img

官方微信

高级检索

中国沙漠 ›› 2021, Vol. 41 ›› Issue (5): 157-165.DOI: 10.7522/j.issn.1000-694X.2021.00059

• • 上一篇    下一篇

硅肥和微生物菌剂配施对连作兰州百合(Lilium davidli var. unicolor)生长及土壤生化性质的影响

于彦琳1(), 师桂英1(), 张立彭1, 史贵红1, 李谋强2, 苏国礼1, 李潇潇1   

  1. 1.甘肃农业大学 园艺学院,甘肃 兰州 730070
    2.临洮县龙门镇农技推广站,甘肃 临洮 730500
  • 收稿日期:2021-02-02 修回日期:2021-04-27 出版日期:2021-09-20 发布日期:2021-09-23
  • 通讯作者: 师桂英
  • 作者简介:师桂英(E-mail: shigy@gsau.edu.cn
    于彦琳(1995—),女,甘肃景泰人,硕士研究生,主要从事蔬菜栽培生理及栽培技术研究。E-mail: 1713655265@qq.com
  • 基金资助:
    国家自然科学基金项目(31860549);兰州市科技计划项目(2017-4-95)

Effects of silicon fertilizer and microbial inoculants on the growth and soil biochemical properties of continuous cropping in Lanzhou lily

Yanlin Yu1(), Guiying Shi1(), Lipeng Zhang1, Guihong Shi1, Mouqiang Li2, Guoli Su1, Xiaoxiao Li1   

  1. 1.College of Horticulture,Gansu Agricultural University,Lanzhou 730070,China
    2.Agricultural Technology Extension Station of Longmen Town,Lintao 730500,Gansu,China
  • Received:2021-02-02 Revised:2021-04-27 Online:2021-09-20 Published:2021-09-23
  • Contact: Guiying Shi

摘要:

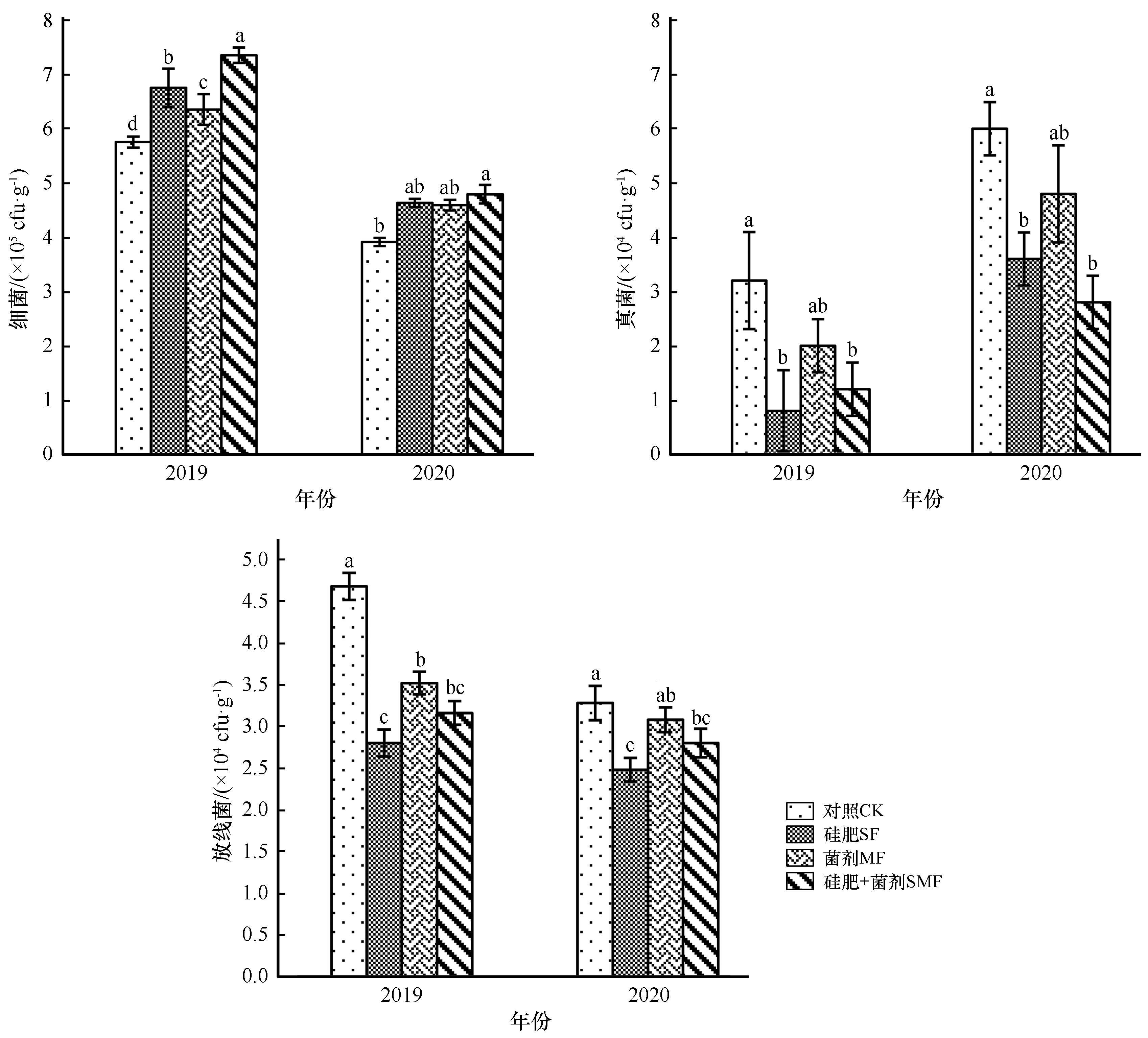
连作障碍已成为兰州百合(Lilium davidli var. unicolor)产业发展的制约因素。设置CK(对照)、SF(硅肥)、MF(微生物菌剂)、SMF(硅肥+微生物菌剂)处理,通过测定植株生长指标、土壤可培养微生物数量及物理化学性状指标,并运用隶属函数和冗余(RDA)分析方法,分析各处理对百合生长及土壤生化性质的影响。结果表明:(1)相较于CK处理,SF、MF、SMF处理均提高了兰州百合植株生长指标,增强了植株根系活力。(2)与CK相比,SF、MF、SMF处理的微生物群落结构发生了明显变化,细菌数量显著增加,真菌数量显著减少,土壤由真菌型向细菌型转变。(3)隶属函数分析表明,SMF效果最优,MF、SF效果次之,CK效果最差。(4)土壤脲酶、碱性磷酸酶、蔗糖酶活性与有机质、有效硅、速效钾含量正相关,与pH负相关。SMF处理的土壤养分状况最好,且作用效果最显著。综上所述,硅肥、微生物菌剂单施和配施均可显著促进兰州百合植株生长,改善土壤微生物群落结构,提高土壤养分含量,进而缓解兰州百合的连作障碍,且硅肥与微生物菌肥配施效果最佳。

关键词: 兰州百合(Lilium davidli var. unicolor), 连作障碍, 硅肥, 微生物菌剂, 土壤养分

Abstract:

The continuous acting obstacle of Lilium davidli var. unicolor has become a constraint factor for its industrial development. In order to explore ways to alleviate the continuous acting obstacle. This study set four treatments: CK (control), SF (silicon fertilizer), MF (microbial agents), SMF (silicon fertilizer + microbial agents), through the determination of plant growth index, the number of soil culturable microorganisms and physical and chemical indicators, and using membership function and redundancy analysis (RDA) method, analyzed the effects of treatments on lily growth and soil biochemical properties.The results indicate that: (1) Compared with CK treatment, SF, MF and SMF treatment all improved the plant growth index and enhanced the root activity of Lanzhou Lily. (2) Compared with CK, the microbial community structure treated by SF, MF and SMF changed significantly, the number of bacteria increased significantly, the number of fungi decreased significantly, and the soil changed from fungal type to bacterial type. (3) Membership function analysis shows that SMF has the best effect, MF, SF has the second best effect and CK has the worst effect. (4) RDA analysis shows that soil urease, alkaline phosphatase and sucrase were positively correlated with organic matter, available silicon content and available potassium, but negatively correlated with pH. The soil nutrients treated by SMF were the best and the effect was the most significant. In conclusion,single and combined application of silicon fertilizer and microbial fertilizer could significantly promote the plant growth of lanzhou lily, improve the soil microbial community structure, increase the soil nutrient content, and thus alleviate the continuous cropping obstacles of Lanzhou lily, and the combination of silicon fertilizer and microbial fertilizer had the best effect.

Key words: Lanzhou lily, continuous cropping obstacles, silicon fertilizer, microbial inoculants, soil nutrient

中图分类号: