黑河中游荒漠-绿洲过渡带典型固沙植物周围风沙运动模拟
何娜娜 , 1 , 胡广录 , 1 , 2 , 陈坤 1 , 靳涛阳 1 , 田凯夫 1
1.兰州交通大学,环境与市政工程学院,甘肃 兰州 730070
2.兰州交通大学,甘肃省黄河水环境重点实验室,甘肃 兰州 730070
Numerical simulation of wind -sand movement around typical sand -fixing plants in the middle reaches of the Heihe River desert -oasis transition zone
He Nana , 1 , Hu Guanglu , 1 , 2 , Chen Kun 1 , Jin Taoyang 1 , Tian Kaifu 1
1.School of Environmental and Municipal Engineering /, Lanzhou Jiaotong University,Lanzhou 730070,China
2.Key Laboratory of Yellow River Water Environment in Gansu Province, Lanzhou Jiaotong University,Lanzhou 730070,China
通讯作者: 胡广录(E-mail: hgl0814@163.com )
收稿日期: 2025-01-06
修回日期: 2025-03-27
基金资助:
国家自然科学基金项目 . 41561102 国家自然科学基金项目 . 41867074 甘肃省水利厅水资源费预算项目 . 甘水建管发〔2019〕255号
Received: 2025-01-06
Revised: 2025-03-27
作者简介 About authors
何娜娜(1996—),女,甘肃陇南人,硕士研究生,研究方向为资源与环境E-mail:635808543@qq.com
, E-mail:635808543@qq.com
摘要
黑河中游荒漠-绿洲过渡带典型固沙植物梭梭(Haloxylon ammodendron )、沙拐枣(Calligonum mongolicum )、泡泡刺(Nitraria sphaerocarpa )能够有效降低风沙活动强度,减轻荒漠化对绿洲的威胁,在维持绿洲生态系统安全稳定中发挥着重要作用。本文利用Fluent软件对梭梭、沙拐枣和泡泡刺周围的风速特征和积沙特征进行数值模拟,并采用野外试验观测数据加以验证。结果表明:(1)单株植物周围的流场可分为遇阻减速区、加速区、静风区和恢复区,并在植物背风面近地表层存在2个涡流区,其中涡流Ⅰ区是主要的积沙区。(2)梭梭、沙拐枣、泡泡刺在背风面1H距离处的最优防护高度分别为1.2~1.5、1.2~1.4、0.1~1.0 m。(3)3种植物在不同高度层的防风效应存在差异,近地表层的防风效果泡泡刺>沙拐枣>梭梭,而在中高空层为梭梭>沙拐枣>泡泡刺。(4)3种植物的阻沙能力表现为泡泡刺>梭梭>沙拐枣。综合3种植物防风固沙效应表现,在风蚀防治的实际应用中,可采用梭梭、沙拐枣与泡泡刺混交的配置方式,以发挥泡泡刺的固沙作用,同时利用梭梭和沙拐枣在中高空层的防风优势。
关键词:
荒漠-绿洲过渡带
;
荒漠植物
;
防风固沙效应
;
数值模拟
;
涡流
Abstract
The typical sand-fixing plants in the desert-oasis transition zone in the middle reaches of the Heihe River, such as Haloxylon ammodendron , Calligonum mongolicum , and Nitraria sphaerocarpa , are able to effectively reduce the intensity of wind-sand activities and mitigate the threat of desertification to the oasis, and play an important role in the maintenance of the security and stabilization of the ecological system of the oasis. They play an important role in maintaining the security and stability of oasis ecosystems. In this paper, we use Fluent software to numerically simulate the wind speed characteristics and sand accumulation characteristics around H. ammodendron , C. mongolicum , and N. sphaerocarpa , and validate them by using field test observation data. The results show that: (1)The flow field around a single plant can be categorized into a blocked deceleration zone, an acceleration zone, a static wind zone, and a recovery zone, and there are two vortex zones near the ground on the leeward side of the plant, with vortex Ⅰ being the main sand accumulation zone. (2) The optimal protection heights of H. ammodendron , C. mongolicum , and N. sphaerocarpa at 1H on the leeward side are 1.2-1.5 m, 1.2-1.4 m and 0.1-1.0 m, respectively. (3)There are differences in the wind protection effect of the three plants in different altitude layers, with the wind protection effect in the near-surface layer in the order of N. sphaerocarpa >C. mongolicum >H. ammodendron ; and in the middle and high altitude layers, it is H. ammodendron >C. mongolicum >N. sphaerocarpa . (4)The sand-blocking ability of the three plant species is shown as N. sphaerocarpa > H. ammodendron > C. mongolicum . Comprehensive three kinds of plants windproof sand effect performance, in the practical application of wind erosion control, it is recommended to use shuttle, sand date and bubble thorn mixed configuration, in order to play bubble thorn sand fixation, while using shuttle and sand date in the middle and high altitude layer of the windproof advantages.
Keywords:
desert-oasis transition zone
;
desert plants
;
wind and sand breakup effect
;
numerical simulation
;
vortex
本文引用格式
何娜娜, 胡广录, 陈坤, 靳涛阳, 田凯夫. 黑河中游荒漠-绿洲过渡带典型固沙植物周围风沙运动模拟 . 中国沙漠 [J], 2025, 45(6): 300-311 doi:10.7522/j.issn.1000-694X.2025.00071
He Nana, Hu Guanglu, Chen Kun, Jin Taoyang, Tian Kaifu. Numerical simulation of wind -sand movement around typical sand -fixing plants in the middle reaches of the Heihe River desert -oasis transition zone . Journal of Desert Research [J], 2025, 45(6): 300-311 doi:10.7522/j.issn.1000-694X.2025.00071
0 引言
风沙活动是近地面风场与地表物质之间相互作用的结果,为风沙地貌的塑造提供了动力源和物质基础,同时,风沙活动加重了土壤风蚀程度,极易引起土地荒漠化[1 -2 ] 。植被的存在,干扰了大气与地表的相互作用,对减弱风沙活动具有重要作用[3 ] 。中国西北干旱地区存在大量的荒漠-绿洲过渡带区域,荒漠-绿洲过渡带受绿洲生态系统和荒漠生态系统的双重影响,生态环境脆弱且敏感[4 ] 。该区域植物以灌木、半灌木为主,整体表现为植物种类少、群落结构简单、盖度不高,但这些植物具有良好的防风阻沙作用,在保护绿洲稳定中起着重要作用[5 -7 ] 。梭梭(Haloxylon ammodendron )、沙拐枣(Calligonum mongolicum )、泡泡刺(Nitraria sphaerocarpa )作为典型的荒漠物种,具有防风固沙、维持生物多样性和减少水土流失等生态功能[8 -11 ] 。因此,探究梭梭、沙拐枣、泡泡刺等不同单株植物的防风固沙效应对维持荒漠-绿洲过渡带生态稳定性具有重要意义。
目前,关于植物防风固沙效应研究主要有野外试验、风洞实验和数值模拟。胡广录等[12 ] 采用野外试验,探究了黑河中游荒漠绿洲过渡带典型灌丛植物防风固沙效应,结果表明梭梭与其他灌丛植物相比防风效果更加显著。张奕等[13 ] 通过风洞试验探究了乌兰布和沙区典型灌木防风阻沙效益,结果表明,白刺因其低矮的形态和较小的疏透度,比其他植物具有更显著的防风固沙效果。数值模拟比风洞实验具有成本低廉和设计灵活的优势,同时还可以大大减少实验工作量。与野外试验相比,数值模拟可以获取其无法获得的连续性数据。刘洋等[14 ] 利用计算平台Fluent对琵琶柴植株附近的流场进行了数值模拟,探讨了生长季和非生长季琵琶柴周围的风速特征和积沙特征;闫晴等[15 ] 对3类典型株型(坛形、梭形、帚形)灌丛周围的流场进行数值模拟,分析了不同植株形态对风沙流的影响;刘金苗等[16 ] 对30 cm高度干枯骆驼刺附近的流场进行数值模拟,分析了其风速特征和积沙特征。以上研究增强了人们对于Fluent数值模拟在植物防风固沙领域的应用,但在现有固沙植物风沙流场数值模拟中,更侧重于干旱、半干旱地区形态低矮灌丛植被周围的风沙流场变化,对于形态较为高大的荒漠植物周围风速变化特征和积沙特征的研究较少,特别是针对黑河中游荒漠-绿洲过渡带典型固沙植物的有关研究甚少。
本文基于数值模拟,以黑河中游荒漠-绿洲过渡带典型固沙植物梭梭、沙拐枣、泡泡刺为研究对象,通过分析不同单株植物周围风速流场变化和积沙特征,对比得出最优防风固沙植物种类,并通过野外试验进行验证,研究结果对防风固沙工程设计中单株植物的选择具有指导意义。
1 研究区概况与研究方法
1.1 研究区概况
研究区地处黑河中游的甘肃省张掖市临泽县北部的荒漠-绿洲过渡带(39°21′53″—39°22′01″N、100°09′12″—100°09′14″E,海拔1 200~1 500 m),属于典型的温带大陆性荒漠气候。主导风向为西北风,风沙活动较为频繁,年均风速2.5~3.5 m·s-1 ,最大风速20 m·s-1 。研究区植物群落结构单一,呈斑块状分布,主要由旱生或超旱生灌木和半灌木群落组成,研究区代表性固沙植物有梭梭、沙拐枣、泡泡刺、沙蓬(Agriophyllum squarrosum )等。本文在研究区域内设置200 m×200 m的样地,选取样地内的固沙植物梭梭、沙拐枣、泡泡刺作为研究对象,野外调查获得3种灌木的基本形态参数(表1 ),计算平均值作为模型建立的参考依据。调查于2024年5月风沙活动频繁期进行。
1.2 数值建模方法
1.2.1 几何建模和网格划分
风沙运动是复杂的三维过程,沙粒在风力作用下受到曳力、重力和升力等多种力的共同影响。然而三维模型既复杂又计算量庞大,对于计算机性能要求较高,尤其在大尺度模拟中更为显著。因此,本文对模型进行简化,忽略风沙流参数在侧向的变化,选取一个垂直于地面且平行于风速方向的截面作为求解区域。通过这种简化,计算量得以有效降低,同时仍能捕捉到风沙流的主要动力学特征。基于前人对植物沙障的建模研究[17 ] ,本文采用实体开孔模式,通过Space Claim建立二维模型,并通过多次模拟和运行,确定计算区域长度为45 m,高度为10 m,初始沙床厚度为0.1 m;植物放在入口5H(H为植物高度,下同)处,流场模型简图如图1 所示。
图1
图1
流域模型简化图
Fig.1
Simplified diagram of watershed model
网格划分使用ICEM CFD,方法选择结构化网格,由于沙粒主要在地表范围内运动,故对植物近地面的网格进行加密处理。计算域网格数量为1×105 个,平均正交质量为0.995,网格质量良好,满足计算要求。
1.2.2 参数设置
本文数值模拟求解模型采用欧拉双流体模型,附加湍流模型。图1 中,计算区域左侧进口边界条件为速度入口(velocity-Inlet),计算公式详见公式(1);右侧出口边界条件设置为自由出口(outflow);上壁面边界为对称(symmetry),在保证计算精度的情况下可减少工作量;植物模型和下壁面为固体无滑移壁面(wall),粗糙度常数为0.5,粗糙高度取值0.001 m,碰撞恢复系数取值0.92。
根据前人实验得知,研究区沙粒粒径为0.075~0.25 mm,在数值模拟过程中采用单一粒径沙粒,取平均值0.1 mm[18 ] ,初始沙粒体积分数为0.02,沙床初始堆积率取值0.625。沙粒密度为2 650 kg·m-3 ,空气密度为1.225 kg·m-3 ,空气动力黏度为1.7894×10-5 Pa·s,压力为标准大气压,考虑重力影响,设置沙粒重力加速度为-9.81 m·s-2[19 ] 。
v ( y ) = v 0 k l n y y 0 (1)
式中:v 0 为摩阻速度,m·s-1 ;y 0 为粗糙长度,单位为m,取值为沙粒粒径的1/30[20 ] ;k 为冯卡门系数,取值0.4;y 为高度,单位为m;v(y) 为y 处的风速值,单位为m·s-1 。
求解算法采用Phase Coupled Simple,空间离散格式采用二阶迎风格式,时间步长取0.001 s,采用Syamlal-Obrien计算气固相之间相互的阻力。
1.2.3 控制方程
风沙流之间的热量交换可忽略不计,故不涉及能量方程。本文在模拟风沙运动过程中涉及的控制方程主要有湍动能k 方程和耗散能ε 方程。
ρ d k d t = ∂ ∂ x i μ + μ t σ k ∂ k ∂ x j + G k - ρ ε (2)
ρ d ε d t = ∂ ∂ x i μ + μ t σ ε ∂ ε ∂ x j + C 1 ε ε k G k + C 3 ε - C 2 ε ρ ε 2 k (3)
式中:Gk 为平均速度梯度产生的湍动能;μt 为湍流黏度,μ t = ρ C μ k 2 ε ;t 为时间;xi 、xj 分别表示x 、y 方向的微元体分量;C 1 ε =1.44;C 2 ε =1.92;C 3 ε =0.09;σk =1.0;σε =1.3。
1.2.4 分析方法
E k x z = V k z - V k x z V k z × 100 % (4)
式中:Ekxz 为k 风速下距离植物水平距离x 处、垂直高度z 处降低风速的百分比;Vkz 为k 风速下垂直高度z 处的旷野风速;Vkxz 为k 风速下距离植物水平距离x 处、垂直高度z 处的平均风速。
1.3 野外试验设计
为验证数值模拟结果的准确性,本研究在黑河中游荒漠-绿洲过渡带的斑块状植被区进行野外实验,观测时间为2024年多风季节的4—6月,选取研究区代表性固沙植物梭梭、沙拐枣和泡泡刺作为研究对象,观测植物周围5 m内无其他植物或障碍物,每种植物设置3组重复。
野外风速测定采用RA620分体自计式风速风向仪,分别在植物迎风侧2H、1H处,背风侧1H、2H、3H处以及植物侧面1H、2H处设置观测点,每个观测点上设置3个观测高度,分别为0.5、1.0、1.5 m。数据记录间隔时间为5 s,然后根据测定结果计算取其平均值。
野外输沙率测定采用HY. JSY-B组合阶梯式集沙仪(图2 ),集沙仪共分10层,层高2 cm,观测时将底部集沙孔与地面平齐,每个植物设置9个观测点,同风速观测点一致。当风速超过起沙风速时(经测量确定研究区最小临界起沙风速为4.9 m·s-1 [21 ] ),打开集沙孔测定积沙量,观测时间为30 min,收集结束后,分层对集沙量进行称重,然后计算输沙率。
Q = W S × t (5)
式中:Q 为某一时段内断面输沙率(g·cm-1 ·min-1 );W 为某一时段内经过断面的绝对沙量(g);S 为流经过断面的面积(cm2 );t 为观测的时间(min)。
图2
图2
野外试验现场照片
Fig.2
Photographs of the field test site
2 结果与分析
2.1 流场模型合理性验证
2.1.1 风速模拟验证
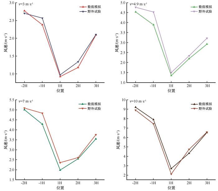
为验证本文风速模拟的合理性,将模拟结果与野外风速观测数据进行对比。以3、4.9、7、10 m·s-1 为入口风速,分析梭梭在0.5 m高度处不同位置的风速变化(图3 )。在0.5 m高度处,风速均在迎风面2H处达到最大值,随后在迎风面1H处逐渐降低,到达背风面1H处为最小值,之后风速在背风面2H和3H处逐步恢复。野外风速观测与数值模拟结果的变化趋势基本一致,两者的最大相对误差为14.14%,最小相对误差为0.49%。通过对野外试验值与模拟值进行线性回归分析,R 2 均大于0.9,表明数值模拟所采用的模型参数及设计具有较高的可靠性,进一步验证了本文模拟结果的合理性。
图3
图3
梭梭0.5 m高度处风速对比曲线
Fig.3
Comparison curve of wind speed at 0.5 m height of Shuttle
2.1.2 风沙两相流验证
相关研究表明,风沙运动中沙粒体积分数与输沙率的分布趋势高度一致[22 ] 。本文以野外试验中测得的梭梭背风面1H处的输沙率为对照,通过数值模拟获取梭梭背风侧1H处沙粒体积分数随高度变化的规律,并进行对比验证(图4 、图5 )。梭梭背风面1H处的输沙率与沙粒体积分数随高度变化的趋势基本相同,均表现出随着高度的增加逐渐减小的趋势,此规律符合沙粒运移特征和风沙流结构特点。验证结果呈现出较好的一致性,因此认为数值模拟中风沙两相流的设置较为合理可靠。
图4
图4
输沙率随高度的变化规律(野外试验)
Fig.4
Patterns of change in sand transport rates with altitude (field experiment)
图5
图5
沙粒体积分数随高度的变化规律(数值模拟)
Fig.5
Patterns of change in sand volume fraction with height (numerical simulation)
2.2 单株植物的防风效果
2.2.1 单株植物周围风速流场
为研究梭梭、沙拐枣、泡泡刺周围风速流场的变化,本文选择风速为7 m·s-1 、高度为2 m的风速廓线进行模拟(图6 )。图中颜色深浅对应风速大小,红色风速最大,蓝色最小,由于模拟采用二维模型,故不考虑植物两侧的风沙流场变化。植物显著改变了周围流场,形成了4个风速区:遇阻减速区、加速区、静风区和恢复区。风沙流在迎风面2H处受到植物的阻滞作用,气流速度逐渐减小,形成遇阻减速区。到达植物处后,风沙流从植物上方绕流通过,风速增强,形成加速区。越过植物后,在涡流作用下风速急剧降低,在植物背风面形成静风区,气流在此区域内处于低速状态,是植物主要的防护区域。随着背风面防护距离的增加,风速逐渐恢复,植物的防护作用逐渐减弱。
图6
图6
植物周围风速流场云图
Fig.6
Wind speed distribution field around the plants
图7 展示了3种植物周围的风速矢量,从图中可以明显看出背风面存在2个涡流区。风沙流在植物的作用下受到阻挡、挤压及转向,越过植物后,风沙流过流断面突然增大,气流产生不同方向的运动,导致在背风面靠近壁面处的部分涡旋结构出现破碎,向下运动的气流在距离植物不远处被抬升又返回植物方向,形成涡流Ⅰ,该区域是积沙的主要区域。当沙粒随气流搬运至植物前并发生碰撞后,会造成动能损失,一部分沙粒会撞击迎风面沉积,另一部分沙粒翻越植物后在涡流的作用下回流而反方向运动,再次翻滚到植物的背风面;而继续向前运动的气流形成了涡流Ⅱ,导致尾流区的近地面再次出现低速区,沙粒在该处悬移或跃移向前,并通过重力作用沉降。
图7
图7
植物周围风速流场矢量图
Fig.7
Vector map of the wind speed flow field around the plants
2.2.2 单株植物周围水平风速分布特征
为进一步探究梭梭、沙拐枣、泡泡刺在水平方向的速度分布,在7 m·s-1 风速条件下,提取3种植物在0.2、0.5、1.0、1.5、2.0 m高度处的沿程水平风速,并绘制分布曲线(图8 )。其中,植物所在位置处的风速为0。结果显示,气流在5个高度处受到了不同程度的扰动。根据不同高度层水平风速的变化趋势,将其分为近地表区(0.2、0.5 m)、中高空区(1.0、1.5 m)和高空区(2.0 m)。在近地表区,梭梭和沙拐枣的防风效果较弱,泡泡刺防风效果最佳,防护距离为1H~13H;同时,受涡流影响,3种植物均在背风面一段距离后风速再次降低,其中梭梭在背风面9H~12H处,沙拐枣在背风面9H~13H处,而泡泡刺在背风面13H~14H处。在中高空区,梭梭防风效果最为显著,背风面防护区域为1H~11H;其次为沙拐枣,防护区域为1H~11H;泡泡刺较差,防护区域为1H~8H;值得注意的是,在1.5 m高度处,泡泡刺的防护高度已超过植物高度,导致其防风能力逐渐减弱。在高空区,防风能力依然是梭梭>沙拐枣>泡泡刺,但沙拐枣和泡泡刺的背风面风速降幅逐渐减小,原因为防护高度大于植物高度。综上所述,泡泡刺在近地表区防风效果最优,梭梭和沙拐枣则在中高空区具有更显著的防风能力。
图8
图8
不同高度上的沿程水平风速
Fig.8
Horizontal wind speed along the course at different heights
2.2.3 单株植物周围垂向风速分布特征
图9 展示了梭梭、沙拐枣和泡泡刺迎风面1H以及背风面1H、2H、3H处的垂向风速分布,从图中可以看出,迎风面1H处的风速基本随高度呈对数增长,气流在植物迎风面受影响相对较小,变化幅度也相应的较小。在植物背风面处,3种植物的垂向风速整体变化随高度增加先减小后增大,其中在背风面1H处风速变化波动最大。梭梭在0.1~1.0 m高度,背风面风速随高度增加逐渐减小,由4.50 m·s-1 降低为0.76 m·s-1 ,并在1.2~1.5 m高度降至最低,平均风速在0.1 m·s-1 以下,之后随高度增加风速缓慢增长并在3.0 m高度处增至最大后趋于平缓。沙拐枣在0.4~1.0 m高度内,背风面风速逐渐降低,由3.58 m·s-1 降低为0.77 m·s-1 ,并在1.2~1.4 m高度降至0.2 m·s-1 以下,然后随高度增加,风速缓慢增长并在2.5 m高度处增至最大后趋于平缓。泡泡刺在0.1~1.0 m高度风速变化缓慢,平均风速低于1.0 m·s-1 ,之后随高度增高风速逐渐增大并在2.3 m高度处增至最大后趋于平缓。综上所述,本研究区固沙植物梭梭、沙拐枣、泡泡刺垂向最优防护高度分别为1.2~1.5、1.2~1.4、0.1~1.0 m。
图9
图9
背风面不同距离的垂向风速
Fig.9
Vertical wind speeds at different distances on the leeward side
2.2.4 单株植物防风效率
为探究梭梭、沙拐枣、泡泡刺在水平方向的防护效果,以7 m·s-1 为入口风速,提取0.2、0.5、1.0、1.5、2.0 m高度处风速值,通过公式(4)计算不同单株植物的风速降幅。
计算结果表明,3种植物在5个高度处的防风效率呈现出不同的规律(图10 )。在近地表区,植物防风效率表现为泡泡刺>沙拐枣>梭梭,泡泡刺在背风面1H内可减低风速96.46%;沙拐枣和梭梭分别为67.92%、65.51%。在中高空区,植物防风能力表现为梭梭>沙拐枣>泡泡刺,梭梭在背风面1H内风速降幅可达97.64%;其次为沙拐枣,风速降幅为96.90%;泡泡刺风速降幅仅为88.60%。在高空区,植物防风效果依然为梭梭>沙拐枣>泡泡刺,梭梭在背风面1H内防风效率为65.55%;沙拐枣和泡泡刺分别为9.5%、11.81%。
图10
图10
不同单株植物防风效率
Fig.10
Efficiency of wind protection for different monocultures
进一步分析图10 可见,除沙拐枣在2.0 m高度层、泡泡刺在1.5、2.0 m高度层防风效率出现负值外,3种植物均在低于其高度的区域产生了有效防护,但最优防护区域存在明显差异。梭梭的最优防护区域出现在1.5 m高度层、背风面7H范围内,此区域植物防风效率均大于80%;沙拐枣最优防护区域出现在1.5 m高度层、背风面5H范围内;而泡泡刺则出现在0.5 m高度层、背风面7H范围内。
2.3 单株植物周围沙粒运动特征
为了探究梭梭、沙拐枣、泡泡刺等3种不同类型植物的阻沙作用,选取入口速度为7 m·s-1 ,模拟得到积沙云图,不同的体积分数通过颜色区分,红色为最大值代表沙粒在该处已基本沉积,蓝色为最小值,其他颜色代表沙粒以不同的形式(蠕移、跃移和悬移)进行运动(图11 )。梭梭在迎风面未发生积沙现象,沙粒在植物根部以及背风面0~4H沉积,并在背风面1H~3H最显著,沙粒体积分数为0.394~0.516。沙拐枣在迎风面同样积沙现象不明显,在背风面靠近植物处基本无沙粒沉积,经过一段距离后在背风面1H~5H积沙,并在背风面3H~4H沙粒体积分数最大,为0.406~0.625。沙粒在泡泡刺植物处的沉积主要在迎风面1H内、植物根部以及背风面1H内,其中在植物根部及背风面积沙最显著,沙粒体积分数为0.381~0.624。
图11
图11
不同单株植物周围积沙云图
Fig.11
Cloud map of sand accumulation around different monocultures
分析图11 还可以看出,3种植物的沙粒沉积呈现出不同的趋势。积沙距离沙拐枣>梭梭>泡泡刺,积沙长度越大,植物对沙粒的拦蓄能力越弱,因此可以得出泡泡刺阻沙能力最强,其次为梭梭,沙拐枣阻沙能力相对较差。这是因为泡泡刺灌丛低矮,几乎紧贴地面生长,当风沙流运移通过时,可以很好地将沙粒进行拦蓄。而沙拐枣枝干上宽下窄,风沙活动主要在地表,因此对沙粒的阻滞作用较弱。
3 讨论
3.1 植物防风作用
在荒漠-绿洲过渡带区域的风沙防治过程中,增加植被覆盖是最广泛、最长久、最环保的措施[23 ] 。对单株植物的研究表明,植物形态的差异,特别是枝条的密度变化,会导致不同高度处的风速减弱程度有所不同[24 -25 ] ;透风系数大,防风作用会减少;枝下高度大,底层防风效果不显著。
本文通过Fluent对梭梭、沙拐枣和泡泡刺进行数值模拟,发现植物显著改变了风沙流场,形成了4个风速区,并在植物背风面形成2个涡流区,其中涡流Ⅰ区是主要的积沙区域。涡流强度影响沙粒沉积,泡泡刺因其近地面枝叶繁茂、迎风面透风系数较小,导致涡流Ⅰ强度较弱,沙粒主要沉积在根部和背风面1H处。而梭梭和沙拐枣的枝干底部枝叶稀疏,气流经过植物孔隙时受到挤压而加速,形成较强的涡流Ⅰ,导致沙粒沉积在背风面0~4H和1H~5H区域。
3种植物在不同高度的沿程水平风速分布呈“W”型。近地表区,梭梭和沙拐枣由于较大的枝下高度,风沙流穿过时产生“狭管效应”,防风效果较弱。而泡泡刺因植被低矮、紧贴地面,防风能力显著,这与张奕等[13 ] 在研究乌兰布和周边4种典型植被的防风阻沙效果中得出的结论一致。在高空区,沙拐枣和泡泡刺的防护高度大于植物高度,导致背风面风速降幅减弱,表明植物主要在其高度范围内起到防护作用。研究表明,植物的防风效应受构型和迎风面疏透度的影响[26 ] 。梭梭整体构型中部密集、顶端和下部稀疏,防风效果在中高空层最优,最优防风高度为1.2~1.5 m;沙拐枣顶部茂密、底部稀疏,防风效果最好在1.2~1.4 m;泡泡刺低矮、底部枝叶繁茂,主要影响近地表风速,最优防风高度为0.1~1.0 m。
3.2 植物阻沙效果
植物通过3种途径影响沙粒地表跃移[27 ] :①通过碰撞阻拦使得沙粒沉积。廖承贤[28 ] 通过建立流体-颗粒碰撞耦合模型,分析了在不同砾石覆盖度下,尘暴风沙两相流的运动特征及沙尘释放过程。②通过植被覆盖地表,保护地表不受风吹蚀。Pang等[29 ] 通过野外观测黑沙蒿在覆盖率为2%、16%、29%和69%的4个样地的防风固沙效果,发现黑沙蒿的覆盖率越高,防风固沙效果越明显,当沙地的黑沙蒿的覆盖率大于29%,风蚀将得到有效控制。③通过改变气流流场,减弱地表风动量,从而降低地表风沙流携沙量。植物的冠幅、高度和构型会对防风阻沙效果起到显著影响[30 ] 。
在风力作用下,沙粒以不同的角度入射进入流场,随风运动至植物处后,部分沙粒与植物发生碰撞后沉积在其周围;另一部分沙粒在碰撞后反弹,继续沿风向前移动;还有一部分沙粒通过植物间隙穿过,并在重力作用下,在植物背风面逐渐积聚沉积。本文研究发现,梭梭的沙粒主要沉积在植物根部及背风面0~4H,沙拐枣则在背风面1H~5H积沙,泡泡刺的沙粒沉积在迎风面1H内、植物根部及背风面1H内。3种植物的阻沙能力依次为泡泡刺>梭梭>沙拐枣。风沙活动主要在近地表0~0.5 m,泡泡刺因其贴地生长且底部枝叶密集,对沙粒有显著阻挡作用,导致风沙流通过植物时沙粒减少,与其容易形成灌丛沙堆的特点一致[31 -32 ] 。
总而言之,黑河中游荒漠-绿洲过渡带的3种典型固沙植物在防风效能上存在明显差异。梭梭植株高大,枝条多集中在中部,能有效降低中高层风速;泡泡刺低矮,底部枝叶茂密,能有效减少近地表风速,但其生长受水分条件限制[33 ] 。在土壤风蚀防治中,除了研究单一植物的防护效益外,还应关注灌木林带的群体防护效应。合理配置灌丛能够在水分匮乏的情况下增强防风固沙效果。本研究发现梭梭的防风能力最强,泡泡刺的阻沙能力最佳。在实际风蚀防治中,可采用梭梭、沙拐枣和泡泡刺混交的配置方式,具体组合效果仍需进一步研究。
4 结论
本文以梭梭、沙拐枣、泡泡刺为研究对象,利用Fluent进行数值模拟,计算风沙流经过植物后的风速流场特征和积沙分布特征,并通过野外试验验证了Fluent模拟风沙流场的合理性。
单株植物周围流场可以划分为遇阻减速区、加速区、静风区和恢复区,并在植物背风面近地表层存在2个涡流区,涡流Ⅰ是植物的主要积沙区域。
3种植物在不同高度处沿程水平风速分布曲线总体呈“W”型,泡泡刺在近地表区防风效果最优,梭梭和沙拐枣在中高空区防风能力最为显著。梭梭、沙拐枣、泡泡刺在背风面1H处的最优防护高度分别为1.2~1.5、1.2~1.4、0.1~1.0 m。
梭梭、沙拐枣和泡泡刺在-2H~10H均可有效降低风速,但区域防风效果显著不同,近地表层防风效应表现为泡泡刺>沙拐枣>梭梭;中高空层则表现为梭梭>沙拐枣>泡泡刺。3种植物最优防护范围也存在显著差异,梭梭最优防护区域在1.5 m高度层、背风面7H范围内;沙拐枣最优防护区域在1.5 m高度层、背风面5H范围内;而泡泡刺最优防护区域在0.5 m高度层、背风面7H范围内。
梭梭主要在植物根部以及背风面0~4H沙粒沉积,沙拐枣在背风面1H~5H积沙,泡泡刺在迎风面1H内、植物根部以及背风面1H内沙粒发生沉积。3种植物的阻沙能力呈现泡泡刺>梭梭>沙拐枣。在风蚀防治工程中,可采用梭梭、沙拐枣和泡泡刺混交的配置方式,既利用泡泡刺近地表的阻沙作用,又能发挥梭梭和沙拐枣在中高空区的防风优势。
参考文献
View Option
[1]
张克存 ,屈建军 ,俎瑞平 ,等 .腾格里沙漠东南缘风沙活动动力条件分析:以沙坡头地区为例
[J].干旱区地理 ,2008 (5 ):643 -649 .
[本文引用: 1]
[2]
张奕 .乌兰布和沙区典型灌木的防风阻沙效益
[D].北京 :北京林业大学 ,2021 .
[本文引用: 1]
[3]
王翔宇 .不同配置格局沙蒿灌丛防风阻沙效果研究
[D].北京 :北京林业大学 ,2010 .
[本文引用: 1]
[4]
张进虎 ,唐进年 ,李得禄 ,等 .民勤荒漠绿洲过渡带灌丛沙堆形态特征及分布格局
[J].中国沙漠 ,2015 ,35 (5 ):1141 -1149 .
[本文引用: 1]
[5]
王国华 ,任亦君 ,缑倩倩 .河西走廊荒漠绿洲过渡带封育对土壤和植被的影响
[J].中国沙漠 ,2020 ,40 (2 ):222 -231 .
[本文引用: 1]
[6]
胡广录 ,王德金 ,廖亚鑫 ,等 .荒漠-绿洲过渡带斑块植被区起沙风对风蚀积沙量的影响
[J].中国沙漠 ,2016 ,36 (4 ):902 -910 .
[7]
Li Y Q , Chen Y P , Wang X Y ,et al .Improvements in soil carbon and nitrogen capacities after shrub planting to stabilize sand dunes in China's Horqin Sandy Land
[J].Sustainability ,2017 ,9 (4 ):662 .
[本文引用: 1]
[8]
赵鹏 ,徐先英 ,张裕年 ,等 .民勤绿洲荒漠过渡带人工梭梭种群年龄结构及动态
[J].生态学报 ,2023 ,43 (14 ):6069 -6079 .
[本文引用: 1]
[9]
张斌 ,李从娟 ,易光平 ,等 .梭梭和头状沙拐枣形态及生理生化特性对干旱胁迫的响应
[J].干旱区研究 ,2024 ,41 (7 ):1177 -1184 .
[10]
何浩 ,李瑞 ,王红永 ,等 .河西走廊荒漠绿洲过渡带沙丘不同固定阶段泡泡刺叶性状特征研究
[J].生态学报 ,2025 ,45 (3 ):1417 -1428 .
[11]
侯东杰 ,李楠 ,曲孝云 ,等 .青藏高原北部干旱区梭梭群落特征空间分布格局及其驱动因子
[J].生态学报 ,2024 (24 ):1 -10 .
[本文引用: 1]
[12]
胡广录 ,陈海志 ,麻进 ,等 .黑河中游荒漠绿洲过渡带典型灌丛植物防风固沙效应
[J].中国沙漠 ,2023 ,43 (5 ):31 -40 .
[本文引用: 1]
[13]
张奕 ,肖辉杰 ,辛智鸣 ,等 .乌兰布和沙区典型灌木防风阻沙效益
[J].中国水土保持科学(中英文) ,2021 ,19 (1 ):87 -96 .
[本文引用: 2]
[14]
刘洋 ,尹忠东 ,闫晴 ,等 .琵琶柴的防风固沙作用数值模拟
[J].干旱区研究 ,2024 ,41 (11 ):1887 -1897 .
[本文引用: 1]
[15]
闫晴 ,李菊艳 ,尹忠东 ,等 .典型株型沙生灌丛对风沙流场影响的数值模拟
[J].干旱区研究 ,2023 ,40 (5 ):785 -797 .
[本文引用: 1]
[16]
刘金苗 ,李菊艳 ,尹忠东 ,等 .干枯骆驼刺对风沙流场影响的数值模拟研究
[J].干旱区研究 ,2022 ,39 (5 ):1514 -1525 .
[本文引用: 1]
[17]
唐朝胜 ,刘世洪 ,程杰仁 ,等 .基于数值模拟的橡胶防护林防风效应探讨
[J].西北林学院学报 ,2017 ,32 (2 ):79 -83 .
[本文引用: 1]
[18]
胡广录 ,樊立娟 ,王德金 ,等 .荒漠-绿洲过渡带斑块植被表层土壤颗粒的空间异质性
[J].兰州交通大学学报 ,2013 ,32 (6 ):159 -164 .
[本文引用: 1]
[19]
王康龙 ,武建军 ,罗生虎 .风沙运动的欧拉双流体模型参数研究
[J].中国沙漠 ,2014 ,34 (6 ):1461 -1468 .
[本文引用: 1]
[20]
Hong J , Ning H , Yuanjian Z .Analysis of wind-blown sand movement over transverse dunes
[J].Scientific Reports ,2014 ,4 (1 ):7114 .
[本文引用: 1]
[21]
郑庆果 ,张春来 ,张亚静 ,等 .戈壁地表粉尘释放特征
[J].中国沙漠 , 2025 ,45 (3 ):152 -161 .
[本文引用: 1]
[22]
俞明聪 .风沙流对准朔铁路路堑响应规律及防风沙措施效果数值研究
[D].北京 :北京交通大学 ,2017 .
[本文引用: 1]
[23]
Yan Y , Xu X , Xin X ,et al .Effect of vegetation coverage on aeolian dust accumulation in a semiarid steppe of northern China
[J].Catena ,2011 ,87 (3 ):351 -356 .
[本文引用: 1]
[24]
李映坤 ,李锦荣 ,董雷 ,等 .乌兰布和沙漠周边典型植物群落防风阻沙效果
[J].中国沙漠 ,2022 ,42 (6 ):65 -73 .
[本文引用: 1]
[25]
张文 ,亢力强 ,张琴 ,等 .植株形态对单植株前后风速变化影响的风洞实验
[J].北京师范大学学报(自然科学版) ,2020 ,56 (4 ):573 -581 .
[本文引用: 1]
[26]
王蕾 ,王志 ,刘连友 ,等 .沙柳灌丛植株形态与气流结构野外观测研究
[J].应用生态学报 ,2005 (11 ):3 -7 .
[本文引用: 1]
[27]
余沛东 ,陈银萍 ,李玉强 ,等 .植被盖度对沙丘风沙流结构及风蚀量的影响
[J].中国沙漠 ,2019 ,39 (5 ):29 -36 .
[本文引用: 1]
[28]
廖承贤 .戈壁砾石床面风沙运动过程的模拟研究
[D].呼和浩特 :内蒙古农业大学 ,2023 .
[本文引用: 1]
[29]
Pang Y J , Wu B , Jia X H ,et al .Wind-proof and sand-fixing effects of Artemisia ordosica with different coverages in the Mu Us Sandy Land, northern China
[J].Journal of Arid Land ,2022 ,14 (8 ):877 -893 .
[本文引用: 1]
[30]
马全林 ,卢琦 ,张德魁 ,等 .沙蒿与油蒿灌丛的防风阻沙作用
[J].生态学杂志 ,2012 ,31 (7 ):1639 -1645 .
[本文引用: 1]
[31]
董雪 ,郝玉光 ,辛智鸣 ,等 .浑善达克沙地3种典型灌丛固沙能力的比较研究
[J].林业科学研究 ,2020 ,33 (1 ):76 -83 .
[本文引用: 1]
[32]
唐艳 ,刘连友 ,屈志强 ,等 .植物阻沙能力研究进展
[J].中国沙漠 ,2011 ,31 (1 ):43 -48 .
[本文引用: 1]
[33]
周海 ,赵文智 ,何志斌 .两种荒漠生境条件下泡泡刺水分来源及其对降水的响应
[J].应用生态学报 ,2017 ,28 (7 ):2083 -2092 .
[本文引用: 1]
腾格里沙漠东南缘风沙活动动力条件分析:以沙坡头地区为例
1
2008
... 风沙活动是近地面风场与地表物质之间相互作用的结果,为风沙地貌的塑造提供了动力源和物质基础,同时,风沙活动加重了土壤风蚀程度,极易引起土地荒漠化[1 -2 ] .植被的存在,干扰了大气与地表的相互作用,对减弱风沙活动具有重要作用[3 ] .中国西北干旱地区存在大量的荒漠-绿洲过渡带区域,荒漠-绿洲过渡带受绿洲生态系统和荒漠生态系统的双重影响,生态环境脆弱且敏感[4 ] .该区域植物以灌木、半灌木为主,整体表现为植物种类少、群落结构简单、盖度不高,但这些植物具有良好的防风阻沙作用,在保护绿洲稳定中起着重要作用[5 -7 ] .梭梭(Haloxylon ammodendron )、沙拐枣(Calligonum mongolicum )、泡泡刺(Nitraria sphaerocarpa )作为典型的荒漠物种,具有防风固沙、维持生物多样性和减少水土流失等生态功能[8 -11 ] .因此,探究梭梭、沙拐枣、泡泡刺等不同单株植物的防风固沙效应对维持荒漠-绿洲过渡带生态稳定性具有重要意义. ...
乌兰布和沙区典型灌木的防风阻沙效益
1
2021
... 风沙活动是近地面风场与地表物质之间相互作用的结果,为风沙地貌的塑造提供了动力源和物质基础,同时,风沙活动加重了土壤风蚀程度,极易引起土地荒漠化[1 -2 ] .植被的存在,干扰了大气与地表的相互作用,对减弱风沙活动具有重要作用[3 ] .中国西北干旱地区存在大量的荒漠-绿洲过渡带区域,荒漠-绿洲过渡带受绿洲生态系统和荒漠生态系统的双重影响,生态环境脆弱且敏感[4 ] .该区域植物以灌木、半灌木为主,整体表现为植物种类少、群落结构简单、盖度不高,但这些植物具有良好的防风阻沙作用,在保护绿洲稳定中起着重要作用[5 -7 ] .梭梭(Haloxylon ammodendron )、沙拐枣(Calligonum mongolicum )、泡泡刺(Nitraria sphaerocarpa )作为典型的荒漠物种,具有防风固沙、维持生物多样性和减少水土流失等生态功能[8 -11 ] .因此,探究梭梭、沙拐枣、泡泡刺等不同单株植物的防风固沙效应对维持荒漠-绿洲过渡带生态稳定性具有重要意义. ...
不同配置格局沙蒿灌丛防风阻沙效果研究
1
2010
... 风沙活动是近地面风场与地表物质之间相互作用的结果,为风沙地貌的塑造提供了动力源和物质基础,同时,风沙活动加重了土壤风蚀程度,极易引起土地荒漠化[1 -2 ] .植被的存在,干扰了大气与地表的相互作用,对减弱风沙活动具有重要作用[3 ] .中国西北干旱地区存在大量的荒漠-绿洲过渡带区域,荒漠-绿洲过渡带受绿洲生态系统和荒漠生态系统的双重影响,生态环境脆弱且敏感[4 ] .该区域植物以灌木、半灌木为主,整体表现为植物种类少、群落结构简单、盖度不高,但这些植物具有良好的防风阻沙作用,在保护绿洲稳定中起着重要作用[5 -7 ] .梭梭(Haloxylon ammodendron )、沙拐枣(Calligonum mongolicum )、泡泡刺(Nitraria sphaerocarpa )作为典型的荒漠物种,具有防风固沙、维持生物多样性和减少水土流失等生态功能[8 -11 ] .因此,探究梭梭、沙拐枣、泡泡刺等不同单株植物的防风固沙效应对维持荒漠-绿洲过渡带生态稳定性具有重要意义. ...
民勤荒漠绿洲过渡带灌丛沙堆形态特征及分布格局
1
2015
... 风沙活动是近地面风场与地表物质之间相互作用的结果,为风沙地貌的塑造提供了动力源和物质基础,同时,风沙活动加重了土壤风蚀程度,极易引起土地荒漠化[1 -2 ] .植被的存在,干扰了大气与地表的相互作用,对减弱风沙活动具有重要作用[3 ] .中国西北干旱地区存在大量的荒漠-绿洲过渡带区域,荒漠-绿洲过渡带受绿洲生态系统和荒漠生态系统的双重影响,生态环境脆弱且敏感[4 ] .该区域植物以灌木、半灌木为主,整体表现为植物种类少、群落结构简单、盖度不高,但这些植物具有良好的防风阻沙作用,在保护绿洲稳定中起着重要作用[5 -7 ] .梭梭(Haloxylon ammodendron )、沙拐枣(Calligonum mongolicum )、泡泡刺(Nitraria sphaerocarpa )作为典型的荒漠物种,具有防风固沙、维持生物多样性和减少水土流失等生态功能[8 -11 ] .因此,探究梭梭、沙拐枣、泡泡刺等不同单株植物的防风固沙效应对维持荒漠-绿洲过渡带生态稳定性具有重要意义. ...
河西走廊荒漠绿洲过渡带封育对土壤和植被的影响
1
2020
... 风沙活动是近地面风场与地表物质之间相互作用的结果,为风沙地貌的塑造提供了动力源和物质基础,同时,风沙活动加重了土壤风蚀程度,极易引起土地荒漠化[1 -2 ] .植被的存在,干扰了大气与地表的相互作用,对减弱风沙活动具有重要作用[3 ] .中国西北干旱地区存在大量的荒漠-绿洲过渡带区域,荒漠-绿洲过渡带受绿洲生态系统和荒漠生态系统的双重影响,生态环境脆弱且敏感[4 ] .该区域植物以灌木、半灌木为主,整体表现为植物种类少、群落结构简单、盖度不高,但这些植物具有良好的防风阻沙作用,在保护绿洲稳定中起着重要作用[5 -7 ] .梭梭(Haloxylon ammodendron )、沙拐枣(Calligonum mongolicum )、泡泡刺(Nitraria sphaerocarpa )作为典型的荒漠物种,具有防风固沙、维持生物多样性和减少水土流失等生态功能[8 -11 ] .因此,探究梭梭、沙拐枣、泡泡刺等不同单株植物的防风固沙效应对维持荒漠-绿洲过渡带生态稳定性具有重要意义. ...
荒漠-绿洲过渡带斑块植被区起沙风对风蚀积沙量的影响
0
2016
Improvements in soil carbon and nitrogen capacities after shrub planting to stabilize sand dunes in China's Horqin Sandy Land
1
2017
... 风沙活动是近地面风场与地表物质之间相互作用的结果,为风沙地貌的塑造提供了动力源和物质基础,同时,风沙活动加重了土壤风蚀程度,极易引起土地荒漠化[1 -2 ] .植被的存在,干扰了大气与地表的相互作用,对减弱风沙活动具有重要作用[3 ] .中国西北干旱地区存在大量的荒漠-绿洲过渡带区域,荒漠-绿洲过渡带受绿洲生态系统和荒漠生态系统的双重影响,生态环境脆弱且敏感[4 ] .该区域植物以灌木、半灌木为主,整体表现为植物种类少、群落结构简单、盖度不高,但这些植物具有良好的防风阻沙作用,在保护绿洲稳定中起着重要作用[5 -7 ] .梭梭(Haloxylon ammodendron )、沙拐枣(Calligonum mongolicum )、泡泡刺(Nitraria sphaerocarpa )作为典型的荒漠物种,具有防风固沙、维持生物多样性和减少水土流失等生态功能[8 -11 ] .因此,探究梭梭、沙拐枣、泡泡刺等不同单株植物的防风固沙效应对维持荒漠-绿洲过渡带生态稳定性具有重要意义. ...
民勤绿洲荒漠过渡带人工梭梭种群年龄结构及动态
1
2023
... 风沙活动是近地面风场与地表物质之间相互作用的结果,为风沙地貌的塑造提供了动力源和物质基础,同时,风沙活动加重了土壤风蚀程度,极易引起土地荒漠化[1 -2 ] .植被的存在,干扰了大气与地表的相互作用,对减弱风沙活动具有重要作用[3 ] .中国西北干旱地区存在大量的荒漠-绿洲过渡带区域,荒漠-绿洲过渡带受绿洲生态系统和荒漠生态系统的双重影响,生态环境脆弱且敏感[4 ] .该区域植物以灌木、半灌木为主,整体表现为植物种类少、群落结构简单、盖度不高,但这些植物具有良好的防风阻沙作用,在保护绿洲稳定中起着重要作用[5 -7 ] .梭梭(Haloxylon ammodendron )、沙拐枣(Calligonum mongolicum )、泡泡刺(Nitraria sphaerocarpa )作为典型的荒漠物种,具有防风固沙、维持生物多样性和减少水土流失等生态功能[8 -11 ] .因此,探究梭梭、沙拐枣、泡泡刺等不同单株植物的防风固沙效应对维持荒漠-绿洲过渡带生态稳定性具有重要意义. ...
梭梭和头状沙拐枣形态及生理生化特性对干旱胁迫的响应
0
2024
河西走廊荒漠绿洲过渡带沙丘不同固定阶段泡泡刺叶性状特征研究
0
2025
青藏高原北部干旱区梭梭群落特征空间分布格局及其驱动因子
1
2024
... 风沙活动是近地面风场与地表物质之间相互作用的结果,为风沙地貌的塑造提供了动力源和物质基础,同时,风沙活动加重了土壤风蚀程度,极易引起土地荒漠化[1 -2 ] .植被的存在,干扰了大气与地表的相互作用,对减弱风沙活动具有重要作用[3 ] .中国西北干旱地区存在大量的荒漠-绿洲过渡带区域,荒漠-绿洲过渡带受绿洲生态系统和荒漠生态系统的双重影响,生态环境脆弱且敏感[4 ] .该区域植物以灌木、半灌木为主,整体表现为植物种类少、群落结构简单、盖度不高,但这些植物具有良好的防风阻沙作用,在保护绿洲稳定中起着重要作用[5 -7 ] .梭梭(Haloxylon ammodendron )、沙拐枣(Calligonum mongolicum )、泡泡刺(Nitraria sphaerocarpa )作为典型的荒漠物种,具有防风固沙、维持生物多样性和减少水土流失等生态功能[8 -11 ] .因此,探究梭梭、沙拐枣、泡泡刺等不同单株植物的防风固沙效应对维持荒漠-绿洲过渡带生态稳定性具有重要意义. ...
黑河中游荒漠绿洲过渡带典型灌丛植物防风固沙效应
1
2023
... 目前,关于植物防风固沙效应研究主要有野外试验、风洞实验和数值模拟.胡广录等[12 ] 采用野外试验,探究了黑河中游荒漠绿洲过渡带典型灌丛植物防风固沙效应,结果表明梭梭与其他灌丛植物相比防风效果更加显著.张奕等[13 ] 通过风洞试验探究了乌兰布和沙区典型灌木防风阻沙效益,结果表明,白刺因其低矮的形态和较小的疏透度,比其他植物具有更显著的防风固沙效果.数值模拟比风洞实验具有成本低廉和设计灵活的优势,同时还可以大大减少实验工作量.与野外试验相比,数值模拟可以获取其无法获得的连续性数据.刘洋等[14 ] 利用计算平台Fluent对琵琶柴植株附近的流场进行了数值模拟,探讨了生长季和非生长季琵琶柴周围的风速特征和积沙特征;闫晴等[15 ] 对3类典型株型(坛形、梭形、帚形)灌丛周围的流场进行数值模拟,分析了不同植株形态对风沙流的影响;刘金苗等[16 ] 对30 cm高度干枯骆驼刺附近的流场进行数值模拟,分析了其风速特征和积沙特征.以上研究增强了人们对于Fluent数值模拟在植物防风固沙领域的应用,但在现有固沙植物风沙流场数值模拟中,更侧重于干旱、半干旱地区形态低矮灌丛植被周围的风沙流场变化,对于形态较为高大的荒漠植物周围风速变化特征和积沙特征的研究较少,特别是针对黑河中游荒漠-绿洲过渡带典型固沙植物的有关研究甚少. ...
乌兰布和沙区典型灌木防风阻沙效益
2
2021
... 目前,关于植物防风固沙效应研究主要有野外试验、风洞实验和数值模拟.胡广录等[12 ] 采用野外试验,探究了黑河中游荒漠绿洲过渡带典型灌丛植物防风固沙效应,结果表明梭梭与其他灌丛植物相比防风效果更加显著.张奕等[13 ] 通过风洞试验探究了乌兰布和沙区典型灌木防风阻沙效益,结果表明,白刺因其低矮的形态和较小的疏透度,比其他植物具有更显著的防风固沙效果.数值模拟比风洞实验具有成本低廉和设计灵活的优势,同时还可以大大减少实验工作量.与野外试验相比,数值模拟可以获取其无法获得的连续性数据.刘洋等[14 ] 利用计算平台Fluent对琵琶柴植株附近的流场进行了数值模拟,探讨了生长季和非生长季琵琶柴周围的风速特征和积沙特征;闫晴等[15 ] 对3类典型株型(坛形、梭形、帚形)灌丛周围的流场进行数值模拟,分析了不同植株形态对风沙流的影响;刘金苗等[16 ] 对30 cm高度干枯骆驼刺附近的流场进行数值模拟,分析了其风速特征和积沙特征.以上研究增强了人们对于Fluent数值模拟在植物防风固沙领域的应用,但在现有固沙植物风沙流场数值模拟中,更侧重于干旱、半干旱地区形态低矮灌丛植被周围的风沙流场变化,对于形态较为高大的荒漠植物周围风速变化特征和积沙特征的研究较少,特别是针对黑河中游荒漠-绿洲过渡带典型固沙植物的有关研究甚少. ...
... 3种植物在不同高度的沿程水平风速分布呈“W”型.近地表区,梭梭和沙拐枣由于较大的枝下高度,风沙流穿过时产生“狭管效应”,防风效果较弱.而泡泡刺因植被低矮、紧贴地面,防风能力显著,这与张奕等[13 ] 在研究乌兰布和周边4种典型植被的防风阻沙效果中得出的结论一致.在高空区,沙拐枣和泡泡刺的防护高度大于植物高度,导致背风面风速降幅减弱,表明植物主要在其高度范围内起到防护作用.研究表明,植物的防风效应受构型和迎风面疏透度的影响[26 ] .梭梭整体构型中部密集、顶端和下部稀疏,防风效果在中高空层最优,最优防风高度为1.2~1.5 m;沙拐枣顶部茂密、底部稀疏,防风效果最好在1.2~1.4 m;泡泡刺低矮、底部枝叶繁茂,主要影响近地表风速,最优防风高度为0.1~1.0 m. ...
琵琶柴的防风固沙作用数值模拟
1
2024
... 目前,关于植物防风固沙效应研究主要有野外试验、风洞实验和数值模拟.胡广录等[12 ] 采用野外试验,探究了黑河中游荒漠绿洲过渡带典型灌丛植物防风固沙效应,结果表明梭梭与其他灌丛植物相比防风效果更加显著.张奕等[13 ] 通过风洞试验探究了乌兰布和沙区典型灌木防风阻沙效益,结果表明,白刺因其低矮的形态和较小的疏透度,比其他植物具有更显著的防风固沙效果.数值模拟比风洞实验具有成本低廉和设计灵活的优势,同时还可以大大减少实验工作量.与野外试验相比,数值模拟可以获取其无法获得的连续性数据.刘洋等[14 ] 利用计算平台Fluent对琵琶柴植株附近的流场进行了数值模拟,探讨了生长季和非生长季琵琶柴周围的风速特征和积沙特征;闫晴等[15 ] 对3类典型株型(坛形、梭形、帚形)灌丛周围的流场进行数值模拟,分析了不同植株形态对风沙流的影响;刘金苗等[16 ] 对30 cm高度干枯骆驼刺附近的流场进行数值模拟,分析了其风速特征和积沙特征.以上研究增强了人们对于Fluent数值模拟在植物防风固沙领域的应用,但在现有固沙植物风沙流场数值模拟中,更侧重于干旱、半干旱地区形态低矮灌丛植被周围的风沙流场变化,对于形态较为高大的荒漠植物周围风速变化特征和积沙特征的研究较少,特别是针对黑河中游荒漠-绿洲过渡带典型固沙植物的有关研究甚少. ...
典型株型沙生灌丛对风沙流场影响的数值模拟
1
2023
... 目前,关于植物防风固沙效应研究主要有野外试验、风洞实验和数值模拟.胡广录等[12 ] 采用野外试验,探究了黑河中游荒漠绿洲过渡带典型灌丛植物防风固沙效应,结果表明梭梭与其他灌丛植物相比防风效果更加显著.张奕等[13 ] 通过风洞试验探究了乌兰布和沙区典型灌木防风阻沙效益,结果表明,白刺因其低矮的形态和较小的疏透度,比其他植物具有更显著的防风固沙效果.数值模拟比风洞实验具有成本低廉和设计灵活的优势,同时还可以大大减少实验工作量.与野外试验相比,数值模拟可以获取其无法获得的连续性数据.刘洋等[14 ] 利用计算平台Fluent对琵琶柴植株附近的流场进行了数值模拟,探讨了生长季和非生长季琵琶柴周围的风速特征和积沙特征;闫晴等[15 ] 对3类典型株型(坛形、梭形、帚形)灌丛周围的流场进行数值模拟,分析了不同植株形态对风沙流的影响;刘金苗等[16 ] 对30 cm高度干枯骆驼刺附近的流场进行数值模拟,分析了其风速特征和积沙特征.以上研究增强了人们对于Fluent数值模拟在植物防风固沙领域的应用,但在现有固沙植物风沙流场数值模拟中,更侧重于干旱、半干旱地区形态低矮灌丛植被周围的风沙流场变化,对于形态较为高大的荒漠植物周围风速变化特征和积沙特征的研究较少,特别是针对黑河中游荒漠-绿洲过渡带典型固沙植物的有关研究甚少. ...
干枯骆驼刺对风沙流场影响的数值模拟研究
1
2022
... 目前,关于植物防风固沙效应研究主要有野外试验、风洞实验和数值模拟.胡广录等[12 ] 采用野外试验,探究了黑河中游荒漠绿洲过渡带典型灌丛植物防风固沙效应,结果表明梭梭与其他灌丛植物相比防风效果更加显著.张奕等[13 ] 通过风洞试验探究了乌兰布和沙区典型灌木防风阻沙效益,结果表明,白刺因其低矮的形态和较小的疏透度,比其他植物具有更显著的防风固沙效果.数值模拟比风洞实验具有成本低廉和设计灵活的优势,同时还可以大大减少实验工作量.与野外试验相比,数值模拟可以获取其无法获得的连续性数据.刘洋等[14 ] 利用计算平台Fluent对琵琶柴植株附近的流场进行了数值模拟,探讨了生长季和非生长季琵琶柴周围的风速特征和积沙特征;闫晴等[15 ] 对3类典型株型(坛形、梭形、帚形)灌丛周围的流场进行数值模拟,分析了不同植株形态对风沙流的影响;刘金苗等[16 ] 对30 cm高度干枯骆驼刺附近的流场进行数值模拟,分析了其风速特征和积沙特征.以上研究增强了人们对于Fluent数值模拟在植物防风固沙领域的应用,但在现有固沙植物风沙流场数值模拟中,更侧重于干旱、半干旱地区形态低矮灌丛植被周围的风沙流场变化,对于形态较为高大的荒漠植物周围风速变化特征和积沙特征的研究较少,特别是针对黑河中游荒漠-绿洲过渡带典型固沙植物的有关研究甚少. ...
基于数值模拟的橡胶防护林防风效应探讨
1
2017
... 风沙运动是复杂的三维过程,沙粒在风力作用下受到曳力、重力和升力等多种力的共同影响.然而三维模型既复杂又计算量庞大,对于计算机性能要求较高,尤其在大尺度模拟中更为显著.因此,本文对模型进行简化,忽略风沙流参数在侧向的变化,选取一个垂直于地面且平行于风速方向的截面作为求解区域.通过这种简化,计算量得以有效降低,同时仍能捕捉到风沙流的主要动力学特征.基于前人对植物沙障的建模研究[17 ] ,本文采用实体开孔模式,通过Space Claim建立二维模型,并通过多次模拟和运行,确定计算区域长度为45 m,高度为10 m,初始沙床厚度为0.1 m;植物放在入口5H(H为植物高度,下同)处,流场模型简图如图1 所示. ...
荒漠-绿洲过渡带斑块植被表层土壤颗粒的空间异质性
1
2013
... 根据前人实验得知,研究区沙粒粒径为0.075~0.25 mm,在数值模拟过程中采用单一粒径沙粒,取平均值0.1 mm[18 ] ,初始沙粒体积分数为0.02,沙床初始堆积率取值0.625.沙粒密度为2 650 kg·m-3 ,空气密度为1.225 kg·m-3 ,空气动力黏度为1.7894×10-5 Pa·s,压力为标准大气压,考虑重力影响,设置沙粒重力加速度为-9.81 m·s-2[19 ] . ...
风沙运动的欧拉双流体模型参数研究
1
2014
... 根据前人实验得知,研究区沙粒粒径为0.075~0.25 mm,在数值模拟过程中采用单一粒径沙粒,取平均值0.1 mm[18 ] ,初始沙粒体积分数为0.02,沙床初始堆积率取值0.625.沙粒密度为2 650 kg·m-3 ,空气密度为1.225 kg·m-3 ,空气动力黏度为1.7894×10-5 Pa·s,压力为标准大气压,考虑重力影响,设置沙粒重力加速度为-9.81 m·s-2[19 ] . ...
Analysis of wind-blown sand movement over transverse dunes
1
2014
... 式中:v 0 为摩阻速度,m·s-1 ;y 0 为粗糙长度,单位为m,取值为沙粒粒径的1/30[20 ] ;k 为冯卡门系数,取值0.4;y 为高度,单位为m;v(y) 为y 处的风速值,单位为m·s-1 . ...
戈壁地表粉尘释放特征
1
2025
... 野外输沙率测定采用HY. JSY-B组合阶梯式集沙仪(图2 ),集沙仪共分10层,层高2 cm,观测时将底部集沙孔与地面平齐,每个植物设置9个观测点,同风速观测点一致.当风速超过起沙风速时(经测量确定研究区最小临界起沙风速为4.9 m·s-1 [21 ] ),打开集沙孔测定积沙量,观测时间为30 min,收集结束后,分层对集沙量进行称重,然后计算输沙率. ...
风沙流对准朔铁路路堑响应规律及防风沙措施效果数值研究
1
2017
... 相关研究表明,风沙运动中沙粒体积分数与输沙率的分布趋势高度一致[22 ] .本文以野外试验中测得的梭梭背风面1H处的输沙率为对照,通过数值模拟获取梭梭背风侧1H处沙粒体积分数随高度变化的规律,并进行对比验证(图4 、图5 ).梭梭背风面1H处的输沙率与沙粒体积分数随高度变化的趋势基本相同,均表现出随着高度的增加逐渐减小的趋势,此规律符合沙粒运移特征和风沙流结构特点.验证结果呈现出较好的一致性,因此认为数值模拟中风沙两相流的设置较为合理可靠. ...
Effect of vegetation coverage on aeolian dust accumulation in a semiarid steppe of northern China
1
2011
... 在荒漠-绿洲过渡带区域的风沙防治过程中,增加植被覆盖是最广泛、最长久、最环保的措施[23 ] .对单株植物的研究表明,植物形态的差异,特别是枝条的密度变化,会导致不同高度处的风速减弱程度有所不同[24 -25 ] ;透风系数大,防风作用会减少;枝下高度大,底层防风效果不显著. ...
乌兰布和沙漠周边典型植物群落防风阻沙效果
1
2022
... 在荒漠-绿洲过渡带区域的风沙防治过程中,增加植被覆盖是最广泛、最长久、最环保的措施[23 ] .对单株植物的研究表明,植物形态的差异,特别是枝条的密度变化,会导致不同高度处的风速减弱程度有所不同[24 -25 ] ;透风系数大,防风作用会减少;枝下高度大,底层防风效果不显著. ...
植株形态对单植株前后风速变化影响的风洞实验
1
2020
... 在荒漠-绿洲过渡带区域的风沙防治过程中,增加植被覆盖是最广泛、最长久、最环保的措施[23 ] .对单株植物的研究表明,植物形态的差异,特别是枝条的密度变化,会导致不同高度处的风速减弱程度有所不同[24 -25 ] ;透风系数大,防风作用会减少;枝下高度大,底层防风效果不显著. ...
沙柳灌丛植株形态与气流结构野外观测研究
1
2005
... 3种植物在不同高度的沿程水平风速分布呈“W”型.近地表区,梭梭和沙拐枣由于较大的枝下高度,风沙流穿过时产生“狭管效应”,防风效果较弱.而泡泡刺因植被低矮、紧贴地面,防风能力显著,这与张奕等[13 ] 在研究乌兰布和周边4种典型植被的防风阻沙效果中得出的结论一致.在高空区,沙拐枣和泡泡刺的防护高度大于植物高度,导致背风面风速降幅减弱,表明植物主要在其高度范围内起到防护作用.研究表明,植物的防风效应受构型和迎风面疏透度的影响[26 ] .梭梭整体构型中部密集、顶端和下部稀疏,防风效果在中高空层最优,最优防风高度为1.2~1.5 m;沙拐枣顶部茂密、底部稀疏,防风效果最好在1.2~1.4 m;泡泡刺低矮、底部枝叶繁茂,主要影响近地表风速,最优防风高度为0.1~1.0 m. ...
植被盖度对沙丘风沙流结构及风蚀量的影响
1
2019
... 植物通过3种途径影响沙粒地表跃移[27 ] :①通过碰撞阻拦使得沙粒沉积.廖承贤[28 ] 通过建立流体-颗粒碰撞耦合模型,分析了在不同砾石覆盖度下,尘暴风沙两相流的运动特征及沙尘释放过程.②通过植被覆盖地表,保护地表不受风吹蚀.Pang等[29 ] 通过野外观测黑沙蒿在覆盖率为2%、16%、29%和69%的4个样地的防风固沙效果,发现黑沙蒿的覆盖率越高,防风固沙效果越明显,当沙地的黑沙蒿的覆盖率大于29%,风蚀将得到有效控制.③通过改变气流流场,减弱地表风动量,从而降低地表风沙流携沙量.植物的冠幅、高度和构型会对防风阻沙效果起到显著影响[30 ] . ...
戈壁砾石床面风沙运动过程的模拟研究
1
2023
... 植物通过3种途径影响沙粒地表跃移[27 ] :①通过碰撞阻拦使得沙粒沉积.廖承贤[28 ] 通过建立流体-颗粒碰撞耦合模型,分析了在不同砾石覆盖度下,尘暴风沙两相流的运动特征及沙尘释放过程.②通过植被覆盖地表,保护地表不受风吹蚀.Pang等[29 ] 通过野外观测黑沙蒿在覆盖率为2%、16%、29%和69%的4个样地的防风固沙效果,发现黑沙蒿的覆盖率越高,防风固沙效果越明显,当沙地的黑沙蒿的覆盖率大于29%,风蚀将得到有效控制.③通过改变气流流场,减弱地表风动量,从而降低地表风沙流携沙量.植物的冠幅、高度和构型会对防风阻沙效果起到显著影响[30 ] . ...
Wind-proof and sand-fixing effects of Artemisia ordosica with different coverages in the Mu Us Sandy Land, northern China
1
2022
... 植物通过3种途径影响沙粒地表跃移[27 ] :①通过碰撞阻拦使得沙粒沉积.廖承贤[28 ] 通过建立流体-颗粒碰撞耦合模型,分析了在不同砾石覆盖度下,尘暴风沙两相流的运动特征及沙尘释放过程.②通过植被覆盖地表,保护地表不受风吹蚀.Pang等[29 ] 通过野外观测黑沙蒿在覆盖率为2%、16%、29%和69%的4个样地的防风固沙效果,发现黑沙蒿的覆盖率越高,防风固沙效果越明显,当沙地的黑沙蒿的覆盖率大于29%,风蚀将得到有效控制.③通过改变气流流场,减弱地表风动量,从而降低地表风沙流携沙量.植物的冠幅、高度和构型会对防风阻沙效果起到显著影响[30 ] . ...
沙蒿与油蒿灌丛的防风阻沙作用
1
2012
... 植物通过3种途径影响沙粒地表跃移[27 ] :①通过碰撞阻拦使得沙粒沉积.廖承贤[28 ] 通过建立流体-颗粒碰撞耦合模型,分析了在不同砾石覆盖度下,尘暴风沙两相流的运动特征及沙尘释放过程.②通过植被覆盖地表,保护地表不受风吹蚀.Pang等[29 ] 通过野外观测黑沙蒿在覆盖率为2%、16%、29%和69%的4个样地的防风固沙效果,发现黑沙蒿的覆盖率越高,防风固沙效果越明显,当沙地的黑沙蒿的覆盖率大于29%,风蚀将得到有效控制.③通过改变气流流场,减弱地表风动量,从而降低地表风沙流携沙量.植物的冠幅、高度和构型会对防风阻沙效果起到显著影响[30 ] . ...
浑善达克沙地3种典型灌丛固沙能力的比较研究
1
2020
... 在风力作用下,沙粒以不同的角度入射进入流场,随风运动至植物处后,部分沙粒与植物发生碰撞后沉积在其周围;另一部分沙粒在碰撞后反弹,继续沿风向前移动;还有一部分沙粒通过植物间隙穿过,并在重力作用下,在植物背风面逐渐积聚沉积.本文研究发现,梭梭的沙粒主要沉积在植物根部及背风面0~4H,沙拐枣则在背风面1H~5H积沙,泡泡刺的沙粒沉积在迎风面1H内、植物根部及背风面1H内.3种植物的阻沙能力依次为泡泡刺>梭梭>沙拐枣.风沙活动主要在近地表0~0.5 m,泡泡刺因其贴地生长且底部枝叶密集,对沙粒有显著阻挡作用,导致风沙流通过植物时沙粒减少,与其容易形成灌丛沙堆的特点一致[31 -32 ] . ...
植物阻沙能力研究进展
1
2011
... 在风力作用下,沙粒以不同的角度入射进入流场,随风运动至植物处后,部分沙粒与植物发生碰撞后沉积在其周围;另一部分沙粒在碰撞后反弹,继续沿风向前移动;还有一部分沙粒通过植物间隙穿过,并在重力作用下,在植物背风面逐渐积聚沉积.本文研究发现,梭梭的沙粒主要沉积在植物根部及背风面0~4H,沙拐枣则在背风面1H~5H积沙,泡泡刺的沙粒沉积在迎风面1H内、植物根部及背风面1H内.3种植物的阻沙能力依次为泡泡刺>梭梭>沙拐枣.风沙活动主要在近地表0~0.5 m,泡泡刺因其贴地生长且底部枝叶密集,对沙粒有显著阻挡作用,导致风沙流通过植物时沙粒减少,与其容易形成灌丛沙堆的特点一致[31 -32 ] . ...
两种荒漠生境条件下泡泡刺水分来源及其对降水的响应
1
2017
... 总而言之,黑河中游荒漠-绿洲过渡带的3种典型固沙植物在防风效能上存在明显差异.梭梭植株高大,枝条多集中在中部,能有效降低中高层风速;泡泡刺低矮,底部枝叶茂密,能有效减少近地表风速,但其生长受水分条件限制[33 ] .在土壤风蚀防治中,除了研究单一植物的防护效益外,还应关注灌木林带的群体防护效应.合理配置灌丛能够在水分匮乏的情况下增强防风固沙效果.本研究发现梭梭的防风能力最强,泡泡刺的阻沙能力最佳.在实际风蚀防治中,可采用梭梭、沙拐枣和泡泡刺混交的配置方式,具体组合效果仍需进一步研究. ...