... 全球气候变化中,降水格局改变对草原生态结构和功能具有重要影响,增加降雨会提高荒漠草原植被盖度和地上生物量,减少降雨则会降低其盖度和地上生物量[4 ] .另外,近年来,大气氮沉降的急剧增加,不仅提高了草原生态系统生产力[5 -6 ] ,也导致了草原生态系统土壤发生酸化,显著降低了物种多样性[7 -8 ] .植物性状是植物响应环境变化而形成的内在生理及外在形态方面的适应特征.叶形态性状一定程度上体现了植物在适应环境变化的同时为获取最大碳收入的生存适应策略[9 ] .比叶面积(SLA)和叶干物质含量(LDMC)是研究植物性状的重要指标,不仅反映了叶片形态特征,更反映了植物获取资源和适应环境的能力[10 ] .SLA与LDMC的负相关关系可以作为植物资源利用分类轴上划分植物种类的最佳变量[11 ] .氮添加能使高寒草地植物SLA显著增加[12 ] ,增加降雨可提高荒漠植物SLA与LDMC[13 ] ,低SLA、高LDMC的植物更能适应干旱贫瘠的环境[14 ] .然而,荒漠草原区优势植物是否会通过叶片性状的改变来响应和适应未来的水氮变化还缺乏深入的认识. ...
氮素补给对呼伦贝尔草甸草原退化草地牧草产量和品质的影响
1
2019
... 全球气候变化中,降水格局改变对草原生态结构和功能具有重要影响,增加降雨会提高荒漠草原植被盖度和地上生物量,减少降雨则会降低其盖度和地上生物量[4 ] .另外,近年来,大气氮沉降的急剧增加,不仅提高了草原生态系统生产力[5 -6 ] ,也导致了草原生态系统土壤发生酸化,显著降低了物种多样性[7 -8 ] .植物性状是植物响应环境变化而形成的内在生理及外在形态方面的适应特征.叶形态性状一定程度上体现了植物在适应环境变化的同时为获取最大碳收入的生存适应策略[9 ] .比叶面积(SLA)和叶干物质含量(LDMC)是研究植物性状的重要指标,不仅反映了叶片形态特征,更反映了植物获取资源和适应环境的能力[10 ] .SLA与LDMC的负相关关系可以作为植物资源利用分类轴上划分植物种类的最佳变量[11 ] .氮添加能使高寒草地植物SLA显著增加[12 ] ,增加降雨可提高荒漠植物SLA与LDMC[13 ] ,低SLA、高LDMC的植物更能适应干旱贫瘠的环境[14 ] .然而,荒漠草原区优势植物是否会通过叶片性状的改变来响应和适应未来的水氮变化还缺乏深入的认识. ...
Evidence that acidification-induced declines in plant diversity and productivity are mediated by changes in below-ground communities and soil properties in a semi-arid steppe
1
2013
... 全球气候变化中,降水格局改变对草原生态结构和功能具有重要影响,增加降雨会提高荒漠草原植被盖度和地上生物量,减少降雨则会降低其盖度和地上生物量[4 ] .另外,近年来,大气氮沉降的急剧增加,不仅提高了草原生态系统生产力[5 -6 ] ,也导致了草原生态系统土壤发生酸化,显著降低了物种多样性[7 -8 ] .植物性状是植物响应环境变化而形成的内在生理及外在形态方面的适应特征.叶形态性状一定程度上体现了植物在适应环境变化的同时为获取最大碳收入的生存适应策略[9 ] .比叶面积(SLA)和叶干物质含量(LDMC)是研究植物性状的重要指标,不仅反映了叶片形态特征,更反映了植物获取资源和适应环境的能力[10 ] .SLA与LDMC的负相关关系可以作为植物资源利用分类轴上划分植物种类的最佳变量[11 ] .氮添加能使高寒草地植物SLA显著增加[12 ] ,增加降雨可提高荒漠植物SLA与LDMC[13 ] ,低SLA、高LDMC的植物更能适应干旱贫瘠的环境[14 ] .然而,荒漠草原区优势植物是否会通过叶片性状的改变来响应和适应未来的水氮变化还缺乏深入的认识. ...
水氮耦合对荒漠草原植物物种多样性及生物量的影响
3
2018
... 全球气候变化中,降水格局改变对草原生态结构和功能具有重要影响,增加降雨会提高荒漠草原植被盖度和地上生物量,减少降雨则会降低其盖度和地上生物量[4 ] .另外,近年来,大气氮沉降的急剧增加,不仅提高了草原生态系统生产力[5 -6 ] ,也导致了草原生态系统土壤发生酸化,显著降低了物种多样性[7 -8 ] .植物性状是植物响应环境变化而形成的内在生理及外在形态方面的适应特征.叶形态性状一定程度上体现了植物在适应环境变化的同时为获取最大碳收入的生存适应策略[9 ] .比叶面积(SLA)和叶干物质含量(LDMC)是研究植物性状的重要指标,不仅反映了叶片形态特征,更反映了植物获取资源和适应环境的能力[10 ] .SLA与LDMC的负相关关系可以作为植物资源利用分类轴上划分植物种类的最佳变量[11 ] .氮添加能使高寒草地植物SLA显著增加[12 ] ,增加降雨可提高荒漠植物SLA与LDMC[13 ] ,低SLA、高LDMC的植物更能适应干旱贫瘠的环境[14 ] .然而,荒漠草原区优势植物是否会通过叶片性状的改变来响应和适应未来的水氮变化还缺乏深入的认识. ...
... 水分和土壤可利用性氮是温带草原生态系统的主要限制因子[8 ] ,荒漠草原植被对水分和氮素变化的响应则更加敏感[15 -16 ] .目前关于乌拉特荒漠草原的研究多在水分和氮素变化对植物群落的光合速率、生物量、植被盖度和物种多样性方面[4 ,8 ,17 -19 ] ,有关植物生态适应性的研究还鲜有报道.沙生针茅群落是荒漠草原区最主要的群落类型之一,其中优势物种针茅(Stipa glareosa )、碱韭(Allium polyrhizum )和骆驼蓬(Peganum harmala )均为多年生草本,但三者属于不同科属,且叶形态差异较大.沙生针茅为禾本科针茅属,叶片内卷,叶面积较小;碱韭为百合科葱属,鳞茎簇生,叶片呈半圆柱状;骆驼蓬为蒺藜科骆驼蓬属,叶片为3—5裂条形裂片.已有研究表明,紫花针茅SLA随降水变化不显著[20 ] ,碱韭随降水增多丰度增加[21 ] ,氮添加可以显著提高克氏针茅和碱韭的生物量[22 -24 ] .这可能表明不同优势植物的功能特性对环境变化的响应存在差异.此外,关于骆驼蓬的研究多集中在其化学成分、药理等方面[25 -26 ] ,而对其生态功能的研究极少.目前有关这3种荒漠草原优势植物叶片性状对环境变化的适应性差异的研究还十分缺乏. ...
... ,8 ,17 -19 ],有关植物生态适应性的研究还鲜有报道.沙生针茅群落是荒漠草原区最主要的群落类型之一,其中优势物种针茅(Stipa glareosa )、碱韭(Allium polyrhizum )和骆驼蓬(Peganum harmala )均为多年生草本,但三者属于不同科属,且叶形态差异较大.沙生针茅为禾本科针茅属,叶片内卷,叶面积较小;碱韭为百合科葱属,鳞茎簇生,叶片呈半圆柱状;骆驼蓬为蒺藜科骆驼蓬属,叶片为3—5裂条形裂片.已有研究表明,紫花针茅SLA随降水变化不显著[20 ] ,碱韭随降水增多丰度增加[21 ] ,氮添加可以显著提高克氏针茅和碱韭的生物量[22 -24 ] .这可能表明不同优势植物的功能特性对环境变化的响应存在差异.此外,关于骆驼蓬的研究多集中在其化学成分、药理等方面[25 -26 ] ,而对其生态功能的研究极少.目前有关这3种荒漠草原优势植物叶片性状对环境变化的适应性差异的研究还十分缺乏. ...
Plant functional traits and environmental filters at a regional scale
1
1998
... 全球气候变化中,降水格局改变对草原生态结构和功能具有重要影响,增加降雨会提高荒漠草原植被盖度和地上生物量,减少降雨则会降低其盖度和地上生物量[4 ] .另外,近年来,大气氮沉降的急剧增加,不仅提高了草原生态系统生产力[5 -6 ] ,也导致了草原生态系统土壤发生酸化,显著降低了物种多样性[7 -8 ] .植物性状是植物响应环境变化而形成的内在生理及外在形态方面的适应特征.叶形态性状一定程度上体现了植物在适应环境变化的同时为获取最大碳收入的生存适应策略[9 ] .比叶面积(SLA)和叶干物质含量(LDMC)是研究植物性状的重要指标,不仅反映了叶片形态特征,更反映了植物获取资源和适应环境的能力[10 ] .SLA与LDMC的负相关关系可以作为植物资源利用分类轴上划分植物种类的最佳变量[11 ] .氮添加能使高寒草地植物SLA显著增加[12 ] ,增加降雨可提高荒漠植物SLA与LDMC[13 ] ,低SLA、高LDMC的植物更能适应干旱贫瘠的环境[14 ] .然而,荒漠草原区优势植物是否会通过叶片性状的改变来响应和适应未来的水氮变化还缺乏深入的认识. ...
A handbook of protocols for standardised and easy measurement of plant functional traits worldwide
2
2003
... 全球气候变化中,降水格局改变对草原生态结构和功能具有重要影响,增加降雨会提高荒漠草原植被盖度和地上生物量,减少降雨则会降低其盖度和地上生物量[4 ] .另外,近年来,大气氮沉降的急剧增加,不仅提高了草原生态系统生产力[5 -6 ] ,也导致了草原生态系统土壤发生酸化,显著降低了物种多样性[7 -8 ] .植物性状是植物响应环境变化而形成的内在生理及外在形态方面的适应特征.叶形态性状一定程度上体现了植物在适应环境变化的同时为获取最大碳收入的生存适应策略[9 ] .比叶面积(SLA)和叶干物质含量(LDMC)是研究植物性状的重要指标,不仅反映了叶片形态特征,更反映了植物获取资源和适应环境的能力[10 ] .SLA与LDMC的负相关关系可以作为植物资源利用分类轴上划分植物种类的最佳变量[11 ] .氮添加能使高寒草地植物SLA显著增加[12 ] ,增加降雨可提高荒漠植物SLA与LDMC[13 ] ,低SLA、高LDMC的植物更能适应干旱贫瘠的环境[14 ] .然而,荒漠草原区优势植物是否会通过叶片性状的改变来响应和适应未来的水氮变化还缺乏深入的认识. ...
... 植物叶片形态性状决定了植物的光合能力,能够很好地反映植物对环境变化的适应能力[29 ] .SLA反映植物消耗单位质量干物质所捕获的光面积,是研究植物功能性状的首选指标[10 ] .本研究表明,内蒙古荒漠草原区3种优势植物SLA对增减雨的响应存在着明显差异.沙生针茅SLA在增减雨处理下无显著变化,这与青藏高原紫花沙生针茅SLA与降水变化无显著关系的结果一致[20 ] ,这主要是因为沙生针茅长期适应干旱的环境,对水分变化响应不敏感.碱韭SLA在增雨时有所降低,与新疆荒漠区干旱增加骆驼刺SLA的结果相类似[30 ] ,这可能是由于碱韭采取了快速获取和利用资源的生长策略,降水增加或充足时碱韭叶子迅速密集簇生.且叶片较细长,进而导致单位干重的叶面积减小,这可能与碱韭表型可塑性有关[31 ] .新生叶片低SLA有利于防止其叶片过度失水,提高其光合能力[32 -33 ] .而骆驼蓬SLA在减雨处理下显著降低,与以往植物SLA与降水量正相关的结果相一致[13 ,34 -35 ] .在干旱胁迫下,骆驼蓬采用资源保守策略,通过降低SLA来保持水分,减弱蒸腾作用,以增强自身抗旱能力[34 ] .此外,本研究表明氮添加对3种植物SLA无重要影响,与氮添加会提高叶片的SLA的部分研究结果不太相符[30 ,34 ] ,这可能是由于缓效树脂包膜尿素养分释放速率受到了施肥量和土壤水分的限制[36 ] ,短期内不能对荒漠草原植物SLA产生显著影响.而水氮交互作用对骆驼蓬SLA具有显著影响,干旱能够降低其SLA,但氮添加与减雨交互作用下骆驼蓬SLA并未降低,这表明氮添加缓解了干旱对其叶片的胁迫. ...
科尔沁沙地东南部地区主要植物叶片性状及其相互关系
1
2006
... 全球气候变化中,降水格局改变对草原生态结构和功能具有重要影响,增加降雨会提高荒漠草原植被盖度和地上生物量,减少降雨则会降低其盖度和地上生物量[4 ] .另外,近年来,大气氮沉降的急剧增加,不仅提高了草原生态系统生产力[5 -6 ] ,也导致了草原生态系统土壤发生酸化,显著降低了物种多样性[7 -8 ] .植物性状是植物响应环境变化而形成的内在生理及外在形态方面的适应特征.叶形态性状一定程度上体现了植物在适应环境变化的同时为获取最大碳收入的生存适应策略[9 ] .比叶面积(SLA)和叶干物质含量(LDMC)是研究植物性状的重要指标,不仅反映了叶片形态特征,更反映了植物获取资源和适应环境的能力[10 ] .SLA与LDMC的负相关关系可以作为植物资源利用分类轴上划分植物种类的最佳变量[11 ] .氮添加能使高寒草地植物SLA显著增加[12 ] ,增加降雨可提高荒漠植物SLA与LDMC[13 ] ,低SLA、高LDMC的植物更能适应干旱贫瘠的环境[14 ] .然而,荒漠草原区优势植物是否会通过叶片性状的改变来响应和适应未来的水氮变化还缺乏深入的认识. ...
青藏高原高寒草地常见植物叶属性对氮、磷添加的响应
2
2017
... 全球气候变化中,降水格局改变对草原生态结构和功能具有重要影响,增加降雨会提高荒漠草原植被盖度和地上生物量,减少降雨则会降低其盖度和地上生物量[4 ] .另外,近年来,大气氮沉降的急剧增加,不仅提高了草原生态系统生产力[5 -6 ] ,也导致了草原生态系统土壤发生酸化,显著降低了物种多样性[7 -8 ] .植物性状是植物响应环境变化而形成的内在生理及外在形态方面的适应特征.叶形态性状一定程度上体现了植物在适应环境变化的同时为获取最大碳收入的生存适应策略[9 ] .比叶面积(SLA)和叶干物质含量(LDMC)是研究植物性状的重要指标,不仅反映了叶片形态特征,更反映了植物获取资源和适应环境的能力[10 ] .SLA与LDMC的负相关关系可以作为植物资源利用分类轴上划分植物种类的最佳变量[11 ] .氮添加能使高寒草地植物SLA显著增加[12 ] ,增加降雨可提高荒漠植物SLA与LDMC[13 ] ,低SLA、高LDMC的植物更能适应干旱贫瘠的环境[14 ] .然而,荒漠草原区优势植物是否会通过叶片性状的改变来响应和适应未来的水氮变化还缺乏深入的认识. ...
... LDMC反映植物叶片组织密度,是预测植物获取资源和抵抗环境胁迫能力的重要指标[31 ,37 ] .本研究表明,水氮变化对荒漠草原区沙生针茅和碱韭的LDMC没有重要影响,而骆驼蓬LDMC对水氮交互作用敏感.干旱能够增加骆驼蓬的LDMC,而氮添加和干旱的交互作用又使其LDMC与对照无显著差异.这与黄彩变等[30 ] 有关植物LDMC在干旱和氮添加的交互处理下最高的结果不太一致,这种不一致可能与氮添加量、氮肥类型及不同植物对水氮处理的响应存在差异有关[12 ,17 ,30 ,38 ] .因此,氮添加是否可以减缓水分限制对植物叶形态性状的影响还有待长期观测和进一步研究. ...
不同模拟增雨下白刺比叶面积和叶干物质含量的比较
2
2015
... 全球气候变化中,降水格局改变对草原生态结构和功能具有重要影响,增加降雨会提高荒漠草原植被盖度和地上生物量,减少降雨则会降低其盖度和地上生物量[4 ] .另外,近年来,大气氮沉降的急剧增加,不仅提高了草原生态系统生产力[5 -6 ] ,也导致了草原生态系统土壤发生酸化,显著降低了物种多样性[7 -8 ] .植物性状是植物响应环境变化而形成的内在生理及外在形态方面的适应特征.叶形态性状一定程度上体现了植物在适应环境变化的同时为获取最大碳收入的生存适应策略[9 ] .比叶面积(SLA)和叶干物质含量(LDMC)是研究植物性状的重要指标,不仅反映了叶片形态特征,更反映了植物获取资源和适应环境的能力[10 ] .SLA与LDMC的负相关关系可以作为植物资源利用分类轴上划分植物种类的最佳变量[11 ] .氮添加能使高寒草地植物SLA显著增加[12 ] ,增加降雨可提高荒漠植物SLA与LDMC[13 ] ,低SLA、高LDMC的植物更能适应干旱贫瘠的环境[14 ] .然而,荒漠草原区优势植物是否会通过叶片性状的改变来响应和适应未来的水氮变化还缺乏深入的认识. ...
... 植物叶片形态性状决定了植物的光合能力,能够很好地反映植物对环境变化的适应能力[29 ] .SLA反映植物消耗单位质量干物质所捕获的光面积,是研究植物功能性状的首选指标[10 ] .本研究表明,内蒙古荒漠草原区3种优势植物SLA对增减雨的响应存在着明显差异.沙生针茅SLA在增减雨处理下无显著变化,这与青藏高原紫花沙生针茅SLA与降水变化无显著关系的结果一致[20 ] ,这主要是因为沙生针茅长期适应干旱的环境,对水分变化响应不敏感.碱韭SLA在增雨时有所降低,与新疆荒漠区干旱增加骆驼刺SLA的结果相类似[30 ] ,这可能是由于碱韭采取了快速获取和利用资源的生长策略,降水增加或充足时碱韭叶子迅速密集簇生.且叶片较细长,进而导致单位干重的叶面积减小,这可能与碱韭表型可塑性有关[31 ] .新生叶片低SLA有利于防止其叶片过度失水,提高其光合能力[32 -33 ] .而骆驼蓬SLA在减雨处理下显著降低,与以往植物SLA与降水量正相关的结果相一致[13 ,34 -35 ] .在干旱胁迫下,骆驼蓬采用资源保守策略,通过降低SLA来保持水分,减弱蒸腾作用,以增强自身抗旱能力[34 ] .此外,本研究表明氮添加对3种植物SLA无重要影响,与氮添加会提高叶片的SLA的部分研究结果不太相符[30 ,34 ] ,这可能是由于缓效树脂包膜尿素养分释放速率受到了施肥量和土壤水分的限制[36 ] ,短期内不能对荒漠草原植物SLA产生显著影响.而水氮交互作用对骆驼蓬SLA具有显著影响,干旱能够降低其SLA,但氮添加与减雨交互作用下骆驼蓬SLA并未降低,这表明氮添加缓解了干旱对其叶片的胁迫. ...
科尔沁沙地中南部34种植物叶功能性状及其相互关系
2
2015
... 全球气候变化中,降水格局改变对草原生态结构和功能具有重要影响,增加降雨会提高荒漠草原植被盖度和地上生物量,减少降雨则会降低其盖度和地上生物量[4 ] .另外,近年来,大气氮沉降的急剧增加,不仅提高了草原生态系统生产力[5 -6 ] ,也导致了草原生态系统土壤发生酸化,显著降低了物种多样性[7 -8 ] .植物性状是植物响应环境变化而形成的内在生理及外在形态方面的适应特征.叶形态性状一定程度上体现了植物在适应环境变化的同时为获取最大碳收入的生存适应策略[9 ] .比叶面积(SLA)和叶干物质含量(LDMC)是研究植物性状的重要指标,不仅反映了叶片形态特征,更反映了植物获取资源和适应环境的能力[10 ] .SLA与LDMC的负相关关系可以作为植物资源利用分类轴上划分植物种类的最佳变量[11 ] .氮添加能使高寒草地植物SLA显著增加[12 ] ,增加降雨可提高荒漠植物SLA与LDMC[13 ] ,低SLA、高LDMC的植物更能适应干旱贫瘠的环境[14 ] .然而,荒漠草原区优势植物是否会通过叶片性状的改变来响应和适应未来的水氮变化还缺乏深入的认识. ...
... 有关植物的SLA与LDMC的相关关系一直存在争议,有研究表明二者存在显著的负相关关系[37 ,39 ] ,另一些研究则给出SLA与LDMC无显著的相关性[14 ] .本研究表明,植物SLA与LDMC在对照处理下无显著相关性,而在减雨、氮添加、增雨和氮添加交互下均呈现出显著负相关关系,说明荒漠草原区植物叶形态性状间的相互关系会受到水氮变化的调控.已有研究表明,越干旱的草原生态系统对干旱的响应越敏感、抵抗力越弱[40 ] .水分是乌拉特干旱荒漠草原生态系统最主要的限制因子,骆驼蓬的叶形态性状对干旱的响应较为敏感,因而贡献于干旱胁迫下植物SLA与LDMC的负相关关系.此外,氮元素的添加不仅可以提高荒漠草原植物对降水变化的敏感性[41 ] ,而且有利于叶片中蛋白质的合成以及光合速率的提高[42 ] ,从而影响植物叶片的SLA和LDMC的相互关系.外界环境(如干旱和氮添加)能够改变荒漠草原植物SLA和LDMC之间的相关关系,在一定程度上解释了当前相关研究中有关植物SLA与LDMC相关关系的争议. ...
N balance and cycling of Inner Mongolia typical steppe: a comprehensive case study of grazing effects
1
2013
... 水分和土壤可利用性氮是温带草原生态系统的主要限制因子[8 ] ,荒漠草原植被对水分和氮素变化的响应则更加敏感[15 -16 ] .目前关于乌拉特荒漠草原的研究多在水分和氮素变化对植物群落的光合速率、生物量、植被盖度和物种多样性方面[4 ,8 ,17 -19 ] ,有关植物生态适应性的研究还鲜有报道.沙生针茅群落是荒漠草原区最主要的群落类型之一,其中优势物种针茅(Stipa glareosa )、碱韭(Allium polyrhizum )和骆驼蓬(Peganum harmala )均为多年生草本,但三者属于不同科属,且叶形态差异较大.沙生针茅为禾本科针茅属,叶片内卷,叶面积较小;碱韭为百合科葱属,鳞茎簇生,叶片呈半圆柱状;骆驼蓬为蒺藜科骆驼蓬属,叶片为3—5裂条形裂片.已有研究表明,紫花针茅SLA随降水变化不显著[20 ] ,碱韭随降水增多丰度增加[21 ] ,氮添加可以显著提高克氏针茅和碱韭的生物量[22 -24 ] .这可能表明不同优势植物的功能特性对环境变化的响应存在差异.此外,关于骆驼蓬的研究多集中在其化学成分、药理等方面[25 -26 ] ,而对其生态功能的研究极少.目前有关这3种荒漠草原优势植物叶片性状对环境变化的适应性差异的研究还十分缺乏. ...
Effects of water and nitrogen addition on ecosystem respiration across three types of steppe: the role of plant and microbial biomass
1
2018
... 水分和土壤可利用性氮是温带草原生态系统的主要限制因子[8 ] ,荒漠草原植被对水分和氮素变化的响应则更加敏感[15 -16 ] .目前关于乌拉特荒漠草原的研究多在水分和氮素变化对植物群落的光合速率、生物量、植被盖度和物种多样性方面[4 ,8 ,17 -19 ] ,有关植物生态适应性的研究还鲜有报道.沙生针茅群落是荒漠草原区最主要的群落类型之一,其中优势物种针茅(Stipa glareosa )、碱韭(Allium polyrhizum )和骆驼蓬(Peganum harmala )均为多年生草本,但三者属于不同科属,且叶形态差异较大.沙生针茅为禾本科针茅属,叶片内卷,叶面积较小;碱韭为百合科葱属,鳞茎簇生,叶片呈半圆柱状;骆驼蓬为蒺藜科骆驼蓬属,叶片为3—5裂条形裂片.已有研究表明,紫花针茅SLA随降水变化不显著[20 ] ,碱韭随降水增多丰度增加[21 ] ,氮添加可以显著提高克氏针茅和碱韭的生物量[22 -24 ] .这可能表明不同优势植物的功能特性对环境变化的响应存在差异.此外,关于骆驼蓬的研究多集中在其化学成分、药理等方面[25 -26 ] ,而对其生态功能的研究极少.目前有关这3种荒漠草原优势植物叶片性状对环境变化的适应性差异的研究还十分缺乏. ...
荒漠草原植物群落光合速率对水氮添加的响应
3
2020
... 水分和土壤可利用性氮是温带草原生态系统的主要限制因子[8 ] ,荒漠草原植被对水分和氮素变化的响应则更加敏感[15 -16 ] .目前关于乌拉特荒漠草原的研究多在水分和氮素变化对植物群落的光合速率、生物量、植被盖度和物种多样性方面[4 ,8 ,17 -19 ] ,有关植物生态适应性的研究还鲜有报道.沙生针茅群落是荒漠草原区最主要的群落类型之一,其中优势物种针茅(Stipa glareosa )、碱韭(Allium polyrhizum )和骆驼蓬(Peganum harmala )均为多年生草本,但三者属于不同科属,且叶形态差异较大.沙生针茅为禾本科针茅属,叶片内卷,叶面积较小;碱韭为百合科葱属,鳞茎簇生,叶片呈半圆柱状;骆驼蓬为蒺藜科骆驼蓬属,叶片为3—5裂条形裂片.已有研究表明,紫花针茅SLA随降水变化不显著[20 ] ,碱韭随降水增多丰度增加[21 ] ,氮添加可以显著提高克氏针茅和碱韭的生物量[22 -24 ] .这可能表明不同优势植物的功能特性对环境变化的响应存在差异.此外,关于骆驼蓬的研究多集中在其化学成分、药理等方面[25 -26 ] ,而对其生态功能的研究极少.目前有关这3种荒漠草原优势植物叶片性状对环境变化的适应性差异的研究还十分缺乏. ...
... 增加降雨是通过监测生长季降雨量,在增雨小区内4—8月每星期累计添加50%的降雨.减少降雨采用梯形凹槽遮雨棚进行干旱处理[27 ] .并在每个小区的四周用包有塑料纸的金属隔板(1 m深)隔开以减小水分的侧向干扰.氮肥采用树脂包膜尿素(含纯氮量为44%),添加量与全球养分添加研究网络一致(http://www.nutnet.org/ )[17 ] . ...
... LDMC反映植物叶片组织密度,是预测植物获取资源和抵抗环境胁迫能力的重要指标[31 ,37 ] .本研究表明,水氮变化对荒漠草原区沙生针茅和碱韭的LDMC没有重要影响,而骆驼蓬LDMC对水氮交互作用敏感.干旱能够增加骆驼蓬的LDMC,而氮添加和干旱的交互作用又使其LDMC与对照无显著差异.这与黄彩变等[30 ] 有关植物LDMC在干旱和氮添加的交互处理下最高的结果不太一致,这种不一致可能与氮添加量、氮肥类型及不同植物对水氮处理的响应存在差异有关[12 ,17 ,30 ,38 ] .因此,氮添加是否可以减缓水分限制对植物叶形态性状的影响还有待长期观测和进一步研究. ...
乌拉特荒漠草原不同植被群落对土壤碳、氮的影响
2014
乌拉特荒漠草原小针茅(Stipa klemenzii )群落土壤细菌多样性及垂直分布特征
2
2016
... 水分和土壤可利用性氮是温带草原生态系统的主要限制因子[8 ] ,荒漠草原植被对水分和氮素变化的响应则更加敏感[15 -16 ] .目前关于乌拉特荒漠草原的研究多在水分和氮素变化对植物群落的光合速率、生物量、植被盖度和物种多样性方面[4 ,8 ,17 -19 ] ,有关植物生态适应性的研究还鲜有报道.沙生针茅群落是荒漠草原区最主要的群落类型之一,其中优势物种针茅(Stipa glareosa )、碱韭(Allium polyrhizum )和骆驼蓬(Peganum harmala )均为多年生草本,但三者属于不同科属,且叶形态差异较大.沙生针茅为禾本科针茅属,叶片内卷,叶面积较小;碱韭为百合科葱属,鳞茎簇生,叶片呈半圆柱状;骆驼蓬为蒺藜科骆驼蓬属,叶片为3—5裂条形裂片.已有研究表明,紫花针茅SLA随降水变化不显著[20 ] ,碱韭随降水增多丰度增加[21 ] ,氮添加可以显著提高克氏针茅和碱韭的生物量[22 -24 ] .这可能表明不同优势植物的功能特性对环境变化的响应存在差异.此外,关于骆驼蓬的研究多集中在其化学成分、药理等方面[25 -26 ] ,而对其生态功能的研究极少.目前有关这3种荒漠草原优势植物叶片性状对环境变化的适应性差异的研究还十分缺乏. ...
... 研究区位于内蒙古乌拉特后旗中部(41°25′N、106°58′E,海拔1 650 m),属于典型的大陆性干旱气候.年降水量为151 mm,集中在7—8月,占年降水量的70%左右;年均气温5.3 ℃,≥10 ℃的年积温2 000—3 000 ℃.该区域植被以荒漠灌丛和荒漠草原植物群落为主,土壤以灰棕漠土和棕钙土为主[19 ] . ...
西藏紫花针茅叶功能性状沿降水梯度的变化
2
2012
... 水分和土壤可利用性氮是温带草原生态系统的主要限制因子[8 ] ,荒漠草原植被对水分和氮素变化的响应则更加敏感[15 -16 ] .目前关于乌拉特荒漠草原的研究多在水分和氮素变化对植物群落的光合速率、生物量、植被盖度和物种多样性方面[4 ,8 ,17 -19 ] ,有关植物生态适应性的研究还鲜有报道.沙生针茅群落是荒漠草原区最主要的群落类型之一,其中优势物种针茅(Stipa glareosa )、碱韭(Allium polyrhizum )和骆驼蓬(Peganum harmala )均为多年生草本,但三者属于不同科属,且叶形态差异较大.沙生针茅为禾本科针茅属,叶片内卷,叶面积较小;碱韭为百合科葱属,鳞茎簇生,叶片呈半圆柱状;骆驼蓬为蒺藜科骆驼蓬属,叶片为3—5裂条形裂片.已有研究表明,紫花针茅SLA随降水变化不显著[20 ] ,碱韭随降水增多丰度增加[21 ] ,氮添加可以显著提高克氏针茅和碱韭的生物量[22 -24 ] .这可能表明不同优势植物的功能特性对环境变化的响应存在差异.此外,关于骆驼蓬的研究多集中在其化学成分、药理等方面[25 -26 ] ,而对其生态功能的研究极少.目前有关这3种荒漠草原优势植物叶片性状对环境变化的适应性差异的研究还十分缺乏. ...
... 植物叶片形态性状决定了植物的光合能力,能够很好地反映植物对环境变化的适应能力[29 ] .SLA反映植物消耗单位质量干物质所捕获的光面积,是研究植物功能性状的首选指标[10 ] .本研究表明,内蒙古荒漠草原区3种优势植物SLA对增减雨的响应存在着明显差异.沙生针茅SLA在增减雨处理下无显著变化,这与青藏高原紫花沙生针茅SLA与降水变化无显著关系的结果一致[20 ] ,这主要是因为沙生针茅长期适应干旱的环境,对水分变化响应不敏感.碱韭SLA在增雨时有所降低,与新疆荒漠区干旱增加骆驼刺SLA的结果相类似[30 ] ,这可能是由于碱韭采取了快速获取和利用资源的生长策略,降水增加或充足时碱韭叶子迅速密集簇生.且叶片较细长,进而导致单位干重的叶面积减小,这可能与碱韭表型可塑性有关[31 ] .新生叶片低SLA有利于防止其叶片过度失水,提高其光合能力[32 -33 ] .而骆驼蓬SLA在减雨处理下显著降低,与以往植物SLA与降水量正相关的结果相一致[13 ,34 -35 ] .在干旱胁迫下,骆驼蓬采用资源保守策略,通过降低SLA来保持水分,减弱蒸腾作用,以增强自身抗旱能力[34 ] .此外,本研究表明氮添加对3种植物SLA无重要影响,与氮添加会提高叶片的SLA的部分研究结果不太相符[30 ,34 ] ,这可能是由于缓效树脂包膜尿素养分释放速率受到了施肥量和土壤水分的限制[36 ] ,短期内不能对荒漠草原植物SLA产生显著影响.而水氮交互作用对骆驼蓬SLA具有显著影响,干旱能够降低其SLA,但氮添加与减雨交互作用下骆驼蓬SLA并未降低,这表明氮添加缓解了干旱对其叶片的胁迫. ...
放牧强度对克氏针茅草原植物功能群的影响
1
2017
... 水分和土壤可利用性氮是温带草原生态系统的主要限制因子[8 ] ,荒漠草原植被对水分和氮素变化的响应则更加敏感[15 -16 ] .目前关于乌拉特荒漠草原的研究多在水分和氮素变化对植物群落的光合速率、生物量、植被盖度和物种多样性方面[4 ,8 ,17 -19 ] ,有关植物生态适应性的研究还鲜有报道.沙生针茅群落是荒漠草原区最主要的群落类型之一,其中优势物种针茅(Stipa glareosa )、碱韭(Allium polyrhizum )和骆驼蓬(Peganum harmala )均为多年生草本,但三者属于不同科属,且叶形态差异较大.沙生针茅为禾本科针茅属,叶片内卷,叶面积较小;碱韭为百合科葱属,鳞茎簇生,叶片呈半圆柱状;骆驼蓬为蒺藜科骆驼蓬属,叶片为3—5裂条形裂片.已有研究表明,紫花针茅SLA随降水变化不显著[20 ] ,碱韭随降水增多丰度增加[21 ] ,氮添加可以显著提高克氏针茅和碱韭的生物量[22 -24 ] .这可能表明不同优势植物的功能特性对环境变化的响应存在差异.此外,关于骆驼蓬的研究多集中在其化学成分、药理等方面[25 -26 ] ,而对其生态功能的研究极少.目前有关这3种荒漠草原优势植物叶片性状对环境变化的适应性差异的研究还十分缺乏. ...
模拟氮沉降对克氏针茅和碱韭种间竞争的影响
1
2019
... 水分和土壤可利用性氮是温带草原生态系统的主要限制因子[8 ] ,荒漠草原植被对水分和氮素变化的响应则更加敏感[15 -16 ] .目前关于乌拉特荒漠草原的研究多在水分和氮素变化对植物群落的光合速率、生物量、植被盖度和物种多样性方面[4 ,8 ,17 -19 ] ,有关植物生态适应性的研究还鲜有报道.沙生针茅群落是荒漠草原区最主要的群落类型之一,其中优势物种针茅(Stipa glareosa )、碱韭(Allium polyrhizum )和骆驼蓬(Peganum harmala )均为多年生草本,但三者属于不同科属,且叶形态差异较大.沙生针茅为禾本科针茅属,叶片内卷,叶面积较小;碱韭为百合科葱属,鳞茎簇生,叶片呈半圆柱状;骆驼蓬为蒺藜科骆驼蓬属,叶片为3—5裂条形裂片.已有研究表明,紫花针茅SLA随降水变化不显著[20 ] ,碱韭随降水增多丰度增加[21 ] ,氮添加可以显著提高克氏针茅和碱韭的生物量[22 -24 ] .这可能表明不同优势植物的功能特性对环境变化的响应存在差异.此外,关于骆驼蓬的研究多集中在其化学成分、药理等方面[25 -26 ] ,而对其生态功能的研究极少.目前有关这3种荒漠草原优势植物叶片性状对环境变化的适应性差异的研究还十分缺乏. ...
不同梯度硫酸铵和尿素添加对碱韭(Allium polyrhizum )生物量分配的影响
2019
氮添加对退化草原优势植物多根葱(Allium polyrhizum )生物量的影响
1
2018
... 水分和土壤可利用性氮是温带草原生态系统的主要限制因子[8 ] ,荒漠草原植被对水分和氮素变化的响应则更加敏感[15 -16 ] .目前关于乌拉特荒漠草原的研究多在水分和氮素变化对植物群落的光合速率、生物量、植被盖度和物种多样性方面[4 ,8 ,17 -19 ] ,有关植物生态适应性的研究还鲜有报道.沙生针茅群落是荒漠草原区最主要的群落类型之一,其中优势物种针茅(Stipa glareosa )、碱韭(Allium polyrhizum )和骆驼蓬(Peganum harmala )均为多年生草本,但三者属于不同科属,且叶形态差异较大.沙生针茅为禾本科针茅属,叶片内卷,叶面积较小;碱韭为百合科葱属,鳞茎簇生,叶片呈半圆柱状;骆驼蓬为蒺藜科骆驼蓬属,叶片为3—5裂条形裂片.已有研究表明,紫花针茅SLA随降水变化不显著[20 ] ,碱韭随降水增多丰度增加[21 ] ,氮添加可以显著提高克氏针茅和碱韭的生物量[22 -24 ] .这可能表明不同优势植物的功能特性对环境变化的响应存在差异.此外,关于骆驼蓬的研究多集中在其化学成分、药理等方面[25 -26 ] ,而对其生态功能的研究极少.目前有关这3种荒漠草原优势植物叶片性状对环境变化的适应性差异的研究还十分缺乏. ...
骆驼蓬的研究进展
1
2016
... 水分和土壤可利用性氮是温带草原生态系统的主要限制因子[8 ] ,荒漠草原植被对水分和氮素变化的响应则更加敏感[15 -16 ] .目前关于乌拉特荒漠草原的研究多在水分和氮素变化对植物群落的光合速率、生物量、植被盖度和物种多样性方面[4 ,8 ,17 -19 ] ,有关植物生态适应性的研究还鲜有报道.沙生针茅群落是荒漠草原区最主要的群落类型之一,其中优势物种针茅(Stipa glareosa )、碱韭(Allium polyrhizum )和骆驼蓬(Peganum harmala )均为多年生草本,但三者属于不同科属,且叶形态差异较大.沙生针茅为禾本科针茅属,叶片内卷,叶面积较小;碱韭为百合科葱属,鳞茎簇生,叶片呈半圆柱状;骆驼蓬为蒺藜科骆驼蓬属,叶片为3—5裂条形裂片.已有研究表明,紫花针茅SLA随降水变化不显著[20 ] ,碱韭随降水增多丰度增加[21 ] ,氮添加可以显著提高克氏针茅和碱韭的生物量[22 -24 ] .这可能表明不同优势植物的功能特性对环境变化的响应存在差异.此外,关于骆驼蓬的研究多集中在其化学成分、药理等方面[25 -26 ] ,而对其生态功能的研究极少.目前有关这3种荒漠草原优势植物叶片性状对环境变化的适应性差异的研究还十分缺乏. ...
骆驼蓬的研究概况
1
1992
... 水分和土壤可利用性氮是温带草原生态系统的主要限制因子[8 ] ,荒漠草原植被对水分和氮素变化的响应则更加敏感[15 -16 ] .目前关于乌拉特荒漠草原的研究多在水分和氮素变化对植物群落的光合速率、生物量、植被盖度和物种多样性方面[4 ,8 ,17 -19 ] ,有关植物生态适应性的研究还鲜有报道.沙生针茅群落是荒漠草原区最主要的群落类型之一,其中优势物种针茅(Stipa glareosa )、碱韭(Allium polyrhizum )和骆驼蓬(Peganum harmala )均为多年生草本,但三者属于不同科属,且叶形态差异较大.沙生针茅为禾本科针茅属,叶片内卷,叶面积较小;碱韭为百合科葱属,鳞茎簇生,叶片呈半圆柱状;骆驼蓬为蒺藜科骆驼蓬属,叶片为3—5裂条形裂片.已有研究表明,紫花针茅SLA随降水变化不显著[20 ] ,碱韭随降水增多丰度增加[21 ] ,氮添加可以显著提高克氏针茅和碱韭的生物量[22 -24 ] .这可能表明不同优势植物的功能特性对环境变化的响应存在差异.此外,关于骆驼蓬的研究多集中在其化学成分、药理等方面[25 -26 ] ,而对其生态功能的研究极少.目前有关这3种荒漠草原优势植物叶片性状对环境变化的适应性差异的研究还十分缺乏. ...
降水量和短期极端干旱对典型草原植物群落及优势种羊草(Leymus chinensis )叶性状的影响
1
2018
... 增加降雨是通过监测生长季降雨量,在增雨小区内4—8月每星期累计添加50%的降雨.减少降雨采用梯形凹槽遮雨棚进行干旱处理[27 ] .并在每个小区的四周用包有塑料纸的金属隔板(1 m深)隔开以减小水分的侧向干扰.氮肥采用树脂包膜尿素(含纯氮量为44%),添加量与全球养分添加研究网络一致(http://www.nutnet.org/ )[17 ] . ...
A standardized protocol for the determination of specific leaf area and leaf dry matter content
1
2001
... 叶片SLA与LDMC的计算采用以下方法[28 ] :SLA=叶面积/叶干重;LDMC=叶干重/叶饱和鲜重. ...
内蒙古荒漠草原植物叶片功能性状关系及其经济谱分析
1
2014
... 植物叶片形态性状决定了植物的光合能力,能够很好地反映植物对环境变化的适应能力[29 ] .SLA反映植物消耗单位质量干物质所捕获的光面积,是研究植物功能性状的首选指标[10 ] .本研究表明,内蒙古荒漠草原区3种优势植物SLA对增减雨的响应存在着明显差异.沙生针茅SLA在增减雨处理下无显著变化,这与青藏高原紫花沙生针茅SLA与降水变化无显著关系的结果一致[20 ] ,这主要是因为沙生针茅长期适应干旱的环境,对水分变化响应不敏感.碱韭SLA在增雨时有所降低,与新疆荒漠区干旱增加骆驼刺SLA的结果相类似[30 ] ,这可能是由于碱韭采取了快速获取和利用资源的生长策略,降水增加或充足时碱韭叶子迅速密集簇生.且叶片较细长,进而导致单位干重的叶面积减小,这可能与碱韭表型可塑性有关[31 ] .新生叶片低SLA有利于防止其叶片过度失水,提高其光合能力[32 -33 ] .而骆驼蓬SLA在减雨处理下显著降低,与以往植物SLA与降水量正相关的结果相一致[13 ,34 -35 ] .在干旱胁迫下,骆驼蓬采用资源保守策略,通过降低SLA来保持水分,减弱蒸腾作用,以增强自身抗旱能力[34 ] .此外,本研究表明氮添加对3种植物SLA无重要影响,与氮添加会提高叶片的SLA的部分研究结果不太相符[30 ,34 ] ,这可能是由于缓效树脂包膜尿素养分释放速率受到了施肥量和土壤水分的限制[36 ] ,短期内不能对荒漠草原植物SLA产生显著影响.而水氮交互作用对骆驼蓬SLA具有显著影响,干旱能够降低其SLA,但氮添加与减雨交互作用下骆驼蓬SLA并未降低,这表明氮添加缓解了干旱对其叶片的胁迫. ...
骆驼刺幼苗生长和功能性状对不同水氮添加的响应
4
2016
... 植物叶片形态性状决定了植物的光合能力,能够很好地反映植物对环境变化的适应能力[29 ] .SLA反映植物消耗单位质量干物质所捕获的光面积,是研究植物功能性状的首选指标[10 ] .本研究表明,内蒙古荒漠草原区3种优势植物SLA对增减雨的响应存在着明显差异.沙生针茅SLA在增减雨处理下无显著变化,这与青藏高原紫花沙生针茅SLA与降水变化无显著关系的结果一致[20 ] ,这主要是因为沙生针茅长期适应干旱的环境,对水分变化响应不敏感.碱韭SLA在增雨时有所降低,与新疆荒漠区干旱增加骆驼刺SLA的结果相类似[30 ] ,这可能是由于碱韭采取了快速获取和利用资源的生长策略,降水增加或充足时碱韭叶子迅速密集簇生.且叶片较细长,进而导致单位干重的叶面积减小,这可能与碱韭表型可塑性有关[31 ] .新生叶片低SLA有利于防止其叶片过度失水,提高其光合能力[32 -33 ] .而骆驼蓬SLA在减雨处理下显著降低,与以往植物SLA与降水量正相关的结果相一致[13 ,34 -35 ] .在干旱胁迫下,骆驼蓬采用资源保守策略,通过降低SLA来保持水分,减弱蒸腾作用,以增强自身抗旱能力[34 ] .此外,本研究表明氮添加对3种植物SLA无重要影响,与氮添加会提高叶片的SLA的部分研究结果不太相符[30 ,34 ] ,这可能是由于缓效树脂包膜尿素养分释放速率受到了施肥量和土壤水分的限制[36 ] ,短期内不能对荒漠草原植物SLA产生显著影响.而水氮交互作用对骆驼蓬SLA具有显著影响,干旱能够降低其SLA,但氮添加与减雨交互作用下骆驼蓬SLA并未降低,这表明氮添加缓解了干旱对其叶片的胁迫. ...
... [30 ,34 ],这可能是由于缓效树脂包膜尿素养分释放速率受到了施肥量和土壤水分的限制[36 ] ,短期内不能对荒漠草原植物SLA产生显著影响.而水氮交互作用对骆驼蓬SLA具有显著影响,干旱能够降低其SLA,但氮添加与减雨交互作用下骆驼蓬SLA并未降低,这表明氮添加缓解了干旱对其叶片的胁迫. ...
... LDMC反映植物叶片组织密度,是预测植物获取资源和抵抗环境胁迫能力的重要指标[31 ,37 ] .本研究表明,水氮变化对荒漠草原区沙生针茅和碱韭的LDMC没有重要影响,而骆驼蓬LDMC对水氮交互作用敏感.干旱能够增加骆驼蓬的LDMC,而氮添加和干旱的交互作用又使其LDMC与对照无显著差异.这与黄彩变等[30 ] 有关植物LDMC在干旱和氮添加的交互处理下最高的结果不太一致,这种不一致可能与氮添加量、氮肥类型及不同植物对水氮处理的响应存在差异有关[12 ,17 ,30 ,38 ] .因此,氮添加是否可以减缓水分限制对植物叶形态性状的影响还有待长期观测和进一步研究. ...
... ,30 ,38 ].因此,氮添加是否可以减缓水分限制对植物叶形态性状的影响还有待长期观测和进一步研究. ...
不同沙丘生境主要植物比叶面积和叶干物质含量的比较
2
2005
... 植物叶片形态性状决定了植物的光合能力,能够很好地反映植物对环境变化的适应能力[29 ] .SLA反映植物消耗单位质量干物质所捕获的光面积,是研究植物功能性状的首选指标[10 ] .本研究表明,内蒙古荒漠草原区3种优势植物SLA对增减雨的响应存在着明显差异.沙生针茅SLA在增减雨处理下无显著变化,这与青藏高原紫花沙生针茅SLA与降水变化无显著关系的结果一致[20 ] ,这主要是因为沙生针茅长期适应干旱的环境,对水分变化响应不敏感.碱韭SLA在增雨时有所降低,与新疆荒漠区干旱增加骆驼刺SLA的结果相类似[30 ] ,这可能是由于碱韭采取了快速获取和利用资源的生长策略,降水增加或充足时碱韭叶子迅速密集簇生.且叶片较细长,进而导致单位干重的叶面积减小,这可能与碱韭表型可塑性有关[31 ] .新生叶片低SLA有利于防止其叶片过度失水,提高其光合能力[32 -33 ] .而骆驼蓬SLA在减雨处理下显著降低,与以往植物SLA与降水量正相关的结果相一致[13 ,34 -35 ] .在干旱胁迫下,骆驼蓬采用资源保守策略,通过降低SLA来保持水分,减弱蒸腾作用,以增强自身抗旱能力[34 ] .此外,本研究表明氮添加对3种植物SLA无重要影响,与氮添加会提高叶片的SLA的部分研究结果不太相符[30 ,34 ] ,这可能是由于缓效树脂包膜尿素养分释放速率受到了施肥量和土壤水分的限制[36 ] ,短期内不能对荒漠草原植物SLA产生显著影响.而水氮交互作用对骆驼蓬SLA具有显著影响,干旱能够降低其SLA,但氮添加与减雨交互作用下骆驼蓬SLA并未降低,这表明氮添加缓解了干旱对其叶片的胁迫. ...
... LDMC反映植物叶片组织密度,是预测植物获取资源和抵抗环境胁迫能力的重要指标[31 ,37 ] .本研究表明,水氮变化对荒漠草原区沙生针茅和碱韭的LDMC没有重要影响,而骆驼蓬LDMC对水氮交互作用敏感.干旱能够增加骆驼蓬的LDMC,而氮添加和干旱的交互作用又使其LDMC与对照无显著差异.这与黄彩变等[30 ] 有关植物LDMC在干旱和氮添加的交互处理下最高的结果不太一致,这种不一致可能与氮添加量、氮肥类型及不同植物对水氮处理的响应存在差异有关[12 ,17 ,30 ,38 ] .因此,氮添加是否可以减缓水分限制对植物叶形态性状的影响还有待长期观测和进一步研究. ...
植物比叶质量研究进展
1
2016
... 植物叶片形态性状决定了植物的光合能力,能够很好地反映植物对环境变化的适应能力[29 ] .SLA反映植物消耗单位质量干物质所捕获的光面积,是研究植物功能性状的首选指标[10 ] .本研究表明,内蒙古荒漠草原区3种优势植物SLA对增减雨的响应存在着明显差异.沙生针茅SLA在增减雨处理下无显著变化,这与青藏高原紫花沙生针茅SLA与降水变化无显著关系的结果一致[20 ] ,这主要是因为沙生针茅长期适应干旱的环境,对水分变化响应不敏感.碱韭SLA在增雨时有所降低,与新疆荒漠区干旱增加骆驼刺SLA的结果相类似[30 ] ,这可能是由于碱韭采取了快速获取和利用资源的生长策略,降水增加或充足时碱韭叶子迅速密集簇生.且叶片较细长,进而导致单位干重的叶面积减小,这可能与碱韭表型可塑性有关[31 ] .新生叶片低SLA有利于防止其叶片过度失水,提高其光合能力[32 -33 ] .而骆驼蓬SLA在减雨处理下显著降低,与以往植物SLA与降水量正相关的结果相一致[13 ,34 -35 ] .在干旱胁迫下,骆驼蓬采用资源保守策略,通过降低SLA来保持水分,减弱蒸腾作用,以增强自身抗旱能力[34 ] .此外,本研究表明氮添加对3种植物SLA无重要影响,与氮添加会提高叶片的SLA的部分研究结果不太相符[30 ,34 ] ,这可能是由于缓效树脂包膜尿素养分释放速率受到了施肥量和土壤水分的限制[36 ] ,短期内不能对荒漠草原植物SLA产生显著影响.而水氮交互作用对骆驼蓬SLA具有显著影响,干旱能够降低其SLA,但氮添加与减雨交互作用下骆驼蓬SLA并未降低,这表明氮添加缓解了干旱对其叶片的胁迫. ...
城市香樟叶片干物质含量及比叶面积的时空变异
1
2019
... 植物叶片形态性状决定了植物的光合能力,能够很好地反映植物对环境变化的适应能力[29 ] .SLA反映植物消耗单位质量干物质所捕获的光面积,是研究植物功能性状的首选指标[10 ] .本研究表明,内蒙古荒漠草原区3种优势植物SLA对增减雨的响应存在着明显差异.沙生针茅SLA在增减雨处理下无显著变化,这与青藏高原紫花沙生针茅SLA与降水变化无显著关系的结果一致[20 ] ,这主要是因为沙生针茅长期适应干旱的环境,对水分变化响应不敏感.碱韭SLA在增雨时有所降低,与新疆荒漠区干旱增加骆驼刺SLA的结果相类似[30 ] ,这可能是由于碱韭采取了快速获取和利用资源的生长策略,降水增加或充足时碱韭叶子迅速密集簇生.且叶片较细长,进而导致单位干重的叶面积减小,这可能与碱韭表型可塑性有关[31 ] .新生叶片低SLA有利于防止其叶片过度失水,提高其光合能力[32 -33 ] .而骆驼蓬SLA在减雨处理下显著降低,与以往植物SLA与降水量正相关的结果相一致[13 ,34 -35 ] .在干旱胁迫下,骆驼蓬采用资源保守策略,通过降低SLA来保持水分,减弱蒸腾作用,以增强自身抗旱能力[34 ] .此外,本研究表明氮添加对3种植物SLA无重要影响,与氮添加会提高叶片的SLA的部分研究结果不太相符[30 ,34 ] ,这可能是由于缓效树脂包膜尿素养分释放速率受到了施肥量和土壤水分的限制[36 ] ,短期内不能对荒漠草原植物SLA产生显著影响.而水氮交互作用对骆驼蓬SLA具有显著影响,干旱能够降低其SLA,但氮添加与减雨交互作用下骆驼蓬SLA并未降低,这表明氮添加缓解了干旱对其叶片的胁迫. ...
羊草绿叶氮、磷浓度和比叶面积沿氮、磷和水分梯度的变化
3
2009
... 植物叶片形态性状决定了植物的光合能力,能够很好地反映植物对环境变化的适应能力[29 ] .SLA反映植物消耗单位质量干物质所捕获的光面积,是研究植物功能性状的首选指标[10 ] .本研究表明,内蒙古荒漠草原区3种优势植物SLA对增减雨的响应存在着明显差异.沙生针茅SLA在增减雨处理下无显著变化,这与青藏高原紫花沙生针茅SLA与降水变化无显著关系的结果一致[20 ] ,这主要是因为沙生针茅长期适应干旱的环境,对水分变化响应不敏感.碱韭SLA在增雨时有所降低,与新疆荒漠区干旱增加骆驼刺SLA的结果相类似[30 ] ,这可能是由于碱韭采取了快速获取和利用资源的生长策略,降水增加或充足时碱韭叶子迅速密集簇生.且叶片较细长,进而导致单位干重的叶面积减小,这可能与碱韭表型可塑性有关[31 ] .新生叶片低SLA有利于防止其叶片过度失水,提高其光合能力[32 -33 ] .而骆驼蓬SLA在减雨处理下显著降低,与以往植物SLA与降水量正相关的结果相一致[13 ,34 -35 ] .在干旱胁迫下,骆驼蓬采用资源保守策略,通过降低SLA来保持水分,减弱蒸腾作用,以增强自身抗旱能力[34 ] .此外,本研究表明氮添加对3种植物SLA无重要影响,与氮添加会提高叶片的SLA的部分研究结果不太相符[30 ,34 ] ,这可能是由于缓效树脂包膜尿素养分释放速率受到了施肥量和土壤水分的限制[36 ] ,短期内不能对荒漠草原植物SLA产生显著影响.而水氮交互作用对骆驼蓬SLA具有显著影响,干旱能够降低其SLA,但氮添加与减雨交互作用下骆驼蓬SLA并未降低,这表明氮添加缓解了干旱对其叶片的胁迫. ...
... [34 ].此外,本研究表明氮添加对3种植物SLA无重要影响,与氮添加会提高叶片的SLA的部分研究结果不太相符[30 ,34 ] ,这可能是由于缓效树脂包膜尿素养分释放速率受到了施肥量和土壤水分的限制[36 ] ,短期内不能对荒漠草原植物SLA产生显著影响.而水氮交互作用对骆驼蓬SLA具有显著影响,干旱能够降低其SLA,但氮添加与减雨交互作用下骆驼蓬SLA并未降低,这表明氮添加缓解了干旱对其叶片的胁迫. ...
... ,34 ],这可能是由于缓效树脂包膜尿素养分释放速率受到了施肥量和土壤水分的限制[36 ] ,短期内不能对荒漠草原植物SLA产生显著影响.而水氮交互作用对骆驼蓬SLA具有显著影响,干旱能够降低其SLA,但氮添加与减雨交互作用下骆驼蓬SLA并未降低,这表明氮添加缓解了干旱对其叶片的胁迫. ...
Shifts in trait-combinations along rainfall and phosphorus gradients
1
2000
... 植物叶片形态性状决定了植物的光合能力,能够很好地反映植物对环境变化的适应能力[29 ] .SLA反映植物消耗单位质量干物质所捕获的光面积,是研究植物功能性状的首选指标[10 ] .本研究表明,内蒙古荒漠草原区3种优势植物SLA对增减雨的响应存在着明显差异.沙生针茅SLA在增减雨处理下无显著变化,这与青藏高原紫花沙生针茅SLA与降水变化无显著关系的结果一致[20 ] ,这主要是因为沙生针茅长期适应干旱的环境,对水分变化响应不敏感.碱韭SLA在增雨时有所降低,与新疆荒漠区干旱增加骆驼刺SLA的结果相类似[30 ] ,这可能是由于碱韭采取了快速获取和利用资源的生长策略,降水增加或充足时碱韭叶子迅速密集簇生.且叶片较细长,进而导致单位干重的叶面积减小,这可能与碱韭表型可塑性有关[31 ] .新生叶片低SLA有利于防止其叶片过度失水,提高其光合能力[32 -33 ] .而骆驼蓬SLA在减雨处理下显著降低,与以往植物SLA与降水量正相关的结果相一致[13 ,34 -35 ] .在干旱胁迫下,骆驼蓬采用资源保守策略,通过降低SLA来保持水分,减弱蒸腾作用,以增强自身抗旱能力[34 ] .此外,本研究表明氮添加对3种植物SLA无重要影响,与氮添加会提高叶片的SLA的部分研究结果不太相符[30 ,34 ] ,这可能是由于缓效树脂包膜尿素养分释放速率受到了施肥量和土壤水分的限制[36 ] ,短期内不能对荒漠草原植物SLA产生显著影响.而水氮交互作用对骆驼蓬SLA具有显著影响,干旱能够降低其SLA,但氮添加与减雨交互作用下骆驼蓬SLA并未降低,这表明氮添加缓解了干旱对其叶片的胁迫. ...
盐碱地玉米缓释型专用肥缓效氮添加比例的研究
1
2016
... 植物叶片形态性状决定了植物的光合能力,能够很好地反映植物对环境变化的适应能力[29 ] .SLA反映植物消耗单位质量干物质所捕获的光面积,是研究植物功能性状的首选指标[10 ] .本研究表明,内蒙古荒漠草原区3种优势植物SLA对增减雨的响应存在着明显差异.沙生针茅SLA在增减雨处理下无显著变化,这与青藏高原紫花沙生针茅SLA与降水变化无显著关系的结果一致[20 ] ,这主要是因为沙生针茅长期适应干旱的环境,对水分变化响应不敏感.碱韭SLA在增雨时有所降低,与新疆荒漠区干旱增加骆驼刺SLA的结果相类似[30 ] ,这可能是由于碱韭采取了快速获取和利用资源的生长策略,降水增加或充足时碱韭叶子迅速密集簇生.且叶片较细长,进而导致单位干重的叶面积减小,这可能与碱韭表型可塑性有关[31 ] .新生叶片低SLA有利于防止其叶片过度失水,提高其光合能力[32 -33 ] .而骆驼蓬SLA在减雨处理下显著降低,与以往植物SLA与降水量正相关的结果相一致[13 ,34 -35 ] .在干旱胁迫下,骆驼蓬采用资源保守策略,通过降低SLA来保持水分,减弱蒸腾作用,以增强自身抗旱能力[34 ] .此外,本研究表明氮添加对3种植物SLA无重要影响,与氮添加会提高叶片的SLA的部分研究结果不太相符[30 ,34 ] ,这可能是由于缓效树脂包膜尿素养分释放速率受到了施肥量和土壤水分的限制[36 ] ,短期内不能对荒漠草原植物SLA产生显著影响.而水氮交互作用对骆驼蓬SLA具有显著影响,干旱能够降低其SLA,但氮添加与减雨交互作用下骆驼蓬SLA并未降低,这表明氮添加缓解了干旱对其叶片的胁迫. ...
Specific leaf area and leaf dry matter content as alternative predictors of plant strategies
2
1999
... LDMC反映植物叶片组织密度,是预测植物获取资源和抵抗环境胁迫能力的重要指标[31 ,37 ] .本研究表明,水氮变化对荒漠草原区沙生针茅和碱韭的LDMC没有重要影响,而骆驼蓬LDMC对水氮交互作用敏感.干旱能够增加骆驼蓬的LDMC,而氮添加和干旱的交互作用又使其LDMC与对照无显著差异.这与黄彩变等[30 ] 有关植物LDMC在干旱和氮添加的交互处理下最高的结果不太一致,这种不一致可能与氮添加量、氮肥类型及不同植物对水氮处理的响应存在差异有关[12 ,17 ,30 ,38 ] .因此,氮添加是否可以减缓水分限制对植物叶形态性状的影响还有待长期观测和进一步研究. ...
... 有关植物的SLA与LDMC的相关关系一直存在争议,有研究表明二者存在显著的负相关关系[37 ,39 ] ,另一些研究则给出SLA与LDMC无显著的相关性[14 ] .本研究表明,植物SLA与LDMC在对照处理下无显著相关性,而在减雨、氮添加、增雨和氮添加交互下均呈现出显著负相关关系,说明荒漠草原区植物叶形态性状间的相互关系会受到水氮变化的调控.已有研究表明,越干旱的草原生态系统对干旱的响应越敏感、抵抗力越弱[40 ] .水分是乌拉特干旱荒漠草原生态系统最主要的限制因子,骆驼蓬的叶形态性状对干旱的响应较为敏感,因而贡献于干旱胁迫下植物SLA与LDMC的负相关关系.此外,氮元素的添加不仅可以提高荒漠草原植物对降水变化的敏感性[41 ] ,而且有利于叶片中蛋白质的合成以及光合速率的提高[42 ] ,从而影响植物叶片的SLA和LDMC的相互关系.外界环境(如干旱和氮添加)能够改变荒漠草原植物SLA和LDMC之间的相关关系,在一定程度上解释了当前相关研究中有关植物SLA与LDMC相关关系的争议. ...
氮素和水分添加对毛乌素沙地油蒿群落优势植物叶片性状的影响
1
2018
... LDMC反映植物叶片组织密度,是预测植物获取资源和抵抗环境胁迫能力的重要指标[31 ,37 ] .本研究表明,水氮变化对荒漠草原区沙生针茅和碱韭的LDMC没有重要影响,而骆驼蓬LDMC对水氮交互作用敏感.干旱能够增加骆驼蓬的LDMC,而氮添加和干旱的交互作用又使其LDMC与对照无显著差异.这与黄彩变等[30 ] 有关植物LDMC在干旱和氮添加的交互处理下最高的结果不太一致,这种不一致可能与氮添加量、氮肥类型及不同植物对水氮处理的响应存在差异有关[12 ,17 ,30 ,38 ] .因此,氮添加是否可以减缓水分限制对植物叶形态性状的影响还有待长期观测和进一步研究. ...
Dry matter content as a measure of dry matter concentration in plants and their parts
1
2002
... 有关植物的SLA与LDMC的相关关系一直存在争议,有研究表明二者存在显著的负相关关系[37 ,39 ] ,另一些研究则给出SLA与LDMC无显著的相关性[14 ] .本研究表明,植物SLA与LDMC在对照处理下无显著相关性,而在减雨、氮添加、增雨和氮添加交互下均呈现出显著负相关关系,说明荒漠草原区植物叶形态性状间的相互关系会受到水氮变化的调控.已有研究表明,越干旱的草原生态系统对干旱的响应越敏感、抵抗力越弱[40 ] .水分是乌拉特干旱荒漠草原生态系统最主要的限制因子,骆驼蓬的叶形态性状对干旱的响应较为敏感,因而贡献于干旱胁迫下植物SLA与LDMC的负相关关系.此外,氮元素的添加不仅可以提高荒漠草原植物对降水变化的敏感性[41 ] ,而且有利于叶片中蛋白质的合成以及光合速率的提高[42 ] ,从而影响植物叶片的SLA和LDMC的相互关系.外界环境(如干旱和氮添加)能够改变荒漠草原植物SLA和LDMC之间的相关关系,在一定程度上解释了当前相关研究中有关植物SLA与LDMC相关关系的争议. ...
Differential sensitivity to regional-scale drought in six central US grasslands
1
2015
... 有关植物的SLA与LDMC的相关关系一直存在争议,有研究表明二者存在显著的负相关关系[37 ,39 ] ,另一些研究则给出SLA与LDMC无显著的相关性[14 ] .本研究表明,植物SLA与LDMC在对照处理下无显著相关性,而在减雨、氮添加、增雨和氮添加交互下均呈现出显著负相关关系,说明荒漠草原区植物叶形态性状间的相互关系会受到水氮变化的调控.已有研究表明,越干旱的草原生态系统对干旱的响应越敏感、抵抗力越弱[40 ] .水分是乌拉特干旱荒漠草原生态系统最主要的限制因子,骆驼蓬的叶形态性状对干旱的响应较为敏感,因而贡献于干旱胁迫下植物SLA与LDMC的负相关关系.此外,氮元素的添加不仅可以提高荒漠草原植物对降水变化的敏感性[41 ] ,而且有利于叶片中蛋白质的合成以及光合速率的提高[42 ] ,从而影响植物叶片的SLA和LDMC的相互关系.外界环境(如干旱和氮添加)能够改变荒漠草原植物SLA和LDMC之间的相关关系,在一定程度上解释了当前相关研究中有关植物SLA与LDMC相关关系的争议. ...
Nitrogen deposition magnifies the sensitivity of desert steppe plant communities to large changes in precipitation
1
2019
... 有关植物的SLA与LDMC的相关关系一直存在争议,有研究表明二者存在显著的负相关关系[37 ,39 ] ,另一些研究则给出SLA与LDMC无显著的相关性[14 ] .本研究表明,植物SLA与LDMC在对照处理下无显著相关性,而在减雨、氮添加、增雨和氮添加交互下均呈现出显著负相关关系,说明荒漠草原区植物叶形态性状间的相互关系会受到水氮变化的调控.已有研究表明,越干旱的草原生态系统对干旱的响应越敏感、抵抗力越弱[40 ] .水分是乌拉特干旱荒漠草原生态系统最主要的限制因子,骆驼蓬的叶形态性状对干旱的响应较为敏感,因而贡献于干旱胁迫下植物SLA与LDMC的负相关关系.此外,氮元素的添加不仅可以提高荒漠草原植物对降水变化的敏感性[41 ] ,而且有利于叶片中蛋白质的合成以及光合速率的提高[42 ] ,从而影响植物叶片的SLA和LDMC的相互关系.外界环境(如干旱和氮添加)能够改变荒漠草原植物SLA和LDMC之间的相关关系,在一定程度上解释了当前相关研究中有关植物SLA与LDMC相关关系的争议. ...
不同功能型植物光合特性及其与叶氮含量、比叶重的关系
1
2007
... 有关植物的SLA与LDMC的相关关系一直存在争议,有研究表明二者存在显著的负相关关系[37 ,39 ] ,另一些研究则给出SLA与LDMC无显著的相关性[14 ] .本研究表明,植物SLA与LDMC在对照处理下无显著相关性,而在减雨、氮添加、增雨和氮添加交互下均呈现出显著负相关关系,说明荒漠草原区植物叶形态性状间的相互关系会受到水氮变化的调控.已有研究表明,越干旱的草原生态系统对干旱的响应越敏感、抵抗力越弱[40 ] .水分是乌拉特干旱荒漠草原生态系统最主要的限制因子,骆驼蓬的叶形态性状对干旱的响应较为敏感,因而贡献于干旱胁迫下植物SLA与LDMC的负相关关系.此外,氮元素的添加不仅可以提高荒漠草原植物对降水变化的敏感性[41 ] ,而且有利于叶片中蛋白质的合成以及光合速率的提高[42 ] ,从而影响植物叶片的SLA和LDMC的相互关系.外界环境(如干旱和氮添加)能够改变荒漠草原植物SLA和LDMC之间的相关关系,在一定程度上解释了当前相关研究中有关植物SLA与LDMC相关关系的争议. ...