img

官方微信

高级检索

中国沙漠 ›› 2024, Vol. 44 ›› Issue (5): 261-270.DOI: 10.7522/j.issn.1000-694X.2024.00124

• • 上一篇    

干涸湖床盐碱粉尘湍流释放的大涡模拟

姚顺予(), 郭晏宏, 白慧敏, 刘东伟()   

  1. 内蒙古大学 生态与环境学院,内蒙古 呼和浩特 010021
  • 收稿日期:2024-05-05 修回日期:2024-07-22 出版日期:2024-09-20 发布日期:2024-10-15
  • 通讯作者: 刘东伟
  • 作者简介:刘东伟(E-mail: liudw@imu.edu.cn
    姚顺予(1998—),男,安徽合肥人,硕士研究生,主要从事沙尘模拟和预报研究。E-mail: 22315020@mail.imu.edu.cn
  • 基金资助:
    国家自然科学基金项目(42067013)

Large eddy simulation of saline dust entrainment from the dried lake bed of Qehan Lake, China

Shunyu Yao(), Yanhong Guo, Huimin Bai, Dongwei Liu()   

  1. School of Ecology and Environment,Inner Mongolia University,Hohhot 010021,China
  • Received:2024-05-05 Revised:2024-07-22 Online:2024-09-20 Published:2024-10-15
  • Contact: Dongwei Liu

摘要:

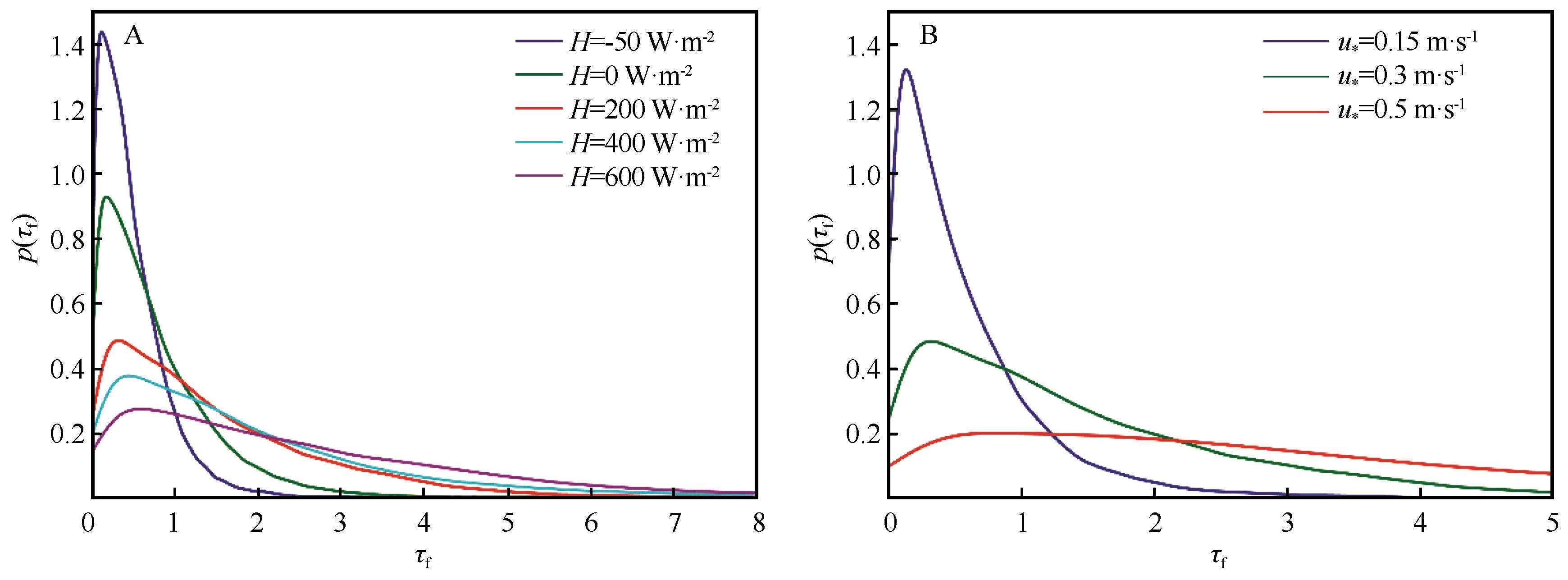
湍流动力抬升是土壤风蚀过程中地表起尘的重要机制,因其高频度发生,是长时间尺度区域和全球大气中沙尘的重要贡献因素。以内蒙古查干淖尔湖干涸湖床沉积物为模拟对象,在理想大气边界层条件下开展不同大气稳定度和背景风的大涡模拟,探究干涸湖床沉积物湍流起尘的动力学机制和影响因素。结果表明:(1)地表受热产生间歇性湍流引起地表沙尘排放。(2)感热通量和摩擦速度均对地表沙尘排放量和近地层沙尘浓度有正向影响。风速和感热通量的增加会使得地表沙尘排放量和近地层沙尘浓度变高。(3)背景风弱而地面感热通量较强时,强垂直涡的形成更频繁,垂直速度显著提高,在热对流和大气不稳定性的驱动下地表更易起尘。

关键词: 对流湍流, 大涡模拟, 沙尘, 感热通量, 摩擦速度, 查干淖尔湖

Abstract:

Aerodynamic entrainments one of the significant mechanisms of surface dust emission in soil wind erosion processes. Due to its high frequency and regular occurrence, it contributes significantly to regional and global atmospheric dust over long time scales. This study uses the dried lakebed sediments of Qehan Lake in Inner Mongolia of China as simulation subjects, conducting large-eddy simulations under ideal atmospheric boundary layer conditions with different atmospheric stability and background winds to explore the dynamics of turbulent dust emission from dried lakebed sediments and the influencing factors. The results indicate: (1) Intermittent turbulence generated by surface heating causes dust emission at the surface. (2) Sensible heat flux and friction velocity both positively affect surface dust emission and near-surface dust concentration. Increased wind speed and sensible heat flux result in higher surface dust emission and near-surface dust concentration. (3) Under weak background wind and strong surface sensible heat flux compared to the case of strong background wind and weak sensible heat flux, the formation of strong vertical eddies is more frequent, leading to significantly increased vertical velocity. Under the driving force of thermal convection and atmospheric instability, surface dust emission is more prone.

Key words: convective turbulence, large-eddy simulation, dust, sensible heat flux, rriction velocity, Qehan Lake

中图分类号: