中国沙漠 ›› 2021, Vol. 41 ›› Issue (2): 109-119.DOI: 10.7522/j.issn.1000-694X.2020.00109
收稿日期:2020-06-26
修回日期:2020-10-15
出版日期:2021-03-20
发布日期:2021-03-26
作者简介:何建华(1985—),女,甘肃天水人,博士,工程师,研究方向为水文地球化学。E-mail: jhhe@lzu.edu.cn
基金资助:
Jianhua He(
), Wenhua Qin, Jiabing Guo, Peiyuan Chen, Jinzhu Ma
Received:2020-06-26
Revised:2020-10-15
Online:2021-03-20
Published:2021-03-26
摘要:
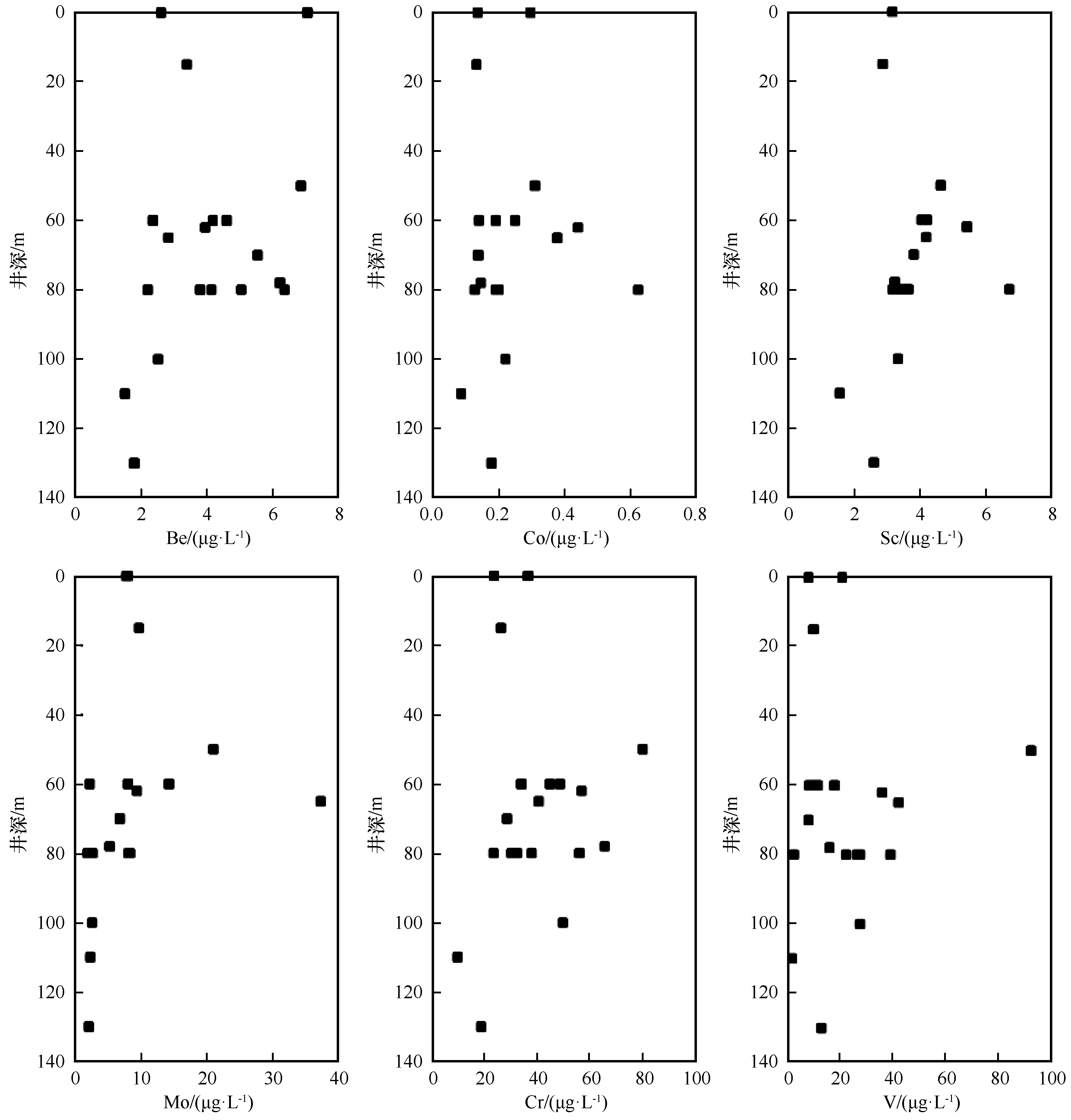
采用多元统计和水文地球化学分析对中国西北地区敦煌绿洲地下水微量元素分布特征及其成因进行了研究。结果表明:地下水中大多数微量元素含量较低,水质总体良好。地下水微量元素具有明显的地带分布规律,从山前洪积扇扇顶补给地带,到中下游细土平原径流排泄区,多数金属元素含量增加,部分在中游出现极大值。蒸发浓缩作用和水岩相互作用控制了研究区地下水中Sr、V、Cu、Zn、Ni和Cr等多种金属元素的溶解迁移;工农业生产对Be和Sc有明显的影响;Pb的分布体现了降水的元素输入特征;地下水中的氧化还原环境一定程度上控制了地下水中的Ba。
中图分类号:
何建华, 秦文华, 郭嘉兵, 陈沛源, 马金珠. 敦煌绿洲地下水微量元素分布特征及其成因[J]. 中国沙漠, 2021, 41(2): 109-119.
Jianhua He, Wenhua Qin, Jiabing Guo, Peiyuan Chen, Jinzhu Ma. The characteristics of groundwater trace elements and its controlling factors in Dunhuang Oasis[J]. Journal of Desert Research, 2021, 41(2): 109-119.
| 统计项 | 地下水(n=19) | 地表水(n=4) | WHO 限值 | 中国Ⅲ类 水限值 | |||||||
|---|---|---|---|---|---|---|---|---|---|---|---|
| 最低 | 最高 | 平均 | 变异系数/% | 最低 | 最高 | 平均 | 变异系数/% | ||||
| 微 量 元 素 | Be | 1.51 | 6.85 | 3.95 | 44.04 | 2.00 | 3.10 | 2.53 | 22.93 | 0.2 | ≤2 |
| Sc | 1.56 | 6.71 | 3.79 | 107.70 | 1.70 | 2.55 | 2.06 | 19.57 | |||
| V | 2.03 | 92.60 | 23.87 | 86.57 | 4.49 | 15.00 | 9.79 | 44.82 | |||
| Cr | 9.73 | 80.00 | 40.19 | 43.11 | 18.40 | 23.40 | 21.02 | 11.47 | 50 | ≤50 | |
| Co | 0.09 | 0.62 | 0.23 | 56.73 | 0.06 | 0.26 | 0.16 | 56.19 | ≤50 | ||
| Ni | 4.53 | 21.50 | 8.07 | 49.64 | 2.67 | 5.03 | 3.70 | 27.39 | 20 | ≤20 | |
| Cu | 16.90 | 70.60 | 32.64 | 43.48 | 13.30 | 22.10 | 17.12 | 24.97 | 2 000 | ≤1 000 | |
| Zn | 10.80 | 47.90 | 28.50 | 37.16 | 13.10 | 19.10 | 15.67 | 17.51 | 3 000 | ≤1 000 | |
| Rb | 0.89 | 5.62 | 2.64 | 51.89 | 1.31 | 1.96 | 1.62 | 17.61 | |||
| Sr | 542 | 4586 | 2217 | 54.05 | 571 | 1 388 | 889 | 42.15 | |||
| Ba | 12.10 | 74.30 | 31.53 | 44.40 | 31.30 | 65.30 | 49.53 | 29.87 | 700 | ≤700 | |
| Mo | 1.80 | 37.20 | 8.77 | 95.55 | 3.56 | 5.59 | 4.51 | 21.34 | 70 | ≤70 | |
| U | 6.09 | 40.80 | 22.29 | 46.16 | 4.99 | 19.40 | 10.59 | 61.47 | 10 | ||
| Pb | 0.07 | 0.36 | 0.16 | 46.87 | 0.07 | 0.26 | 0.14 | 63.34 | ≤10 | ||
| pH | 6.82 | 8.30 | 7.66 | 5.00 | 7.95 | 8.60 | 8.35 | 3.56 | 6.5—8.5 | ||
| EC | 733 | 4 330 | 1 834 | 50.91 | 614 | 1419 | 930 | 39.14 | |||
表1 地下水与地表水理化参数及微量元素统计值
Table 1 Physical and chemical parameters and trace element statistics of groundwater and surface water
| 统计项 | 地下水(n=19) | 地表水(n=4) | WHO 限值 | 中国Ⅲ类 水限值 | |||||||
|---|---|---|---|---|---|---|---|---|---|---|---|
| 最低 | 最高 | 平均 | 变异系数/% | 最低 | 最高 | 平均 | 变异系数/% | ||||
| 微 量 元 素 | Be | 1.51 | 6.85 | 3.95 | 44.04 | 2.00 | 3.10 | 2.53 | 22.93 | 0.2 | ≤2 |
| Sc | 1.56 | 6.71 | 3.79 | 107.70 | 1.70 | 2.55 | 2.06 | 19.57 | |||
| V | 2.03 | 92.60 | 23.87 | 86.57 | 4.49 | 15.00 | 9.79 | 44.82 | |||
| Cr | 9.73 | 80.00 | 40.19 | 43.11 | 18.40 | 23.40 | 21.02 | 11.47 | 50 | ≤50 | |
| Co | 0.09 | 0.62 | 0.23 | 56.73 | 0.06 | 0.26 | 0.16 | 56.19 | ≤50 | ||
| Ni | 4.53 | 21.50 | 8.07 | 49.64 | 2.67 | 5.03 | 3.70 | 27.39 | 20 | ≤20 | |
| Cu | 16.90 | 70.60 | 32.64 | 43.48 | 13.30 | 22.10 | 17.12 | 24.97 | 2 000 | ≤1 000 | |
| Zn | 10.80 | 47.90 | 28.50 | 37.16 | 13.10 | 19.10 | 15.67 | 17.51 | 3 000 | ≤1 000 | |
| Rb | 0.89 | 5.62 | 2.64 | 51.89 | 1.31 | 1.96 | 1.62 | 17.61 | |||
| Sr | 542 | 4586 | 2217 | 54.05 | 571 | 1 388 | 889 | 42.15 | |||
| Ba | 12.10 | 74.30 | 31.53 | 44.40 | 31.30 | 65.30 | 49.53 | 29.87 | 700 | ≤700 | |
| Mo | 1.80 | 37.20 | 8.77 | 95.55 | 3.56 | 5.59 | 4.51 | 21.34 | 70 | ≤70 | |
| U | 6.09 | 40.80 | 22.29 | 46.16 | 4.99 | 19.40 | 10.59 | 61.47 | 10 | ||
| Pb | 0.07 | 0.36 | 0.16 | 46.87 | 0.07 | 0.26 | 0.14 | 63.34 | ≤10 | ||
| pH | 6.82 | 8.30 | 7.66 | 5.00 | 7.95 | 8.60 | 8.35 | 3.56 | 6.5—8.5 | ||
| EC | 733 | 4 330 | 1 834 | 50.91 | 614 | 1419 | 930 | 39.14 | |||
| 元素 | 浅层水(N=11) | 深层水(N=8) | ||||
|---|---|---|---|---|---|---|
| 最低 | 最高 | 平均 | 最低 | 最高 | 平均 | |
| Be | 2.36 | 7.04 | 4.50 | 1.51 | 6.35 | 3.41 |
| Sc | 2.87 | 20.90 | 5.51 | 1.56 | 6.71 | 3.49 |
| V | 8.20 | 92.60 | 24.82 | 2.03 | 39.30 | 20.24 |
| Cr | 23.60 | 80.00 | 44.11 | 9.73 | 56.00 | 32.27 |
| Co | 0.13 | 0.44 | 0.23 | 0.09 | 0.62 | 0.23 |
| Ni | 3.99 | 21.50 | 7.30 | 5.88 | 12.70 | 8.30 |
| Cu | 16.90 | 70.60 | 28.64 | 21.10 | 49.60 | 34.85 |
| Zn | 17.90 | 47.90 | 26.72 | 10.80 | 45.10 | 28.45 |
| Rb | 0.89 | 5.45 | 2.45 | 1.32 | 5.62 | 3.03 |
| Sr | 940 | 4586 | 2114 | 542 | 3825 | 2067 |
| Ba | 12.10 | 74.30 | 32.04 | 12.40 | 54.40 | 31.41 |
| Mo | 2.18 | 37.20 | 11.73 | 1.80 | 8.29 | 4.46 |
| U | 10.40 | 40.80 | 21.18 | 6.09 | 40.30 | 22.46 |
| Pb | 0.07 | 0.21 | 0.12 | 0.10 | 0.36 | 0.20 |
表2 浅层水和深层水微量元素含量 (μg·L-1)
Table 2 The trace element statistics of shallow groundwater and deep groundwater
| 元素 | 浅层水(N=11) | 深层水(N=8) | ||||
|---|---|---|---|---|---|---|
| 最低 | 最高 | 平均 | 最低 | 最高 | 平均 | |
| Be | 2.36 | 7.04 | 4.50 | 1.51 | 6.35 | 3.41 |
| Sc | 2.87 | 20.90 | 5.51 | 1.56 | 6.71 | 3.49 |
| V | 8.20 | 92.60 | 24.82 | 2.03 | 39.30 | 20.24 |
| Cr | 23.60 | 80.00 | 44.11 | 9.73 | 56.00 | 32.27 |
| Co | 0.13 | 0.44 | 0.23 | 0.09 | 0.62 | 0.23 |
| Ni | 3.99 | 21.50 | 7.30 | 5.88 | 12.70 | 8.30 |
| Cu | 16.90 | 70.60 | 28.64 | 21.10 | 49.60 | 34.85 |
| Zn | 17.90 | 47.90 | 26.72 | 10.80 | 45.10 | 28.45 |
| Rb | 0.89 | 5.45 | 2.45 | 1.32 | 5.62 | 3.03 |
| Sr | 940 | 4586 | 2114 | 542 | 3825 | 2067 |
| Ba | 12.10 | 74.30 | 32.04 | 12.40 | 54.40 | 31.41 |
| Mo | 2.18 | 37.20 | 11.73 | 1.80 | 8.29 | 4.46 |
| U | 10.40 | 40.80 | 21.18 | 6.09 | 40.30 | 22.46 |
| Pb | 0.07 | 0.21 | 0.12 | 0.10 | 0.36 | 0.20 |
| 主成分 | PC1 | PC2 | PC3 | PC4 |
|---|---|---|---|---|
| pH | -0.259 | 0.863 | -0.140 | -0.025 |
| Be | 0.488 | 0.716 | -0.082 | 0.247 |
| Sc | 0.124 | 0.719 | 0.362 | 0.365 |
| V | 0.927 | 0.118 | -0.184 | 0.033 |
| Cr | 0.774 | 0.195 | -0.152 | 0.082 |
| Co | 0.739 | 0.081 | 0.393 | -0.113 |
| Ni | 0.881 | -0.224 | -0.088 | 0.185 |
| Cu | 0.882 | -0.210 | -0.252 | 0.049 |
| Zn | 0.814 | 0.043 | -0.058 | -0.170 |
| Rb | 0.463 | 0.078 | 0.301 | 0.485 |
| Sr | 0.841 | -0.008 | -0.068 | -0.331 |
| Ba | -0.127 | 0.031 | 0.851 | -0.265 |
| Mo | 0.514 | 0.213 | -0.130 | -0.578 |
| U | 0.677 | -0.224 | 0.563 | -0.139 |
| Pb | 0.296 | -0.575 | 0.049 | 0.538 |
| 特征值 | 6.289 | 2.361 | 1.598 | 1.338 |
| 方差贡献率/% | 41.924 | 15.743 | 10.650 | 8.922 |
| 累积方差贡献率/% | 41.924 | 57.667 | 68.318 | 77.240 |
表3 主成分荷载和各成分的解释方差
Table 3 Principal component loadings and explained variance for the components
| 主成分 | PC1 | PC2 | PC3 | PC4 |
|---|---|---|---|---|
| pH | -0.259 | 0.863 | -0.140 | -0.025 |
| Be | 0.488 | 0.716 | -0.082 | 0.247 |
| Sc | 0.124 | 0.719 | 0.362 | 0.365 |
| V | 0.927 | 0.118 | -0.184 | 0.033 |
| Cr | 0.774 | 0.195 | -0.152 | 0.082 |
| Co | 0.739 | 0.081 | 0.393 | -0.113 |
| Ni | 0.881 | -0.224 | -0.088 | 0.185 |
| Cu | 0.882 | -0.210 | -0.252 | 0.049 |
| Zn | 0.814 | 0.043 | -0.058 | -0.170 |
| Rb | 0.463 | 0.078 | 0.301 | 0.485 |
| Sr | 0.841 | -0.008 | -0.068 | -0.331 |
| Ba | -0.127 | 0.031 | 0.851 | -0.265 |
| Mo | 0.514 | 0.213 | -0.130 | -0.578 |
| U | 0.677 | -0.224 | 0.563 | -0.139 |
| Pb | 0.296 | -0.575 | 0.049 | 0.538 |
| 特征值 | 6.289 | 2.361 | 1.598 | 1.338 |
| 方差贡献率/% | 41.924 | 15.743 | 10.650 | 8.922 |
| 累积方差贡献率/% | 41.924 | 57.667 | 68.318 | 77.240 |
| Be | Sc | V | Cr | Co | Ni | Cu | Zn | Rb | Sr | Ba | Mo | U | Pb | |
|---|---|---|---|---|---|---|---|---|---|---|---|---|---|---|
| Be | 1.00 | |||||||||||||
| Sc | 0.54 | 1.00 | ||||||||||||
| V | 0.49 | 0.12 | 1.00 | |||||||||||
| Cr | 0.62 | 0.14 | 0.75 | 1.00 | ||||||||||
| Co | 0.38 | 0.35 | 0.54 | 0.49 | 1.00 | |||||||||
| Ni | 0.29 | -0.01 | 0.87 | 0.56 | 0.51 | 1.00 | ||||||||
| Cu | 0.30 | -0.06 | 0.83 | 0.53 | 0.54 | 0.90 | 1.00 | |||||||
| Zn | 0.42 | -0.02 | 0.74 | 0.56 | 0.62 | 0.67 | 0.78 | 1.00 | ||||||
| Rb | 0.25 | 0.31 | 0.53 | 0.32 | 0.17 | 0.51 | 0.31 | 0.18 | 1.00 | |||||
| Sr | 0.36 | -0.05 | 0.72 | 0.67 | 0.59 | 0.62 | 0.73 | 0.69 | 0.24 | 1.00 | ||||
| Ba | -0.09 | 0.13 | -0.27 | -0.29 | 0.16 | -0.15 | -0.29 | -0.06 | 0.09 | -0.08 | 1.00 | |||
| Mo | 0.19 | 0.06 | 0.55 | 0.30 | 0.41 | 0.40 | 0.44 | 0.30 | 0.06 | 0.59 | -0.02 | 1.00 | ||
| U | 0.07 | 0.05 | 0.51 | 0.49 | 0.70 | 0.50 | 0.41 | 0.55 | 0.39 | 0.58 | 0.32 | 0.21 | 1.00 | |
| Pb | -0.05 | -0.12 | 0.13 | 0.08 | 0.29 | 0.48 | 0.44 | 0.10 | 0.14 | 0.10 | -0.12 | -0.21 | 0.21 | 1.00 |
表4 微量元素相关系数矩阵
Table 4 Pearson correlation coefficient matrix of trace elements
| Be | Sc | V | Cr | Co | Ni | Cu | Zn | Rb | Sr | Ba | Mo | U | Pb | |
|---|---|---|---|---|---|---|---|---|---|---|---|---|---|---|
| Be | 1.00 | |||||||||||||
| Sc | 0.54 | 1.00 | ||||||||||||
| V | 0.49 | 0.12 | 1.00 | |||||||||||
| Cr | 0.62 | 0.14 | 0.75 | 1.00 | ||||||||||
| Co | 0.38 | 0.35 | 0.54 | 0.49 | 1.00 | |||||||||
| Ni | 0.29 | -0.01 | 0.87 | 0.56 | 0.51 | 1.00 | ||||||||
| Cu | 0.30 | -0.06 | 0.83 | 0.53 | 0.54 | 0.90 | 1.00 | |||||||
| Zn | 0.42 | -0.02 | 0.74 | 0.56 | 0.62 | 0.67 | 0.78 | 1.00 | ||||||
| Rb | 0.25 | 0.31 | 0.53 | 0.32 | 0.17 | 0.51 | 0.31 | 0.18 | 1.00 | |||||
| Sr | 0.36 | -0.05 | 0.72 | 0.67 | 0.59 | 0.62 | 0.73 | 0.69 | 0.24 | 1.00 | ||||
| Ba | -0.09 | 0.13 | -0.27 | -0.29 | 0.16 | -0.15 | -0.29 | -0.06 | 0.09 | -0.08 | 1.00 | |||
| Mo | 0.19 | 0.06 | 0.55 | 0.30 | 0.41 | 0.40 | 0.44 | 0.30 | 0.06 | 0.59 | -0.02 | 1.00 | ||
| U | 0.07 | 0.05 | 0.51 | 0.49 | 0.70 | 0.50 | 0.41 | 0.55 | 0.39 | 0.58 | 0.32 | 0.21 | 1.00 | |
| Pb | -0.05 | -0.12 | 0.13 | 0.08 | 0.29 | 0.48 | 0.44 | 0.10 | 0.14 | 0.10 | -0.12 | -0.21 | 0.21 | 1.00 |
| 1 | 凌新颖,马金珠,于海超,等.基于Bossel指标体系对敦煌盆地水资源可持续利用评价[J].节水灌溉,2018(10):42-46. |
| 2 | 姜转芳,颉耀文,李汝嫣,等.永昌县绿洲时空变化过程[J].兰州大学学报(自然科学版),2018,54(2):239-244. |
| 3 | 桑学锋,张明泉,王浩,等.敦煌盆地地下水数值模拟及可视化与管理[J].兰州大学学报(自然科学版),2007,43(3):18-22. |
| 4 | 李文赞,严平,刘永刚,等.库姆塔格沙漠东北缘浅层地下水补给来源[J].中国沙漠,2011,31(6):1617-1622. |
| 5 | 张明泉,赵转军,曾正中.敦煌盆地水环境特征与水资源可持续利用[J].干旱区资源与环境,2003,17(4):71-77. |
| 6 | 杨俊仓,施锦,陈伟涛.敦煌西湖湿地演化趋势及保护对策[J].兰州大学学报(自然科学版),2014,50(5):716-721. |
| 7 | 赵玮,马金珠,何建华.党河流域敦煌盆地地下水补给与演化研究[J].干旱区地理,2015,38(6):1134-1141. |
| 8 | 邢文乐,马瑞,孙自永,等.敦煌盆地地下水水化学特征及水质评价[J].地质科技情报,2016,35(5):196-202. |
| 9 | Ma J,He J,Qi S,et al.Groundwater recharge and evolution in the Dunhuang Basin,northwestern China[J].Applied Geochemistry,2013,28:19-31. |
| 10 | Edmunds W M,Guendouz A H,Mamou A,et al.Groundwater evolution in the Continental Intercalaire aquifer of southern Algeria and Tunisia:trace element and isotopic indicators[J].Applied Geochemistry,2003,18(6):805-822. |
| 11 | Leung C M,Jiao J J.Heavy metal and trace element distributions in groundwater in natural slopes and highly urbanized spaces in Mid-Levels area,Hong Kong[J].Water Research,2006,40(4):753-767. |
| 12 | Rattan R K,Datta S P,Chhonkar P K,et al.Long-term impact of irrigation with sewage effluents on heavy metal content in soils,crops and groundwater:a case study[J].Agriculture,Ecosystems & Environment,2005,109(3/4):310-322. |
| 13 | 赵长影,于伟涛,魏巍,等.微量元素与眼病[J].中国地方病防治杂志,2014,29(6):415-417. |
| 14 | 任淑芬,张学林.吉林省饮水中微量元素与克山病[J].地方病通报,1992,7(3):77-79. |
| 15 | Nakaji S,Fukuda S,Sakamoto J,et al.Relationship between mineral and trace element concentrations in drinking water and gastric cancer mortality in Japan[J].Nutrition & Cancer,2001,40(2):99-102. |
| 16 | Khan T A.Trace elements in the drinking water and their possible health effects in Aligarh City,India[J].Journal of Water Resource & Protection,2011,3(7):522-530. |
| 17 | Calderon R L.The epidemiology of chemical contaminants of drinking water[J].Food & Chemical Toxicology,2000,38():S13-S20. |
| 18 | 刘天骄,张春雷,钱家忠,等.淮南煤田老矿区地下水微量元素多元统计研究[J].合肥工业大学学报(自然科学版),2011,34(1):119-122. |
| 19 | 蒋方媛,韩绘芳,陈加红,等.地下水微量元素与同位素特征对海水入侵和地下水起源的指示意义:以深圳市宝安区为例[J].东华理工大学学报(自然科学版),2009,32(3):253-260. |
| 20 | 文冬光,林良俊,孙继朝,等.中国东部主要平原地下水质量与污染评价[J].地球科学:中国地质大学学报,2012,37(2):220-228. |
| 21 | 刘普幸,张锐,吴三雄.敦煌绿洲近54 a气候变化特征研究[J].干旱区资源与环境,2010,24(7):98-102. |
| 22 | 孔令峰,周斌.敦煌盆地地下水补、径、排条件及动态特征[J].地下水,2015(5):52-53,57. |
| 23 | 桑学锋.敦煌盆地地下水数值模拟及可视化与管理[D].兰州:兰州大学,2006. |
| 24 | 栗振廷,杨军耀.地下水过度开采引起的六价铬污染问题研究[J].节水灌溉,2016(12):64-67. |
| 25 | Cloutier V,Lefebvre R,Therrien R,et al.Multivariate statistical analysis of geochemical data as indicative of the hydrogeochemical evolution of groundwater in a sedimentary rock aquifer system[J].Journal of Hydrology,2008,353(3):294-313. |
| 26 | Helena B,Pardo B,Vega M,et al.Temporal evolution of groundwater composition in an alluvial aquifer (Pisuerga River,Spain) by principal component analysis[J].Water Research,2000,34(3):807-816. |
| 27 | Edmunds W,Tyler S.Unsaturated zones as archives of past climates: toward a new proxy for continental regions[J].Hydrogeology Journal,2002,10(1):216-228. |
| 28 | Banner J L,Musgrove L,Capo R C.Tracing groundwater evolution in a limestone aquifer using Sr isotopes: effects of multiple sources of dissolved ions and mineral-solution reactions[J].Geology,1994(22):687-690. |
| 29 | Li G,Feng X,Li Z,et al.Mercury emission to atmosphere from primary Zn production in China[J].Science of the Total Environment,2010,408(20):4607-4612. |
| 30 | Zoller W H,Gladney E S,Duce R A.Atmospheric concentrations and sources of trace metals at the South pole[J].Science,1974,183(4121):198-200. |
| 31 | Sutherland R A.Bed sediment-associated trace metals in an urban stream,Oahu,Hawaii[J].Environmental Geology,2000,39(6):611-627. |
| 32 | Hakanson L,Jansson M.Principles of Lake Sedimentology[M].Berlin,Germany:Springer,1983. |
| 33 | 龙圣喜.铍的污染与危害[J].铁道劳动安全卫生与环保,1988(1):54-56. |
| 34 | Viisimaa L,Veiderma M,HÖdregÄrv H.Trace elements in phosphate rock and fertilizers [J].Analytical Sciences,1991,7():1161-1163. |
| 35 | Tiwari R N,Mishra S,Pandey P.Study of major and trace elements in groundwater of Birsinghpur Area,Satna District Madhya Pradesh,India[J].International Journal of Water resources and Environmental Engineering,2013,5(7):380-386. |
| 36 | Cheng H,Hu Y.Lead (Pb) isotopic fingerprinting and its applications in lead pollution studies in China:a review[J].Environmental Pollution,2010,158(5):1134-1146. |
| 37 | Cong Z,Kang S,Zhang Y,et al.Atmospheric wet deposition of trace elements to central Tibetan Plateau[J].Applied Geochemistry,2010,25(9):1415-1421. |
| 38 | Han Y,Jin Z,Cao J,et al.Atmospheric Cu and Pb deposition and transport in lake sediments in a remote mountain area,northern China[J].Water,Air,and Soil Pollution,2007,179(1):167-181. |
| 39 | 向晓晶,王建力,李俊云.重庆芙蓉洞岩溶系统中钡元素地球化学特征[J].湖北农业科学,2011(17):3510-3525. |
| 40 | Gilkeson R H,Cartwright K,Cowart J B.Hydrogeologic and geochemical studies of selected natural radioisotopes and barium in groundwater in Illinois[R]. |
| U.S.Department of Energy Office of Scientific and Technical Information.Research Report No.180 (final),1983,6,63. | |
| 41 | Hatch J R,Leventhal J S.Relationship between inferred redox potential of the depositional environment and geochemistry of the Upper Pennsylvanian (Missourian) Stark Shale Member of the Dennis Limestone,Wabaunsee County,Kansas,USA[J].Chemical Geology,1992,99(1/3):65-82. |
| 42 | Lewan M D.Factors controlling the proportionality of vanadium to nickel in crude oils[J].Geochimica et Cosmochimica Acta,1984,48(11):2231-2238. |
| [1] | 苏天燕, 刘文杰, 杨秋, 毛伟. 土壤碳循环对地下水位的响应研究进展[J]. 中国沙漠, 2020, 40(5): 180-189. |
| [2] | 胡菲, 张克存, 安志山, 鱼燕萍. 敦煌沙漠、绿洲和戈壁地表风动力环境特征同步对比[J]. 中国沙漠, 2020, 40(4): 113-119. |
| [3] | 张彩霞, 娄俊鹏, 蔡迪文. 荒漠地区15种植物的元素含量[J]. 中国沙漠, 2020, 40(4): 18-23. |
| [4] | 王理想, 蔡明玉, 白雪莲, 乔荣荣, 季树新, 常学礼. 乌兰布和沙漠东南缘湖泊群消涨与驱动因素[J]. 中国沙漠, 2020, 40(2): 59-67. |
| [5] | 盛丹睿, 温小虎, 冯起, 武君, 司建华, 吴敏. 张掖盆地地下水硝酸盐污染与人体健康风险评价[J]. 中国沙漠, 2019, 39(5): 37-44. |
| [6] | 杨羽帆, 曹生奎, 冯起, 曹广超, 刘英, 雷义珍. 青海湖沙柳河流域浅层地下水氢氧稳定同位素分布特征[J]. 中国沙漠, 2019, 39(5): 45-53. |
| [7] | 黄元, 岳德鹏, 于强, 张启斌, 马欢. 磴口县地表水与地下水时空变化特征及交互作用[J]. 中国沙漠, 2019, 39(1): 161-170. |
| [8] | 赵鹏, 屈建军, 韩庆杰, 徐先英, 姜生秀, 付贵全. 敦煌绿洲边缘植物群落与土壤养分互馈关系[J]. 中国沙漠, 2018, 38(4): 791-799. |
| [9] | 杜明亮, 吴彬, 胡钟林, 于亮, 王龙, 郭开政. 霍景涅里辛沙漠地下水化学和同位素特征[J]. 中国沙漠, 2018, 38(4): 858-864. |
| [10] | 吴敏, 温小虎, 冯起, 尹振良, 杨林山. 基于随机森林模型的干旱绿洲区张掖盆地地下水水质评价[J]. 中国沙漠, 2018, 38(3): 657-663. |
| [11] | 岳宁, 魏国孝, 孙朋, 董军, 党慧慧, 王刚, 黄少文. 乌兰布和沙漠降水入渗补给对气候变化的响应[J]. 中国沙漠, 2017, 37(5): 1016-1025. |
| [12] | 白玉锋, 徐海量, 张沛, 张广朋, 凌红波. 塔里木河下游荒漠植物多样性、地上生物量与地下水埋深的关系[J]. 中国沙漠, 2017, 37(4): 724-732. |
| [13] | 杨怀德, 冯起, 郭小燕. 1999-2013年民勤绿洲地下水埋深年际变化动态及影响因素[J]. 中国沙漠, 2017, 37(3): 562-570. |
| [14] | 魏水莲, 刘新平, 赵学勇, 张铜会, 云建英, 张婧, 张建鹏, 冯静, 苏娜. 科尔沁沙地奈曼地区地下水水质时空变化特征[J]. 中国沙漠, 2017, 37(3): 571-579. |
| [15] | 朱雅娟, 赵雪彬, 刘艳书, 李蕴, 范文秀. 青海共和盆地沙柳(Salix psammophila)和乌柳(Salix cheilophila)的水分利用过程[J]. 中国沙漠, 2017, 37(2): 281-287. |
| 阅读次数 | ||||||
|
全文 |
|
|||||
|
摘要 |
|
|||||
©2018中国沙漠 编辑部
地址: 兰州市天水中路8号 (730000)
电话:0931-8267545
Email:caiedit@lzb.ac.cn;desert@lzb.ac.cn