img

官方微信

高级检索

中国沙漠 ›› 2020, Vol. 40 ›› Issue (4): 234-240.DOI: 10.7522/j.issn.1000-694X.2020.00025

• • 上一篇    

西藏阿里高寒荒漠区土壤有机碳含量特征

刘淑娟(), 魏兴琥(), 郑倩倩, 林啟霞, 罗小兰, 陈毅哲, 梁钊雄, 关共凑   

  1. 佛山科学技术学院,广东 佛山 528000
  • 收稿日期:2020-02-04 修回日期:2020-04-09 出版日期:2020-08-20 发布日期:2020-09-01
  • 通讯作者: 魏兴琥
  • 作者简介:魏兴琥(E-mail: weixinghu1964@163.com)
    刘淑娟(1984—),女,内蒙古突泉人,博士,讲师,主要研究领域为土壤生态学。E-mail: liujuan_407@163.com
  • 基金资助:
    国家重点研发计划专项课题(2017FY100202);广东大学生科技创新培育专项(Pdjha0521)

Soil organic carbon contents characteristics in the alpine desert area of Ali, Tibet China

Shujuan Liu(), Xinghu Wei(), Qianqian Zheng, Qixia Lin, Xiaolan Luo, Yizhe Chen, Zhaoxiong Liang, Gongcou Guan   

  1. Foshan University,Foshan 528000,Guangdong, China
  • Received:2020-02-04 Revised:2020-04-09 Online:2020-08-20 Published:2020-09-01
  • Contact: Xinghu Wei

摘要:

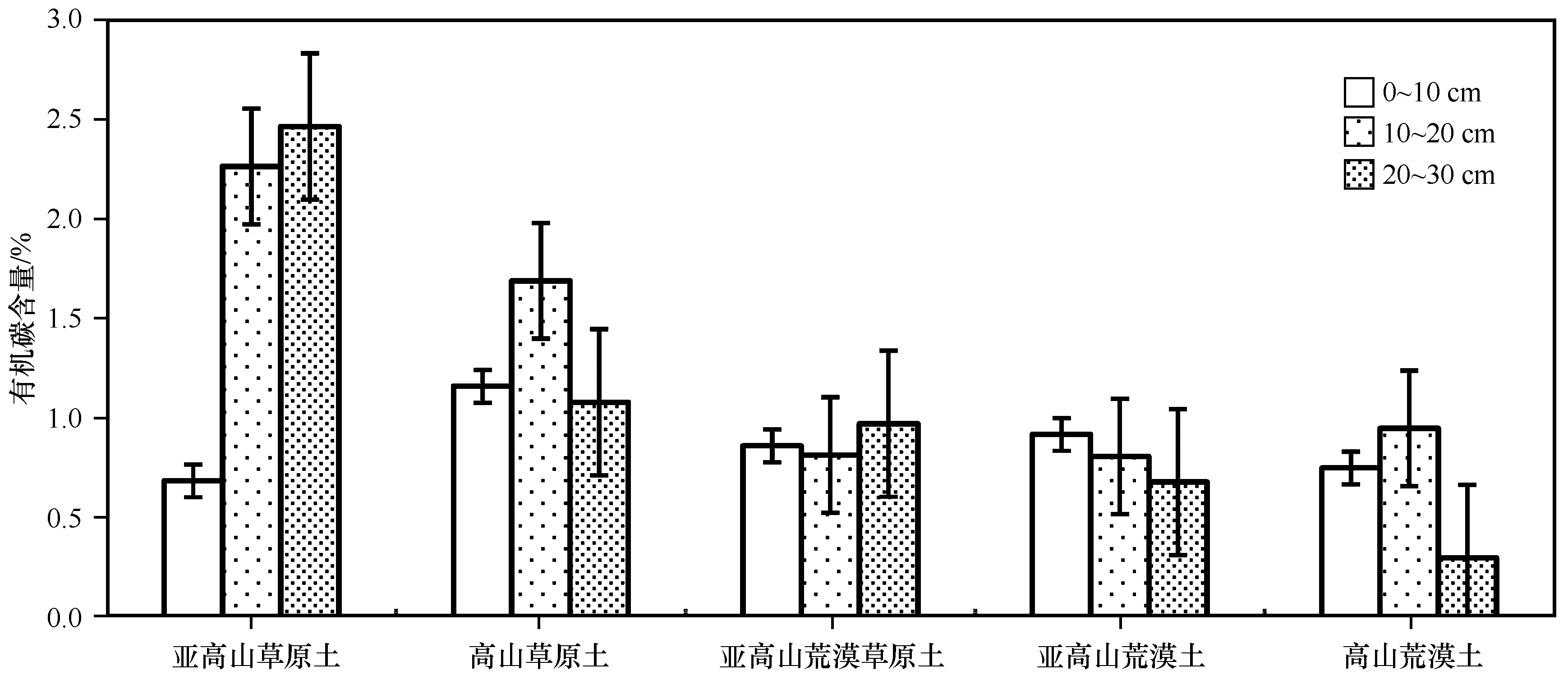
调查了西藏阿里高寒荒漠区30个高寒荒漠样地土壤剖面发生层,分层采集土壤样品,测定有机碳、全氮、全磷、全钾含量和粒度。结果表明:(1)阿里高寒荒漠区主要分布在海拔4 000~5 000 m的湖盆、宽谷、沟谷坡麓、冲洪积扇,土层薄、地表粗砾化、沙化严重,有机碳含量低,从亚高山草原土、高山草原土、亚高山荒漠草原土、亚高山荒漠土至高山荒漠土,土壤有机碳含量呈逐渐下降的趋势,高山草原土有机碳含量显著高于亚高山荒漠草原土、亚高山荒漠土和高山荒漠土,从草原到荒漠土壤退化明显。(2)8种植物群丛的土壤有机碳含量表现出按草原-荒漠草原-荒漠-砾漠逐渐降低的指数关系,针茅(Stipa spp.)-固沙草(Orinus thoroldii)草原和紫花针茅(Stipa purpurea)草原的土壤有机碳含量均极显著高于沙生针茅(Stipa caucasica subsp. glareosa)草原、沙蒿(Artemisia wellbyi)灌丛草原、灌木亚菊(Ajania fruticulosa)荒漠、驼绒藜(Ceratoides latens)砾漠和垫状驼绒藜(Ceratoides compacta)砾漠;沙生针茅草原、灌木亚菊荒漠、驼绒藜砾漠土壤有机碳又显著高于垫状驼绒藜砾漠。(3)土壤有机碳含量与海拔、土层厚度、表层砾石含量之间具微相关性,但随海拔升高,土壤有机碳含量降低、地表粗砾化有加重的趋势,家畜超载、野生动物数量增加造成植被退化可能是导致高寒荒漠土壤有机碳降低的主要原因。

关键词: 西藏, 高寒荒漠区, 土壤, 有机碳

Abstract:

Ali alpine desert zone in Qinghai-Tibet Plateau were selected as the investigation regions,vegetation and soil profiles in 30 sample plots were surveyed, soil organic carbon, size composition, and other index were measured. The results show:(1)The Ali alpine desert zone main distribute in spread over lake basin ,broad valley ,the foot of the slope, alluvial-proluvial fan with altitude of 4 000-5 000 m,soil there are thin soil thickness, high gravel proportion in soil surface, severe desertification and low soil organic carbon. The contents of soil organic carbon demonstrate the reduction tendency from subalpine prairie soil, alpine prairie soil, subalpine desert steppe soil, subalpine desert steppe soil to alpine desert soil. The contents of soil organic carbon had the significance reduction from alpine prairie soil to subalpine desert steppe soil, subalpine desert steppe soil, and alpine desert soil.(2)The contents of soil organic carbon in 8 kinds of plant association showed a reduction tendency from steppe to desert steppe and desert. The contents of soil organic carbon of stipa spp-Orinus thoroldii steppe and Stipa purpurea steppe higher highly significance than Stipa caucasica steppe, Artemisia wellbyi bushwood, Ajania fruticulosa desert, Ceratoides latens desert, and Ceraloides compacta desert. The contents of soil organic carbon of Stipa caucasica steppe, Ajania fruticulosa desert, Ceratoides latens desert higher significance than Krascheninnikovia compacta desert.(3)Correlation analysis of soil organic carbon with altitude,gravel concentration in surface and soil thickness showed the reducation of soil organic carbon and increase of gravel proportion in soil surface with the rise altitude.Overgraze of livestock and wild animal maybe is the principal factor that bring about vegetation degradation and lead to the reducation of soil organic carbon in alpine desert zone.

Key words: Tibet, alpine desert zone, soil, organic carbon

中图分类号: