img

官方微信

高级检索

中国沙漠 ›› 2025, Vol. 45 ›› Issue (5): 24-33.DOI: 10.7522/j.issn.1000-694X.2025.00020

• • 上一篇    下一篇

细长柔性植株瞬态阻力的风洞模拟

李艳敏(), 亢力强()   

  1. 北京师范大学 地理科学学部 地表过程与水土风沙灾害风险防控全国重点实验室/防沙治沙教育部工程研究中心,北京 100875
  • 收稿日期:2025-01-16 修回日期:2025-02-20 出版日期:2025-09-20 发布日期:2025-09-27
  • 通讯作者: 亢力强
  • 作者简介:李艳敏(1999—),女,内蒙古乌兰察布人,硕士研究生,研究方向为土壤风蚀。E-mail: 202221051013@mail.bnu.edu.cn
  • 基金资助:
    国家自然科学基金项目(41871003)

Simulation of instantaneous drag force of slender flexible plant model in wind tunnel

Yanmin Li(), Liqiang Kang()   

  1. State Key Laboratory of Earth Surface Processes and Hazards Risk Governance (ESPHR) / Engineering Center of Desertification and Blown-Sand Control of Ministry of Education,Faculty of Geographical Science,Beijing Normal University,Beijing 100875,China
  • Received:2025-01-16 Revised:2025-02-20 Online:2025-09-20 Published:2025-09-27
  • Contact: Liqiang Kang

摘要:

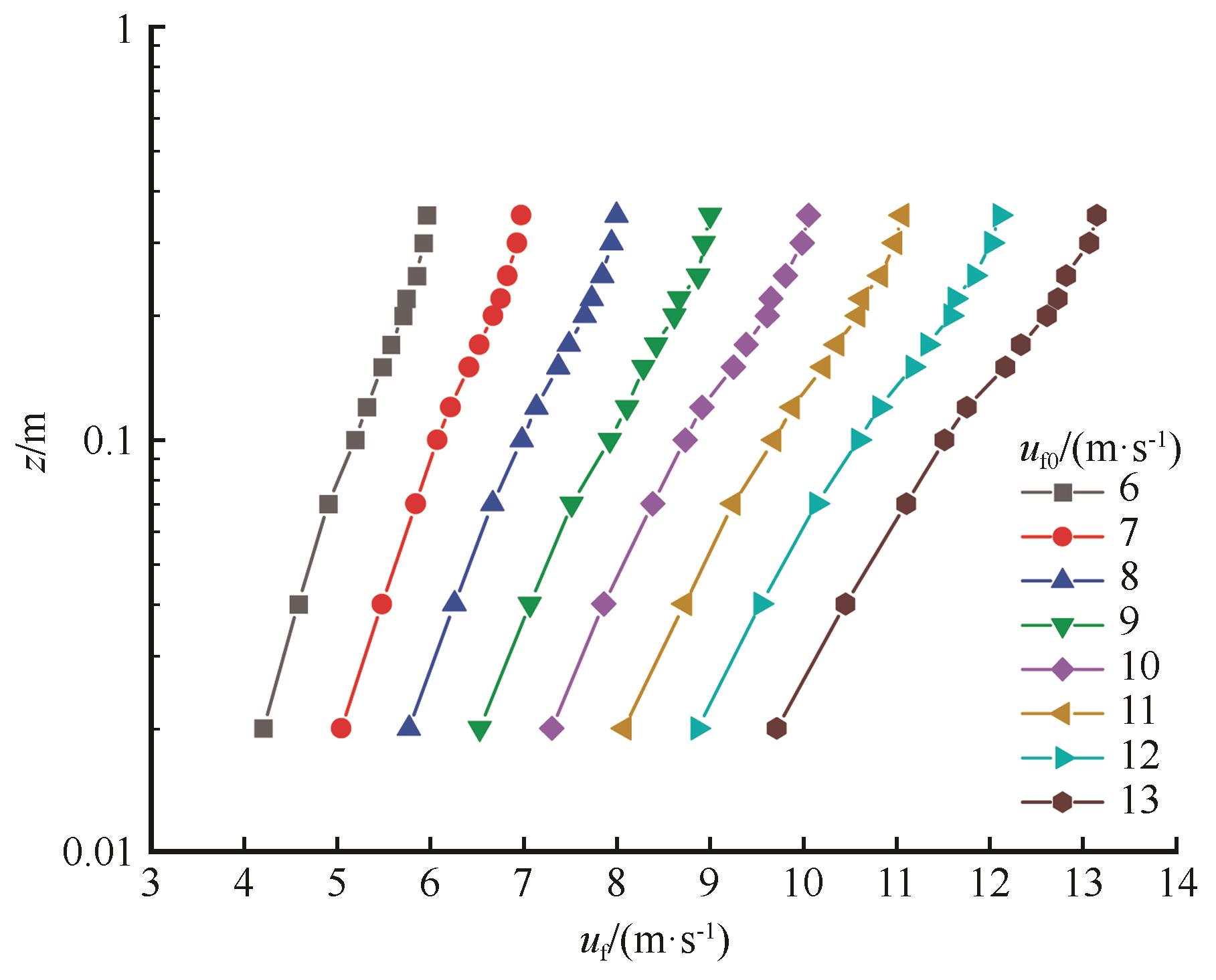
为揭示柔性植株变形导致的瞬态阻力变化特征,在风洞内对细长柔性植株在不同风力作用下的瞬态阻力进行了测量,阻力采集时间间隔为0.01 s,分析了瞬态阻力、瞬态阻力系数的统计参数随来流风速的变化特征。结果表明:细长柔性植株瞬态阻力和阻力系数随时间呈明显的波动。植株的平均阻力和均方根脉动阻力均随来流风速的增加而增加,而由于柔性变形的影响,植株的平均阻力系数、均方根脉动阻力系数随来流风速的增加而减小。植株的阻力脉动强度和阻力系数脉动强度基本不随来流风速而变化。植株均方根脉动阻力与均方根脉动风速正相关,而均方根脉动阻力系数与均方根脉动风速负相关。

关键词: 柔性植株, 阻力, 阻力系数, 风洞实验

Abstract:

To reveal the characteristics of instantaneous drag force caused by deformation of flexible plant, the instantaneous drag force of the slender flexible plant at different wind speeds is measured in a wind tunnel with sampling time interval of 0.01 s. The variation of statistical parameters of instantaneous drag force and drag coefficient with incoming wind speed are analyzed. The results show that both the instantaneous drag force and drag coefficient of the slender flexible plant fluctuate obviously with time. Mean drag force and RMS fluctuation drag force of plant increase with the incoming wind speed, while due to the flexibility, mean drag coefficient and RMS fluctuation drag coefficient of plant decrease with the incoming wind speed. The fluctuation intensities of drag force and drag coefficient of plant generally do not change with the incoming wind speed. A positive correlation is identified between RMS fluctuation drag force and RMS fluctuation wind speed, whereas a negative correlation is observed between RMS fluctuation drag coefficient and RMS fluctuation wind speed.

Key words: flexible plant, drag force, drag coefficient, wind tunnel experiment

中图分类号: